Viimeksi julkaistu 3.11.2021 13.58

Hallituksen esitys HE 218/2018 vp Hallituksen esitys eduskunnalle laiksi ulkomaisten väliyhteisöjen osakkaiden verotuksesta annetun lain muuttamisesta

ESITYKSEN PÄÄASIALLINEN SISÄLTÖ

Esityksessä ehdotetaan, että ulkomaisten väliyhteisöjen osakkaiden verotuksesta annettua lakia muutetaan. Muutokset perustuvat osittain veron kiertämisen estämistä koskevaan direktiiviin. 

Esityksessä ehdotetaan, että lakia sovellettaisiin myös rajoitetusti verovelvollisiin, jos osuus ulkomaisessa väliyhteisössä liittyy rajoitetusti verovelvollisen Suomessa olevaan kiinteään toimipaikkaan. Lisäksi ehdotetaan, että laissa tarkoitetun määräysvallan täyttymistä arvioitaessa huomioon otettaisiin verovelvollisen ja siihen etuyhteydessä olevien kotimaisten tai ulkomaisten tahojen osuudet ulkomaisessa väliyhteisössä. Määräysvallan katsottaisiin täyttyvän, jos osuus tai osuudet väliyhteisössä ovat vähintään 25 prosenttia. 

Laista ehdotetaan poistettavaksi ulkomaisen väliyhteisön toimialaan liittyvä yleinen poikkeus, EU-valtioissa ja verosopimusvaltioissa asuvia ulkomaisia väliyhteisöjä koskevat poikkeukset sekä valtiovarainministeriön asetuksella säädettyä listaa koskeva säännös. Lakiin sisältyvää taloudellisen toiminnan poikkeusta ehdotetaan muutettavaksi siten, että se koskisi tietyin edellytyksin myös muissa kuin Euroopan talousalueen valtioissa ja verosopimusvaltioissa asuvia ulkomaisia väliyhteisöjä. Lisäksi ehdotetaan useita teknisiä muutoksia, jotka liittyvät siihen, että kansallinen sääntely saatetaan vastaamaan direktiivin minimisääntelyä. 

Laki on tarkoitettu tulemaan voimaan vuoden 2019 alusta. Lakia sovellettaisiin ensimmäisen kerran vuodelta 2019 toimitettavassa verotuksessa. 

YLEISPERUSTELUT

Johdanto

OECD:ssä ja EU:ssa on viime vuosina pyritty usein erilaisin toimin rajoittamaan yritysten aggressiivista verosuunnittelua. OECD:ssä käynnistettiin vuonna 2013 BEPS-hanke (Base Erosion and Profit Shifting), jonka tarkoituksena on rajoittaa aggressiivisesta verosuunnittelusta sekä valtioiden välisestä verokilpailusta johtuvaa yhteisöveropohjan rapautumista. Hankkeen loppuraportit julkaistiin syyskuussa 2015. Myös EU:ssa on toteutettu useita toimia aggressiivisen verosuunnittelun ja veronkierron ehkäisemiseksi. Yksi näistä toimista on 12 päivänä heinäkuuta 2016 annettu direktiivi (EU) 2016/1164 sisämarkkinoiden toimintaan suoraan vaikuttavien veron kiertämisen käytäntöjen torjuntaa koskevien sääntöjen vahvistamisesta (veron kiertämisen estämistä koskeva direktiivi). 

Veron kiertämisen estämistä koskevan direktiivin tavoitteena on BEPS-hankkeeseen sisältyvien OECD:n suositusten 2, 3 ja 4 sekä eräiden muiden toimien koordinoitu täytäntöönpano EU:ssa. Direktiivin taustalla on komission 17 päivänä kesäkuuta 2015 esittämä oikeudenmukaista ja tehokasta yhtiöverojärjestelmää koskeva toimintasuunnitelma (COM(2015) 302 final). Direktiivin kohteena ovat tilanteet, joissa verovelvolliset pyrkivät alentamaan verojaan ja toimivat lain tarkoituksen vastaisesti käyttämällä hyväkseen kansallisten verojärjestelmien eroja. Direktiivissä säädetään täytäntöönpanotavaksi säännökset korkojen vähennysoikeuden rajoittamisesta, maastapoistumisverotuksesta, hybridijärjestelyistä sekä yleinen väärinkäytöksiä koskeva sääntö ja ulkomaista väliyhtiötä koskeva sääntely. Direktiivi sisältää sääntelyn vähimmäistason, joka jäsenvaltioiden on kyseisissä asioissa pantava täytäntöön. Jäsenvaltioilla on mahdollisuus säätää asioista tätä minimisääntelyä tiukemmin. 

Direktiivin väliyhtiötä koskeva sääntely on direktiivin 11 artiklan mukaan saatettava jäsenvaltioissa kansallisesti voimaan viimeistään 31 päivänä joulukuuta 2018. Sääntelyä on sovellettava 1 päivästä tammikuuta 2019. 

Nykytila

2.1  Lainsäädäntö, oikeuskäytäntö ja verotuskäytäntö

2.1.1  2.1.1. Nykyinen kansallinen sääntely

Väliyhteisöjä koskevat säännökset sisältyvät ulkomaisten väliyhteisöjen osakkaiden verotuksesta annettuun lakiin (1217/1994, väliyhteisölaki). Väliyhteisölailla pyritään ehkäisemään verotettavan tulon siirtämistä matalan verotuksen valtioon perustettuun yhteisöön. Sääntely liittyy tilanteeseen, jossa ulkomainen yhteisö on Suomessa verotuksellisesti asuvan henkilön tai asuvien henkilöiden määräysvallassa. Sääntelyn soveltaminen edellyttää lisäksi ulkomaisen yhteisön verotuksen tasoon liittyvien edellytysten täyttymistä. Väliyhteisösäännöksen soveltuessa koko ulkomaisen yhteisön tulo verotetaan omistajien tulona riippumatta siitä, jakaako ulkomainen yhteisö osinkoa omistajilleen vai ei. 

Väliyhteisölain soveltamisala 

Väliyhteisölain nojalla väliyhteisötulo on veronalaista tuloa Suomessa yleisesti verovelvollisille luonnollisille henkilöille ja oikeushenkilöille. Väliyhteisönä voidaan pitää ulkomaista yhteisöä tai esimerkiksi ulkomaista yhtiötä, rahastoa, säätiötä tai trustia. Lain mukaan väliyhteisönä voidaan pitää myös ulkomaisen yhteisön kolmannessa valtiossa sijaitsevaa kiinteää toimipaikkaa, jos kiinteä toimipaikka itsenäisenä yrityksenä täyttäisi väliyhteisön määritelmän. Kiinteää toimipaikkaa ei kuitenkaan pidetä väliyhteisönä, jos sen tuloa on verotettu ulkomaisen yhteisön asuinvaltiossa. 

Väliyhteisölain soveltaminen edellyttää lain 2 §:n mukaan seuraavien edellytysten täyttymistä: 

— Suomessa yleisesti verovelvolliset käyttävät yhteisössä määräämisvaltaa. 

— Yhteisön tuloverotuksen taso sen asuinvaltiossa on alle 3/5 Suomessa asuvan yhteisön verotuksen tasosta täällä. 

Väliyhteisölaissa on säädetty useita poikkeuksia edellä kerrottuun lain soveltamisen pääsääntöön. Poikkeukset koskevat ulkomaisen yhteisön harjoittamaa tietynlaista toimintaa sekä verosopimusvaltioissa ja Euroopan talousalueella asuvia yhteisöjä. Väliyhteisölain soveltamisedellytysten täyttymistä tarkastellaan verovuosikohtaisesti. Väliyhteisölaki ei automaattisesti sovellu ulkomaiseen yhteisöön joka vuosi, vaikka edellytykset olisivat yhtenä verovuotena täyttyneet. 

Määräämisvalta 

Väliyhteisölain soveltamisen edellytyksenä on, että Suomessa yleisesti verovelvolliset käyttävät ulkomaisessa yhteisössä määräämisvaltaa. Määräämisvaltaa koskeva edellytys täyttyy lain 3 §:n mukaan, jos yksi tai useampi Suomessa yleisesti verovelvollinen yhdessä: 

— Omistaa välittömästi tai välillisesti vähintään 50 prosenttia yhteisön pääomasta. 

— Omistaa välittömästi tai välillisesti vähintään 50 prosenttia yhteisön osakkeiden tai osuuksien yhteisössä tuottamasta yhteenlasketusta äänimäärästä. 

— On oikeutettu saamaan vähintään 50 prosenttia yhteisön varallisuuden tuotosta. 

Verotuksen taso 

Väliyhteisölain soveltamisen edellytyksenä on, että ulkomaisen yhteisön tuloverotuksen tosiasiallinen taso sen asuinvaltiossa on alempi kuin 3/5 verrattuna laskennalliseen yhteisöveroon, joka olisi Suomessa vastaavasta tulosta samalta ajalta maksettava. Jos verotusoikeus yhteisön asuinvaltiossa on sekä valtiolla että muilla sen valtiollisilla osilla ja paikallisyhteisöillä (esimerkiksi osavaltio, provinssi, kantoni tai kunta), eri veronsaajille asuinvaltiossa maksetut verot lasketaan yhteen verotuksen tasoa arvioitaessa. 

Vapautettu toiminta 

Vaikka edellä mainitut lain soveltamisedellytykset täyttyisivät ulkomaisen yhteisön osalta, sitä ei kuitenkaan pidetä väliyhteisönä, jos se harjoittaa asuinvaltiossaan lain 2 §:n 3 momentin 1 kohdassa mainittua toimintaa ja sen tulot kertyvät pääasiallisesti tästä toiminnasta. Säännös koskee 

— teollista tuotantotoimintaa 

— teolliseen tuotantotoimintaan verrattavaa muuta tuotantotoimintaa 

— laivanvarustustoimintaa 

— edellä mainittuja toimintoja välittömästi palvelevaa myynti- tai markkinointitoimintaa. 

Väliyhteisölakia ei myöskään sovelleta ulkomaisiin yhteisöihin, joiden tulo kertyy pääasiallisesti suorituksista, joita on maksanut samaan osakeyhtiölain mukaiseen konserniin kuuluva ja samassa valtiossa asuva yhteisö, joka harjoittaa edellä mainittuja toimintoja. 

Yhteisön asuinvaltiolla tarkoitetaan valtiota tai itsenäisen verotusoikeuden omaavaa aluetta, jossa yhteisö katsotaan rekisteröinnin, johtopaikan tai muun sellaisen syyn vuoksi verotuksellisesti asuvaksi. Väliyhteisölakia sovellettaessa esimerkiksi Hongkong, Kanaalisaaret, Mansaari, Gibraltar, Bahamasaaret ja Caymansaaret voivat oikeuskäytännön mukaan olla asuinvaltioita. 

Teollisella tuotantotoiminnalla tarkoitetaan tuotteiden valmistusta ja kokoonpanoa. Teolliseen tuotantotoimintaan on Verohallinnon ohjeen Väliyhteisötulon verotus Suomessa A49/200/2014 mukaan rinnastettu muun muassa kaivostoiminta, malminetsintä, rakennustuotanto ja energiantuotanto. Myös huolto- ja korjaustoimintaa on verotuskäytännössä voitu pitää muuna tuotantona esimerkiksi silloin, kun se on olennaisesti liittynyt verovelvollisen tai samaan konserniin kuuluvan yhteisön valmistukseen ja myyntiin. Suunnittelu-, tutkimus- ja kehittämistoiminta on voinut jäädä lain soveltamisalan ulkopuolelle, jos se on välittömästi palvellut laissa tarkoitettua teollista tuotantotoimintaa tai siihen verrattavaa muuta tuotantotoimintaa. Oikeuskäytännön mukaan hallinnointi-, johto- ja valvontatehtävien hoitaminen ei kuitenkaan sellaisenaan ole laissa tarkoitettua tuotantotoimintaa. Oikeuskäytäntöä on käsitelty tarkemmin kohdassa 2.1.2. 

Laivanvarustustoiminta käsittää tilanteet, joissa yhteisö omistaa aluksen tai alusosuuden, jota se käyttää rahtaamiseen, operoi, huoltaa ja miehittää. Säännös soveltuu myös silloin, kun omistus on välillistä, esimerkiksi laivanvarustustoiminnan harjoittaminen tytäryhtiön omistamalla aluksella. Oikeuskäytännön mukaan myös alusten vuokraaminen voidaan katsoa laivanvarustustoiminnaksi, jos aluksia vuokraavan yhtiön emoyhtiö harjoittaa laivanvarustusta kyseisillä aluksilla. 

Väliyhteisölain soveltamisalan ulkopuolelle on jätetty myös tuotantotoimintaa tai laivanvarustustoimintaa harjoittavien konsernien paikalliset myyntiyhtiöt. Myynti- ja markkinointitoiminnan tulee välittömästi palvella tuotantotoimintaa tai laivanvarustustoimintaa ja suuntautua pääasiallisesti yhteisön asuinvaltion alueelle. 

EU-jäsenvaltiot ja muut verosopimusvaltiot 

Väliyhteisölaissa on säädetty verosopimusvaltioissa asuvien yhteisöjen osalta poikkeus soveltamisalasta. Väliyhteisölakia ei lähtökohtaisesti sovelleta EU-maihin kuuluvien verosopimusvaltioiden alueella asuviin yhteisöihin. Jos yhteisö asuu EU:n ulkopuolella, väliyhteisölakia sovelletaan näihin yhteisöihin vain, jos yhteisön tulostaan suorittaman veron tosiasiallinen yhteismäärä sen asuinvaltiossa on keskimääräisesti pienempi kuin 3/4 yhteisöjen Suomessa vastaavasta tulosta samalta ajalta suorittaman veron määrästä. EU-jäsenvaltioiden yleisille yhteisöverojärjestelmille laissa ei ole asetettu vastaavaa kriteeriä, koska niitä ei ole katsottu säännöksen tarkoituksessa haitallisiksi. 

Verosopimusvaltiot, joissa tuloverotuksen tosiasiallisen tason on arvioitu olevan 3/4-tasoa alempi, on erikseen lueteltu valtiovarainministeriön asetuksessa ulkomaisten väliyhteisöjen osakkaiden verotuksesta annetun lain 2 §:n 5 momentissa tarkoitetuista valtioista (1284/2013). Verovuodesta 2014 listalla ovat olleet Arabiemiirikunnat, Barbados, Bosnia ja Hertsegovina, Georgia, Kazakstan, Makedonia, Malesia, Moldova, Montenegro, Serbia, Singapore, Sveitsi, Uruguay, Uzbekistan ja Tadžikistan. 

Vaikka ulkomaisen yhteisön asuinvaltio, joka on verosopimusvaltio, ei olisi edellä mainitulla listalla tai asuinvaltio on EU:n alueella, väliyhteisölaki voi kuitenkin soveltua, jos yhteisö on saanut erityisiä veronhuojennuksia asuinvaltiossaan. Erityinen veronhuojennus on valtion yleisestä verojärjestelmästä poikkeava huojennus, joka ei koske kaikkia asuinvaltiossa asuvia yhteisöjä. Tällaisia huojennuksia voivat olla esimerkiksi alueelliset tai toimialakohtaiset tiettyjä yrityksiä suosivat huojennukset tai harkinnanvaraiseen hallinnolliseen menettelyyn perustuvat huojennukset. Erityisiä veronhuojennuksia on joissakin valtioissa tarjolla esimerkiksi rahoitus- ja rahastoyhtiöille, vakuutusyhtiöille, holdingyhtiöille tai erilaisille koordinaatiokeskuksille. 

Taloudellisen toiminnan poikkeus 

Euroopan talousalueen valtioon tai tiettyyn verosopimusvaltioon sijoittautunut yhteisö on väliyhteisö vain, jos määräämisvaltaa ja verotuksen 3/5-tasoa koskevien soveltamisedellytysten täyttymisen lisäksi tietyt verotietojenvaihtoon ja yhteisön tosiasialliseen toimintaan liittyvät edellytykset jäävät täyttymättä. Edellytykset koskevat yhteisöä, joka on sijoittautunut verosopimusvaltioon, jota ei ole mainittu valtiovarainministeriön asetuksen listalla. Mikäli lisäedellytykset täyttyvät, yhteisöä ei pidetä lain soveltamisalaan kuuluvana yhteisönä. 

Suomen ja ulkomaisen yhteisön asuinvaltion välinen verotietojenvaihto on väliyhteisölain mukaan riittävää, jos hallinnollisesta yhteistyöstä verotuksen alalla ja direktiivin 77/799/ETY kumoamisesta annettu direktiivi 2011/16/EU (virka-apudirektiivi) siihen myöhemmin tehtyine muutoksineen koskee kyseistä valtiota. Tietojenvaihtoa koskevan edellytyksen katsotaan täyttyvän myös silloin, kun kyseisen valtion kanssa on sovittu viranomaisten välisestä tietojenvaihdosta veroasioissa, joka yhdessä sopimusvaltioiden sisäisen lainsäädännön kanssa mahdollistaa väliyhteisölain soveltamisen kannalta riittävän tietojenvaihdon. 

Riittävän tietojenvaihdon lisäksi edellytyksenä on, että yhteisö on todellisuudessa asettautunut asuinvaltioonsa ja tosiasiallisesti harjoittaa siellä taloudellista toimintaa. Jälkimmäisen edellytyksen katsotaan täyttyvän, kun yhteisöllä on asuinvaltiossaan harjoittamaansa toimintaa varten tarpeelliset toimitilat ja kalusto sekä riittävä henkilökunta. Henkilökunnan tulee olla toimivaltainen itsenäisesti harjoittamaan yhteisön toimintaa ja tehdä itsenäisesti yhteisön päivittäistä liiketoimintaa koskevat päätökset. Edellytysten täyttymistä arvioitaessa otetaan huomioon toimialan erityispiirteet ja yhteisön toiminnan luonne. 

Väliyhteisötulon verottaminen 

Suomessa yleisesti verovelvollinen ulkomaisen väliyhteisön osakas on täällä verovelvollinen osuudestaan väliyhteisön tuloon. Osakas on verovelvollinen, jos omistaa vähintään 25 prosenttia yhteisön pääomasta tai on oikeutettu vähintään 25 prosentin osuuteen yhteisön varallisuuden tuotosta. Väliyhteisötulon verotuksessa on otettava huomioon myös mahdolliset verosopimuksen määräykset, jotka voivat rajoittaa väliyhteisötulon verottamista. 

Edellä mainittua minimiosuutta määritettäessä otetaan huomioon sekä suora että ulkomainen välillinen omistus tai edunsaaja-asema. Välillisellä omistuksella on siis merkitystä silloin, kun se tapahtuu yhden tai useamman ulkomaisen yksikön kautta. Omistusosuutta koskevan edellytyksen arvioinnissa otetaan huomioon osakkaan kanssa samaan etupiiriin kuuluvien omistus tai edunsaaja-asema. Verovelvollisen etupiiriin luetaan kuuluvaksi lähisukulaiset sekä yhteisöt ja yhtymät, joissa nämä ovat osakkaina tai edunsaajina, samoin kuin etuyhteydessä olevat yhtymät tai yhteisöt tai näiden osakkaat. 

Väliyhteisön osakkaan verotusta varten veronalainen väliyhteisötulo lasketaan Suomen verolainsäädännön mukaisesti. Väliyhteisön tulo säilyttää osakkaan verotuksessa alkuperäisen tulolajinsa. Väliyhteisöstä saatu osinko tai muu voitonjako on osakkaalle veronalaista tuloa vain siltä osin kuin se ylittää määrän, joka on samana tai viitenä edellisenä verovuonna väliyhteisölain nojalla luettu osakkaan veronalaiseksi tuloksi. Väliyhteisön ollessa tappiollinen osakkaan osuus tappiosta vähennetään samasta väliyhteisöstä saatavasta tulo-osuudesta tappiovuotta seuraavien kymmenen verovuoden aikana. 

Väliyhteisötulosta Suomessa maksettavasta verosta voidaan hyvittää väliyhteisön samasta tulosta ulkomaille maksamaa veroa. Hyvityksen määrä lasketaan soveltuvin osin kansainvälisen kaksinkertaisen verotuksen poistamisesta annetun lain (1552/1995, menetelmälaki) mukaisesti. Hyvityksen määrään vaikuttaa myös se, onko väliyhteisön asuinvaltion ja Suomen välillä verosopimus kaksinkertaisen verotuksen välttämiseksi. 

2.1.2  2.1.2. Oikeuskäytäntö

Korkeimman hallinto-oikeuden (KHO) vuosikirjapäätöksessä 2012:118 oli kyse suomalaisen osakeyhtiön aikeesta perustaa ja rekisteröidä Manner-Kiinassa valmistustoimintaa harjoittava tytäryhtiö Kiinan kansantasavallan Hongkongin erityishallintoalueelle. KHO katsoi ratkaisussaan, että Hongkongiin perustettavan ja rekisteröitävän yhtiön asuinvaltiona oli pidettävä väliyhteisölain 2 §:n tarkoittamalla tavalla Hongkongia, jossa yhtiön ei katsottu harjoittavan teollista tuotantotoimintaa. KHO pysytti näin keskusverolautakunnan (KVL) ennakkoratkaisun, jonka perusteluissa korostettiin muun muassa, että väliyhteisölain ensisijainen soveltamiskriteeri on väliyhteisön sijainti matalan verorasituksen alueella eikä soveltaminen siten rajoitu vain sellaisiin alueisiin, jotka on tunnustettu valtioksi. 

KVL:n ratkaisussa 2009/50 oli arvioitavana tilanne, jossa Suomessa yleisesti verovelvollisen osakeyhtiön omistama Mansaarella asuva B Ltd, jota verotettiin ulkomaisena väliyhteisönä, aiottiin siirtää pois Mansaarelta kesken tilikauden. Ratkaisun mukaan B Ltd ei ollut enää ulkomainen väliyhteisö sillä hetkellä, kun yhtiö lakkasi olemasta Mansaarella asuva. 

KVL:n ennakkoratkaisussa 37/1996 oli kyse tilanteesta, jossa suomalainen osakeyhtiö omisti välittömästi tai välillisesti Chilessä metallurgiayhtiön, malminetsintäyhtiön sekä kaivosyhtiön. Yhtiöt toimivat Chilessä tarkoituksenaan maan kuparivarojen hyödyntäminen ja toiminta käsitti kuparin paikantamiseen, louhimiseen ja rikastamiseen perustuvan laajan ja pitkäkestoisen tuotantoprosessin. Kun otettiin huomioon edellä mainitut olosuhteet ja väliyhteisölain yleinen tarkoitus, yhtiöiden tuloon ei sovellettu väliyhteisölakia. 

KHO:n päätöksessä 2012:114 oli arvioitavana tapaus, jossa A osakeyhtiö oli osa konsernia, joka myi eri yhtiöissä valmistamiaan merkkituotteita erillisten myyntiyhtiöiden kautta yritysasiakkaille ja kuluttajille. Konserni aikoi organisoida tietyt toimintonsa uudelleen, ja siksi A osakeyhtiö aikoi perustaa Sveitsiin uuden yhtiön, johon keskitettäisiin muun muassa eräiden konsernin kehittämien brändien omistus, aineettoman omaisuuden hallinnointi ja omistus, tuotekehitys sekä myynnin ja markkinoinnin johtaminen. Perustettava yhtiö hankkisi valmistuspalvelut sopimusvalmistajina toimivilta erillisiltä tuotantoyhtiöiltä cost plus -periaatteella ja omistaisi valmiit tuotteet. Tuotteiden myynti toteutettaisiin erillisten myyntiyhtiöiden kautta myyntiyhtiöiden toimiessa rajoitetun riskin myyntiyhtiöinä sikäli, että varsinaiset liiketoiminnan riskit olisivat uudella perustettavalla yhtiöllä. KHO:n mukaan perustettavan yhtiön ei voitu katsoa harjoittavan väliyhteisölain 2 §:n 3 momentin 1 kohdassa tarkoitettua toimintaa. Näin ollen yhtiötä oli pidettävä väliyhteisölain 2 §:n mukaisena A osakeyhtiön määräämisvallassa olevana väliyhteisönä. 

Päätöksen KHO 30.3.2003 taltio 2667 mukaan yhtiön toiminta oli tarkoitus järjestää uudelleen siten, että yhtiön harjoittamaa merirahtaustoimintaa jatkaisi Alankomaihin perustettava ja siellä rekisteröitävä hakijayhtiön määräysvallassa oleva alakonserni, johon kuuluisivat emoyhtiö ja seitsemän laivayhtiötä, joista kukin omistaisi yhden aluksen. Toimintaa oli tarkoitus harjoittaa aluksilla, jotka vuokrataan alakonsernin emoyhtiön täysin omistamilta tytäryhtiöiltä siten, että alakonsernin emoyhtiö solmisi rahtaussopimukset, saisi tulot näistä toimeksiannoista ja maksaisi tytäryhtiöille alusvuokran. KHO päätyi ratkaisussaan siihen, että näissä olosuhteissa alankomaalainen emoyhtiö ja sen täysin omistamat tytäryhtiöt harjoittavat laivanvarustustoimintaa, ja koska emoyhtiön tulot kertyivät pääasiassa tästä toiminnasta, ei yhtiötä voitu pitää väliyhteisölaissa tarkoitettuna väliyhteisönä. 

KHO:n vuosikirjapäätöksessä 2014:198 oli kyse teolliseen tuotantotoimintaan verrattavan toiminnan soveltamisalan selventämisestä. Tapauksessa A Oy:n ja sen tytäryhtiön toiminta käsitti globaalia teknistä tukea informaatioteknologian alalla, virustentorjuntatietokantojen päivityspalvelua sekä virustentorjuntaohjelmistojen tuotekehitystä ja suunnittelua. Hallinto-oikeus oli katsonut, että yhtiön harjoittamaa palvelutoimintaa ei voitu pitää väliyhteisölaissa tarkoitettuna teolliseen tuotantotoimintaan verrattavana muuna tuotantotoimintana. KHO kumosi hallinto-oikeuden ratkaisun, ja katsoi, että tytäryhtiön harjoittama toiminta oli väliyhteisölain 2 §:n 2 momentin 1 kohdassa tarkoitettua teolliseen tuotantotoimintaan verrattavaa muuta toimintaa, mistä syystä tytäryhtiötä ei ollut pidettävä laissa tarkoitettuna väliyhteisönä eikä sen tuloa voitu lukea emoyhtiön veronalaiseksi tuloksi. Perusteluissaan KHO totesi muun ohessa, että Malesian tytäryhtiön harjoittama toiminta oli saadun selvityksen mukaan aktiivista ja siinä määrin vastaavaa kuin suomalaisen emoyhtiön toiminta, että sitä voitiin pitää osana valittajayhtiön kokonaisuutta. Kun vielä otetaan huomioon teollisen toiminnan ja palveluiden välisen rajanvedon tulkinnanvaraisuus informaatioteknologian alueella, KHO päätyi kokonaisarvioinnissaan pitämään tytäryhtiön toimintaa teolliseen tuotantotoimintaan verrattavana muuna palvelutoimintana. 

KVL:n ratkaisussa 24/2010 oli arvioitavana tilanne, jossa A Oy omisti Brittiläisillä Neitsytsaarilla asuvan X corp.:n, jota oli verotettu A Oy:n väliyhteisönä. X corp. aikoi myydä omistamansa kyproslaisten yhtiöiden B Ltd:n, C Ltd:n ja D Ltd:n osakekannat. KVL:n ratkaisun mukaan X corp.:iin sovellettiin elinkeinotulon verottamisesta annetun lain (360/1968, elinkeinoverolaki) säännöksiä määritettäessä tuloa, joka A Oy:n verotuksessa katsottaisiin väliyhteisölaissa tarkoitetuksi osuudeksi ulkomaisen yhteisön tuloon. Tällöin kyproslaisten yhtiöidenkin osakekantojen luovutuksiin tuli soveltaa elinkeinoverolain 6 b §:n säännöksiä ja osakkeiden luovutusta voitiin A Oy:n väliyhteisötuloa laskettaessa pitää elinkeinoverolain mukaisesti verovapaana luovutuksena, mikäli elinkeinoverolain 6 §:n 1 momentin sekä 6 b §:n edellytykset täyttyvät. Holdingyhtiö D Ltd:n osakkeita ei voitu katsoa verovapaasti luovutettaviksi osakkeiksi, koska D Ltd:ä pidettiin elinkeinoverolain 6 b §:n 2 momentin 2 kohdassa tarkoitettuna osakeyhtiönä, jonka toiminta tosiasiallisesti käsitti pääasiallisesti kiinteistöjen omistamista tai hallintaa. KHO ei muuttanut ratkaisua (KHO 23.2.2011 T 45). 

KHO:n päätöksessä 2011:42 Suomessa yleisesti verovelvollisen yhteisön välillisesti omista-maa Singaporeen rekisteröityä yhteisöä ei voitu pitää väliyhteisölain 2 §:n 3 momentin 2 kohdan säännös huomioon ottaen ulkomaisena väliyhteisönä, koska valtiovarainministeriö ei ollut antanut vuodelta 2009 toimitettavassa verotuksessa sovellettavaa väliyhteisölain 2 §:n 5 momentissa tarkoitettua asetusta niistä verosopimusvaltioista, joissa veron katsotaan olennaisesti eroavan verosta, jota yhteisöjen on Suomessa suoritettava. KHO:n perusteluissa todettiin, ettei Singaporea voida valtiovarainministeriön asetuksen puuttuessa verovuonna 2009 pitää verosopimusvaltiona väliyhteisölain 2 §:n 5 momentin tarkoittamassa mielessä, kun otetaan huomioon lain sanamuoto, valmisteluaineistosta ilmenevä lain tarkoitus ja listan oikeudellinen luonne poikkeusluettelona. 

KHOn päätöksessä 2010:7 oli kyse Liechtensteinissa sijaitsevan väliyhteisön jakamasta osingosta perityn lähdeveron hyvittämisestä suomalaisen osakkaan väliyhteisötuloa verotettaessa. Väliyhteisö oli maksanut suomalaiselle osakkeelleen osinkoa, josta oli peritty Liechtensteinissa lähdeveroa. Osakas vaati, että Suomessa verotetusta väliyhteisötulosta maksetusta verosta tuli vähentää Liechtensteinissa maksettu lähdevero. KHO katsoi, että väliyhteisölaissa on säädetty vain taloudellisen kahdenkertaisen verotuksen poistamisesta, kun laissa on säädetty väliyhteisön voitostaan maksaman tuloveron hyvittämisestä osakkaan väliyhteisötuloa verotettaessa. Lähdeveroa ei voitu hyvittää osakkaalle väliyhteisölain nojalla. Hyvittäminen ei ollut mahdollista myöskään menetelmälain nojalla, koska kyse ei ollut laissa tarkoitetusta samasta tulosta suoritetusta verosta. 

2.2  EU:n lainsäädäntö

2.2.1  2.2.1. Veron kiertämisen estämistä koskeva direktiivi

Ulkomaisesta väliyhtiöstä ja ulkomaisen väliyhtiön tulon laskemisesta säädetään direktiivin 7 ja 8 artikloissa. Väliyhtiösäännökset sisältävät lukuisia valinnaisia säännöksiä. Direktiivi sisältää lisäksi yleiset säännökset direktiivin soveltamisalasta artiklassa 1 sekä artiklassa 3 mahdollisuuden säätää kansallisessa lainsäädännössä direktiivistä poikkeavia säännöksiä. Artiklassa 2 on lisäksi säädetty direktiivissä käytetyistä määritelmistä. Näitä yleisiä säännöksiä sovelletaan direktiivin muiden artiklojen ohella. 

Soveltamisala 

Direktiivin 1 artiklan mukaan direktiiviä sovelletaan kaikkiin verovelvollisiin, jotka ovat yhteisöverovelvollisia yhdessä tai useammassa jäsenvaltiossa. Lisäksi direktiiviä sovelletaan kolmansissa maissa kotipaikan omaavien yksiköiden kiinteisiin toimipaikkoihin jäsenvaltioissa. 

Pääsäännön mukaan ulkomaista yksikköä tai kiinteää toimipaikkaa pidetään direktiivissä väliyhtiönä seuraavien edellytysten täyttyessä: 

— Verovelvollisella on yksin tai yhdessä etuyhteysosapuolten kanssa suoraan tai välillisesti määräysvalta yksikössä. 

— Yksikön verotuksen taso on alle puolet verovelvollisen jäsenvaltiossa sovelletun yhteisöverotuksen tasosta. 

Euroopan talousalueella asuvan väliyhtiön osalta direktiivi asettaa väliyhtiösääntelyn soveltamisen edellytykseksi edellisten lisäksi, ettei yksikkö harjoita taloudellista toimintaa. 

Direktiivin väliyhtiösääntely sisältää muutamia optioita, joita jäsenvaltiot voivat toimeenpanna kansallisessa sääntelyssään. Jäsenvaltioiden on osin mahdollista kansallisesti säätää väliyhtiötilanteista myös tiukemmin kuin direktiivi edellyttää. Direktiivin johdantokappaleessa 12 todetaan erityisesti väliyhtiösääntelyn soveltamisedellytysten osalta, että laajemman suojan varmistamiseksi jäsenvaltiot voisivat alentaa määräysvaltakynnystä tai soveltaa korkeampaa kynnysarvoa verrattaessa tosiasiallisesti maksettua yhteisöveroa siihen yhteisöveroon, joka olisi kannettu verovelvollisen jäsenvaltiossa. Direktiivin sääntely muodostaa 3 artiklan mukaan sääntelyn minimitason. 

Määräysvalta 

Direktiivin 7 artiklan 1 kohdan a alakohdan mukaan määräysvaltaa koskeva edellytys täyttyy, kun verovelvollisella on yksin tai yhdessä siihen etuyhteydessä olevien yritysten kanssa suoraan tai välillisesti yli 50 prosenttia yksikön äänioikeuksista. Määräysvaltaa koskeva edellytys täyttyy myös, kun verovelvollisella on yksin tai yhdessä siihen etuyhteydessä olevien yritysten kanssa omistuksessaan suoraan tai välillisesti yli 50 prosenttia yksikön pääomasta taikka oikeus saada yli 50 prosenttia tämän voitosta. 

Verotuksen taso 

Artiklan 7 kohdassa 1 b säädetään verotuksen tasosta, jota tarkastellaan vertaamalla verovelvollisen asuinvaltion ja yksikön tai kiinteän toimipaikan sijaintivaltion verotuksen tasoa. Soveltamisedellytys täyttyy, mikäli yksikön tai kiinteän toimipaikan tosiasiallinen yhteisövero on alempi kuin erotus, joka saadaan vähentämällä väliyhtiön voitostaan tosiasiallisesti maksama yhteisövero siitä yhteisöverosta, joka olisi kannettu verovelvollisen jäsenvaltiossa sovellettavan yhteisöverojärjestelmän mukaisesti. Käytännössä säännös tarkoittaa 50 prosenttia verovelvollisen jäsenvaltiossa suoritettavasta yhteisöveron määrästä. Yhteisöverolla, joka olisi kannettu verovelvollisen jäsenvaltiossa, tarkoitetaan yhteisöveroa, joka on laskettu verovelvollisen jäsenvaltion sääntöjen mukaisesti. 

Direktiivin 7 artiklan 1 kohdan toisen kohdan mukaan edellä tarkoitetussa vertailulaskelmassa ei oteta huomioon ulkomaisen väliyhtiön kiinteää toimipaikkaa, joka ei ole veronalainen tai joka on vapautettu verosta ulkomaisen väliyhtiön lainkäyttöalueella. 

Väliyhtiötulon muodostuminen 

Direktiiviin on kirjattu kaksi vaihtoehtoista tapaa väliyhtiötulon määrittämiseksi. Ensimmäisessä vaihtoehdossa väliyhtiötuloksi luetaan tietyt direktiivissä luetellut tulot. Toisessa vaihtoehdossa väliyhtiötuloksi luetaan väliyhtiön tulot, jotka syntyvät epäaidoista järjestelyistä ja joiden keskeisenä tarkoituksena on veroedun saaminen. 

Artiklan 7 kohdassa 2 a) on kuvattu niin kutsuttu transaktiopohjainen väliyhtiösääntely, jonka mukaan tietyt artiklassa luetellut passiivisluonteiset tulot on luettava väliyhtiötuloksi. Tällaisia tuloja ovat korot tai muut rahoitusvaroista saatavat tulot, rojaltit tai muut teollis- ja tekijänoikeuksista saatavat tulot, osingot ja osakkeiden luovutuksesta saatavat tulot, rahoitusleasingistä saatavat tulot, vakuutuksista, pankkitoiminnasta ja muusta rahoitustoiminnasta saatavat tulot, tulot laskutusyrityksiltä, jotka saavat myynti- ja palvelutuloja tavaroista ja palveluista, jotka on hankittu etuyhteydessä olevilta yrityksiltä tai myyty niille ja jotka eivät tuota taloudellista lisäarvoa tai joiden tuottama taloudellinen lisäarvo on vähäinen. 

Artiklan 7 kohta 2 b) koskee niin sanotuista epäaidoista järjestelyistä saatua väliyhtiötuloa. Tätä kohtaa sovellettaessa järjestelyä tai järjestelyjen sarjaa pidetään epäaitona siltä osin kuin yksikkö tai kiinteä toimipaikka ei itsenäisenä yrityksenä omistaisi niitä varoja tai ei olisi ottanut niitä riskejä, joista se saa tulonsa. Tuloa voidaan verottaa väliyhtiötulona, jos se on yhteydessä siihen, että yksikkö on sellaisen yrityksen määräysvallassa, jossa suoritetaan avainhenkilötoiminnot, jotka ovat olennaisia kyseisten varojen ja riskien kannalta sekä välttämättömiä väliyhtiön tulonmuodostukselle. 

Soveltamisalan rajaukset 

Euroopan talousalueella asuvaa ulkomaista yhtiötä ei voida direktiivin 7 artiklan 2 a) kohdan mukaan käsitellä väliyhtiönä, jos yhtiö harjoittaa taloudellista toimintaa, johon liittyy henkilöstöä, laitteita, varoja ja tiloja. Jäsenvaltiot voivat soveltaa edellä mainittua poikkeusta myös Euroopan talousalueen ulkopuolisissa valtioissa sijaitseviin väliyhtiöihin, mutta tämä ei ole pakollista. Säännöksen soveltumista tarkastellaan asiaan liittyvien tosiseikkojen ja olosuhteiden perusteella. 

Soveltamisalan rajaus taloudellisen toiminnan perusteella johtuu direktiivin johdantokappaleen 12 mukaan unionin perusvapauksia koskevasta sääntelystä. Perusvapauksia koskevan tulkinnan mukaan väliyhtiösääntely on unionin sisällä rajattava tapauksiin, joissa ulkomainen väliyhtiö ei harjoita taloudellista toimintaa. Väliyhtiösääntelyn soveltamista unionin sisäisiin tilanteisiin on käsitelty erityisesti Euroopan yhteisöjen tuomioistuimen päätöksessä C-196/04 (Cadbury Schweppes), joka koski Ison-Britannian väliyhtiölainsäädäntöä. Asiassa annetun ratkaisun mukaan perustamissopimuksen sijoittautumisvapautta koskevan säännöksen vastaista on se, että jäsenvaltio estää omaa kansalaistaan tai oman lainsäädäntönsä mukaisesti perustettua yhtiötä sijoittautumasta toiseen jäsenvaltioon. Ratkaisun perusteella on nykyisessä kansallisessa sääntelyssä säädetty, ettei väliyhteisölakia voida soveltaa Euroopan talousalueella, jos väliyhtiön harjoittama toiminta täyttää aidon ja tosiasiallisen taloudellisen toiminnan tunnusmerkit. Kansallisen väliyhteisölain soveltamisalan ulkopuolelle on katsottu tarpeelliseksi rajata kaikki sellaiset Euroopan talousalueelle sijoittautuneet ulkomaiset yhtiöt, jotka harjoittavat aitoa ja aktiivista liiketoimintaa Euroopan talousalueeseen kuuluvassa valtiossa sijaitsevasta toimipaikasta käsin. 

Artiklan 7 kohdan 3 mukaan jäsenvaltion soveltaessa edellä mainittua transaktiopohjaista väliyhtiösääntelyä jäsenvaltio voi päättää olla kohtelematta yksikköä tai kiinteää toimipaikkaa ulkomaisena väliyhtiönä, jos enintään kolmannes tälle kertyvistä tuloista kuuluu johonkin edellä mainituista 7 artiklan 2 a) kohdan mukaisista luokista. Lisäksi jäsenvaltio voi päättää olla kohtelematta rahoitusalan yrityksiä ulkomaisina väliyhtiöinä, jos enintään kolmannes yksikölle 2 kohdan a-alakohdassa tarkoitetuista luokista kertyvistä tuloista on peräisin liiketoimista verovelvollisen tai siihen etuyhteydessä olevien yritysten kanssa. 

Artiklan 7 kohdan 4 mukaan jäsenvaltiot voivat jättää 2 b) kohdan eli epäaitoihin järjestelyihin pohjautuvan mallin soveltamisalan ulkopuolelle yksikön tai kiinteän toimipaikan, jonka kirjanpidollinen voitto on enintään 750 000 euroa ja muut tuotot enintään 75 000 euroa, tai jonka kirjanpidollinen voitto on enintään kymmenen prosenttia sen toimintakustannuksista verokaudella. Jälkimmäistä kohtaa sovellettaessa toimintakustannukset eivät saa sisältää niiden tavaroiden kustannuksia, jotka on myyty sen maan ulkopuolelle, jossa on yksikön verotuksellinen kotipaikka tai jossa kiinteä toimipaikka sijaitsee, eivätkä maksuja etuyhteydessä oleville yrityksille. 

Veronalaisen tulon määrittäminen 

Veronalaisen väliyhtiötulon määrittäminen tapahtuu direktiivin mukaan kahdella eri tavalla riippuen siitä, kumpaa edellä mainituista väliyhtiösääntelyn malleista, transaktiopohjaista vai epäaitojen järjestelyjen mallia, jäsenvaltio soveltaa. Molemmissa malleissa veropohjaan sisällytettävät väliyhtiötulot lasketaan kuitenkin suhteessa verovelvollisen osuuteen väliyhtiössä. Tulot sisällytetään veropohjaan sinä verovelvollisen verokautena, jona väliyhtiön verovuosi päättyy. 

Artiklan 8 kohdan 1 mukaan transaktiopohjaisessa mallissa verovelvollisen veropohjaan sisällytettävät tulot lasketaan sen jäsenvaltion yhteisöverolainsäädännön mukaisesti, jossa verovelvollisella on verotuksellinen kotipaikka tai jossa se sijaitsee. Väliyhtiön tai kiinteän toimipaikan tappioita ei sisällytetä veropohjaan, mutta ne voidaan siirtää ajallisesti eteenpäin kansallisen lainsäädännön mukaisesti ja ottaa huomioon seuraavina verokausina. 

Artiklan 8 kohdan 2 mukaan epäaitojen järjestelyjen mallia sovellettaessa verovelvollisen veropohjaan saadaan sisällyttää tuloista enintään määrät, jotka on saatu niistä varoista ja riskeistä, jotka liittyvät määräysvaltaa käyttävässä yhtiössä suoritettuihin avainhenkilötoimintoihin. Ulkomaisen väliyhtiön tulojen kohdentaminen lasketaan tällöin markkinaehtoperiaatteen mukaisesti. 

Väliyhtiön jakaessa verovelvolliselle voittoja, jotka sisällytetään verovelvollisen verotettavaan tuloon, veropohjasta vähennetään direktiivin 8 artiklan 5 kohdan mukaan määrä, joka on aiemmin sisällytetty veropohjaan väliyhtiösääntelyn nojalla. Säännöksen tarkoituksena on estää väliyhtiötulon kaksinkertainen verottaminen. 

Verovelvollisen luopuessa osuudestaan väliyhtiössä tai kiinteän toimipaikan harjoittamasta liiketoiminnasta luovutuksesta saatavan tulon verotuksessa otetaan direktiivin 8 artiklan 6 kohdan mukaan huomioon määrä, joka on aiemmin sisällytetty veropohjaan väliyhtiösääntelyn nojalla. Kyseinen määrä vähennetään veropohjasta tuotosta maksettavaa veroa laskettaessa. Myös tämän säännöksen tarkoituksena on estää väliyhtiötulon kaksinkertainen verottaminen. 

Väliyhtiön maksama vero tulee direktiivin 8 artiklan 7 kohdan mukaan ottaa huomioon verovelvollisen asuinvaltiossa väliyhtiötuloa verotettaessa. Vähennys lasketaan kansallisen lainsäädännön mukaan. 

2.3  Ulkomaiden lainsäädäntö

Useat EU-valtiot valmistelevat parhaillaan veron kiertämisen estämistä koskevan direktiivin täytäntöönpanoa ja jo olemassa olevien väliyhtiösäännöstensä mahdollista päivittämistä direktiivin johdosta. Myös EU:n ulkopuolisissa valtioissa kaavaillaan muutoksia säännöksiin OECD:n BEPS-ohjeistuksen perusteella. 

Alankomaat 

Alankomaissa ei tällä hetkellä ole väliyhtiölainsäädäntöä. Hallitus tiedotti 23 helmikuuta 2018 aikeistaan koskien veron kiertämisen estämistä koskevan direktiivin väliyhtiösääntelyn kansallista täytäntöönpanoa. 

Alankomaissa on tarkoitus saattaa voimaan sääntely, jonka mukaan väliyhtiösääntely soveltuisi matalan verotuksen valtiossa sijaitsevaan ulkomaiseen yhtiöön, jossa alankomaalaisella yhtiöllä on 50 prosentin osuus. Matalan verotuksen tason rajana olisi 50 prosenttia Alankomaiden verotuksen tasosta vastaavassa tilanteessa. Väliyhtiösääntelyä sovellettaisiin myös ulkomaisiin yhtiöihin, jotka sijaitsevat lainkäyttöalueilla, jotka on listattu unionin laatimassa yhteistyöhaluttomien lainkäyttöalueiden luettelossa. 

Väliyhtiötulona verotettaisiin niin sanotut passiiviset tulot direktiivin mallin a) mukaisesti. Väliyhtiötuloja olisivat silloin esimerkiksi osingot, korot, rojaltit ja rahoitusleasingista saadut tulot. 

Sääntely sisältäisi direktiivin mukaisen taloudelliseen toimintaan perustuvan huojennuksen. Huojennuksen soveltaminen edellyttäisi, että ulkomaisen yhtiön vuosittaiset henkilöstökulut ovat vähintään 100 000 euroa ja että yhtiöllä on käytössään omat toimitilat vähintään 24 kuukauden ajan toiminnan aloittamisesta. 

Belgia 

Belgiassa ei tällä hetkellä ole väliyhtiölainsäädäntöä. Joulukuussa 2017 Belgiassa on julkaistu veron kiertämisen estämistä koskevan direktiivin täytäntöönpanoa koskeva ehdotus, jota on täydennetty ja korjattu kesäkuussa 2018 annetulla ehdotuksella. 

Väliyhtiösääntelyä koskevan ehdotuksen mukaan väliyhtiönä pidettäisiin ulkomaista yhteisöä, jonka tosiasiallinen verotuksen taso on alhaisempi kuin 50 prosenttia Belgian yritysverotuksen tasosta. Määräysvalta syntyisi 50 prosentin välillisen tai välittömän omistuksen tai muun direktiivissä mainitun hallinnan perusteella. Väliyhtiötulon muodostumisen osalta ehdotetaan niin sanottuun epäaitoihin järjestelyihin perustuvan mallin käyttöönottoa. Ehdotuksessa ei esitetä, että soveltamisalan rajauksia koskevia optioita otettaisiin käyttöön. 

Luxemburg 

Luxemburgissa ei tällä hetkellä ole väliyhtiölainsäädäntöä. Kesäkuussa 2018 Luxemburgissa on julkaistu veron kiertämisen estämistä koskevan direktiivin täytäntöönpanoa koskeva ehdotus. 

Väliyhtiösääntelyä koskevan ehdotuksen mukaan väliyhtiönä pidettäisiin ulkomaista yhteisöä, jonka tosiasiallinen verotuksen taso on alhaisempi kuin 50 prosenttia Luxemburgin yritysverotuksen tasosta. Väliyhtiölainsäädännön yhteydessä sovellettava yritysverokanta olisi 18 prosenttia eli erilaisia kunnallisia veroja ei otettaisi huomioon. Määräysvalta syntyisi 50 prosentin välillisen tai välittömän omistuksen tai muun direktiivissä mainitun hallinnan perusteella. Väliyhtiötulon muodostumisen osalta ehdotetaan niin sanottuun epäaitoihin järjestelyihin perustuvan mallin käyttöönottoa. Ehdotuksen mukaan Luxemburgissa otettaisiin käyttöön kyseiseen malliin liittyvät kirjanpidollista tulosta koskevat optiot, joilla soveltamisalaa voidaan rajata. 

Ranska 

Ranskassa on tällä hetkellä väliyhtiölainsäädäntö, jonka mukaan väliyhtiönä pidetään ulkomaista yhtiötä, jonka tosiasiallinen verotuksen taso on alhaisempi kuin 50 prosenttia Ranskan yritysverotuksen tasosta. Ranskassa yleisesti verovelvollisella yhtiöllä on oltava suoraan tai välillisesti yli 50 prosentin määräysvalta ulkomaisessa yhtiössä. Väliyhtiön koko tulo verotetaan osakkeenomistajien tulona. Väliyhtiölainsäädäntöä ei sovelleta, jos voidaan osoittaa, että ulkomainen yhtiö harjoittaa tosiasiallisesti taloudellista tai tuotannollista toimintaa. Väliyhtiölainsäädäntöä ei myöskään yleensä sovelleta EU-alueelle sijoittautuneisiin yhtiöihin, paitsi jos kyseessä on keinotekoinen järjestely. 

Veron kiertämisen estämistä koskevan direktiivin täytäntöönpanoehdotusta ei ole vielä julkaistu väliyhtiölainsäädännön osalta. 

Ruotsi 

Ruotsissa on ollut voimassa väliyhtiösääntelyn kaltaista sääntelyä vuodesta 1990. Nykyinen sääntely tuli voimaan vuoden 2004 alusta. Ruotsi on 7 kesäkuuta 2018 julkaissut hallituksen esityksen, jolla esitetään täytäntöön pantavaksi veron kiertämisen estämistä koskevan direktiivin väliyhtiösääntely. Esityksessä ehdotetaan joitakin muutoksia nykyiseen sääntelyyn. Seuraavassa kuvataan Ruotsin nykyistä sääntelyä ja ehdotettuja muutoksia pääpiirteissään. Siltä osin kuin muutoksia ei ole ehdotettu, nykyisen sääntelyn on katsottu täyttävän direktiivin vaatimukset. 

Väliyhtiösääntelyn tavoitteena on ehkäistä matalan verotuksen valtioihin asettautuneiden yhtiöiden kautta tapahtuvaa verosuunnittelua. Säännösten mukaan Ruotsissa voidaan verottaa ulkomaisen yhtiön osakasta tämän osuudesta ulkomaisen yhtiön koko tuottoon riippumatta siitä, jakaako ulkomainen yhtiö voittoa osakkailleen. Väliyhtiötulona verotettava määrä lasketaan ja verotetaan ikään kuin ulkomainen väliyhtiö olisi ruotsalainen yhtiö. 

Väliyhtiösääntelyä sovelletaan sekä luonnollisiin että juridisiin henkilöihin. Sääntely kattaa yleisesti verovelvollisten lisäksi rajoitetusti verovelvolliset, jos näillä on Ruotsissa kiinteä toimipaikka, johon osuudet ulkomaisessa yhtiössä liittyvät. Osakasta voidaan verottaa väliyhtiötulosta, jos osakkaalla yksin tai yhdessä etuyhteydessä olevien henkilöiden kanssa on suoraan tai välillisesti vähintään 25 prosentin osuus ulkomaisen yhtiön pääomasta tai äänivallasta. Osuuden suuruutta arvioitaessa otetaan huomioon kaikenlainen tosiasiallinen kontrolli, joka henkilöllä on ulkomaiseen yhtiöön. Etuyhteyden katsotaan muodostuvan, kun osuus toisessa henkilössä on vähintään 50 prosenttia. Lisäksi huomioon otetaan ulkomainen välillinen omistus väliyhtiössä. 

Vireillä olevassa muutosehdotuksessa on esitetty, että etuyhteyden katsottaisiin jatkossa muodostuvan osuuden ollessa vähintään 25 prosenttia. Lisäksi esitetään säädettäväksi, että yritysten välillä katsottaisiin olevan etuyhteys, jos samalla henkilöllä on molemmissa vähintään 25 prosentin osuus. 

Ulkomaista yhtiötä voidaan pitää väliyhtiönä, jos sen verotuksen taso on alempi kuin vastaavan ruotsalaisen yhtiön verotuksen taso Ruotsissa. Verotuksen tason tulee olla 55 prosenttia Ruotsin verotuksen tasosta. Ulkomaisen yhtiön verotuksen tason ei kuitenkaan katsota olevan Ruotsin tasoa alempi, jos yhtiö sijaitsee ja on verovelvollinen valtiossa tai lainkäyttöalueella, joka on mainittu niin sanotulla valkoisella listalla ja joka ei kuulu listalla mainittuihin poikkeuksiin. Lista on jaoteltu maanosittain viiteen alueeseen. Verosopimusvaltioissa sijaitsevien yhtiöiden osalta listaa koskevaa säännöstä voidaan soveltaa tuloihin, jotka kuuluvat verosopimuksen piiriin. 

Vireillä olevassa muutosehdotuksessa on esitetty valkoista listaa koskevan huojennuksen muuttamista. Huojennuksen ulkopuolelle jätettäisiin valtiot, joiden verojärjestelmää ei voida pitää hyväksyttävänä väliyhtiösääntelyn näkökulmasta. Toisaalta huojennuksen piiriin luettaisiin valtiot, joiden verojärjestelmää voidaan pitää väliyhtiösääntelyn näkökulmasta hyväksyttävänä. 

Sääntely sisältää Euroopan talousalueen valtioissa sijaitsevia yhtiötä koskevia erillisiä huojennuksia. Näissä valtioissa sijaitsevien yhtiöiden osalta väliyhtiötulona voidaan pitää vain tuloja, jotka syntyvät konsernin sisäisestä rahoitus- tai vakuutustoiminnasta. Lisäksi on säädetty, ettei väliyhtiösääntelyä sovelleta näissä valtioissa sijaitseviin yhtiöihin, jos yhtiö on tosiasiassa sijoittautunut asuinvaltioonsa ja harjoittaa siellä aitoa liiketaloudellista toimintaa. Viimeksi mainitun huojennuksen edellytysten täyttymistä arvioidaan tapauskohtaisesti ottaen huomioon se, onko ulkomaisella yhtiöllä käytettävissään toimintansa kannalta riittävät toimitilat, kalusto sekä henkilöstö, jolla on toimivalta itsenäisesti harjoittaa yhtiön liiketoimintaa ja tehdä liiketoimintaa koskevia päätöksiä. 

Väliyhtiösääntelystä on lisäksi tietyin edellytyksin vapautettu kansainvälistä laivanvarustusta harjoittavat yhtiöt. 

Saksa 

Saksassa on tällä hetkellä väliyhtiölainsäädäntö, jonka mukaan tietyt alle 25 prosentin vero-kannalla verotetut tulot verotetaan Saksassa yleisesti verovelvollisen osakkeenomistajan tulona, mikäli tietyt lisäedellytykset täyttyvät. Lisäedellytykset koskevat muun muassa määräysvaltaa ulkomaisessa yhtiössä. EU- ja ETA-alueella sijaitsevia yhtiöitä ei pidetä väliyhtiöinä, mikäli niin sanottu motiivitesti täyttyy eli verovelvollinen osoittaa, että tietty tulo on kertynyt ulkomaisen yhtiön aidosta taloudellista toiminnasta. 

Veron kiertämisen estämistä koskevan direktiivin täytäntöönpanoehdotusta ei ole vielä julkaistu väliyhtiölainsäädännön osalta. Julkisuudessa olleiden tietojen mukaan Saksan uusi hallitus aikoo uudistaa väliyhtiösääntelyä direktiivin täytäntöönpanon yhteydessä. 

Tanska 

Tanskassa on ollut voimassa väliyhtiösääntelyn kaltaista sääntelyä vuodesta 1995. Tanska on 31 toukokuuta 2018 julkaissut luonnoksen ehdotukseksi veron kiertämisen estämistä koskevan direktiivin väliyhtiösääntelyn täytäntöön panemisesta. Esityksessä ehdotetaan joitakin muutoksia nykyiseen sääntelyyn. Seuraavassa kuvataan Tanskan nykyistä sääntelyä ja ehdotettuja muutoksia pääpiirteissään. Siltä osin kuin muutoksia ei ole ehdotettu, nykyisen sääntelyn on katsottu täyttävän direktiivin vaatimukset. 

Tanskan väliyhtiösääntelyn tavoitteena on ehkäistä verosuunnittelua, jossa helposti siirreltäviä tuloja siirretään Tanskan ulkopuolelle veroetujen saamiseksi. Sääntely koskee tanskalaisen emoyhtiön välittömässä tai välillisessä määräysvallassa olevia tytäryhtiöitä. Määräysvallan katsotaan olevan olemassa, jos osuus tytäryhtiössä on yli 50 prosenttia. Emoyhtiötä voidaan verottaa tämän osuudesta väliyhtiön koko tuottoon riippumatta siitä, jakaako väliyhtiö voittoa osakkailleen. Väliyhtiösääntelyä ei sovelleta, jos konsernia verotetaan Tanskan verojärjestelmän mukaisessa konsernin yhteisverotuksessa. 

Vireillä olevassa luonnoksessa on esitetty, että väliyhtiönä pidettäisiin jatkossa ulkomaisia yhtiöitä näiden muodosta riippumatta. Lisäksi on esitetty, että emoyhtiön osuutta tytäryhtiössä koskeva määrittely täsmennettäisiin vastaamaan direktiiviä siten, että osuuden raja olisi edelleen 50 prosenttia. Sääntelyyn lisättäisiin myös direktiiviin perustuva etuyhteyden määritelmä, jolloin yritysten välillä katsottaisiin olevan etuyhteys muun muassa silloin, kun samalla henkilöllä on molemmissa vähintään 25 prosentin osuus. 

Väliyhtiömäärittely ei Tanskan sääntelyssä perustu ulkomaisen yhtiön verotuksen matalaan tasoon. Sääntelyn keskeinen elementti on väliyhtiötuloksi luettavien tulojen määrittely. Väliyhtiötuloksi luetaan muun muassa vuokrat, kurssivoitot, rojaltit ja rahoitusleasingtulot. Väliyhtiön tuloja voidaan verottaa Tanskassa, jos yli puolet yhtiön tulosta on rahoitustuottoja ja yli kymmenen prosenttia sen varoista on rahoitusvaroja. Koko väliyhtiön tulo luetaan verotettavaksi väliyhtiötuloksi riippumatta siitä, onko kyse ollut passiivisista tuloista. 

Luonnoksessa esitetään, että nykyiseen sääntelyyn sisältyvä varojen määrää koskeva testi poistettaisiin. Lisäksi esitetään, että väliyhtiömäärittelyssä rahoitustuottojen määrää koskevaa testiä muutettaisiin niin, että rajana olisi 50 prosentin sijaan 1/3 direktiiviin perustuen. Rahoitustuoton määritelmää laajennettaisiin kattamaan aineettomasta omaisuudesta saadut tulot. 

2.4  Nykytilan arviointi

Suomessa on ollut kansallinen väliyhteisösääntely voimassa vuodesta 1995. Sääntelyn soveltumisesta eri tilanteissa suomalaisten omistamiin ulkomaisiin yhteisöihin on saatavilla vain vähän numeerista koottua tietoa. Väliyhteisöverotusta koskevat määrälliset tiedot perustuvat Verohallinnolta saatuihin tietoihin. 

Näiden tietojen perusteella suomalaisilla on melko vähän omistuksia ulkomaisissa väliyhteisöissä. Väliyhteisösääntelyn ensisijainen tavoite ei olekaan fiskaalinen, vaan sääntelyn on tarkoitus toimia ennaltaehkäisevästi. Väliyhteisöomistusten vähäinen määrä osoittaa osaltaan sääntelyn toimivan tavoitteeseensa nähden oikein. 

Verohallinnon veroilmoitustietojen mukaan verovuosina 2013—2014 suomalaisilla yhtiöillä oli ulkomailla noin 70 väliyhteisöä. Väliyhteisöjä oli pääasiassa kotimaisilla monikansallisilla suuryrityksillä. Väliyhteisöjen elinkeinotoiminnan tuloksen määrä vaihteli viidestä miljoonasta eurosta kahden miljoonan euron tappioon. Yhteensä väliyhteisöjen elinkeinotoiminnan tuloksena oli ilmoitettu noin 29 miljoonaa euroa ja tappiona noin kuusi miljoonaa euroa. 

Luonnollisten henkilöiden verotuksessa väliyhteisösäännöksiä on sovellettu harvoin. Tämä on johtunut siitä, että tietoja ulkomaisista väliyhteisöistä ei ole annettu veroilmoituksilla ja viranomaisten välinen verotietojenvaihto on ollut riittämätöntä, minkä vuoksi ulkomaisista omistuksista ei ole ollut käytettävissä tietoja. Sääntely on saattanut tulla sovellettavaksi erityisesti verotarkastuksen seurauksena. Viime vuosina väliyhteisölainsäädäntöä on kuitenkin sovellettu myös luonnollisten henkilöiden verotuksessa. Verohallinnon käsityksen mukaan väliyhteisölainsäädännön voidaan katsoa vakiinnuttaneen asemansa yhtenä harmaan talouden ja veronkierron estämisen juridisena välineenä. 

Viranomaisten välinen automaattinen verotietojenvaihto on viime vuosien aikana kehittynyt merkittävästi kansainvälisten sopimusten ja uusien menetelmien johdosta. OECD:n kehittämään finanssitilitietoja koskevaan yhteiseen raportointistandardiin, Common reporting standard (CRS), perustuva henkilöiden varallisuus- ja tulotietoja koskeva automaattinen tietojenvaihto alkoi syyskuussa 2017 koskien tietoja vuodelta 2016. Standardilla luotiin puitteet kyseiselle tietojenvaihdolle maailmanlaajuisesti. Finanssitilitietoja saadaan yli sadalta lainkäyttöalueelta. EU:ssa raportointistandardi on toteutettu direktiivillä 2014/107/EU, jolla virka-apudirektiiviä muutettiin. Finanssitilitiedot saadaan myös Suomessa asuvien henkilöiden välillisestä omistuksesta silloin, kun ne ovat kontrolloivassa asemassa tilejä hallitsevassa yksikössä tai trustissa. Suomella on myös Yhdysvaltojen kanssa automaattista tietojenvaihtoa koskeva niin sanottu FATCA-sopimus, johon perustuva tietojenvaihto käynnistyi vuonna 2015 koskien vuoden 2014 tietoja. 

EU:ssa on lisäksi säädetty rajatylittäviä tilanteita varten annettavia ennakkopäätöksiä koskevien tietojen pakollisesta automaattisesta vaihdosta direktiivillä (EU) 2015/2376 ja monikansallisten yritysten maakohtaista raportointia koskevien tietojen pakollisesta automaattisesta vaihdosta veroviranomaisten välillä direktiivillä (EU) 2016/881. Lisäksi direktiivillä (EU) 2016/2258 on asetettu jäsenvaltioille velvollisuus antaa veroviranomaisille pääsy asiakkaan tuntemisvelvollisuutta koskeviin menettelyihin, joita rahoituslaitokset soveltavat neuvoston direktiivin (EU) 2015/849 mukaisesti. Lisääntyneen tietojenvaihdon odotetaan parantavan edellytyksiä myös väliyhteisöomistusten ja -tulojen selvittämisessä ja verottamisessa. 

Nykyinen väliyhteisösääntely on rakenteeltaan moniportainen. Ulkomaisen yhteisön väliyhteisöaseman selvittäminen on tästä johtuen hallinnollisesti raskasta sekä verovelvollisille että Verohallinnolle. Väliyhteisölakiin liittyvistä tulkintakysymyksistä on kuitenkin kertynyt runsaasti oikeuskäytäntöä, mikä on helpottanut sääntelyn soveltumisen arviointia käytännön tilanteissa. Oikeustapaukset koskevat kuitenkin aina yksittäisiä tapauksia ja sisältävät tavallisesti tulkintaohjeen vain hyvin rajattuun tilanteeseen. Nykyistä väliyhteisösääntelyä olisi tarvetta selventää ja mahdollisuuksien mukaan tarkentaa. 

Väliyhteisösääntelyn tarkoituksena on verottaa tuloja, jotka on kanavoitu matalan verotuksen valtioihin asettautuneisiin yhtiöihin. Suurille yrityksille väliyhteisörakenne ei aina ole keskeinen verosuunnitteluelementti, mutta sääntely on kuitenkin otettava huomioon kansainvälisen liiketoiminnan rakenteita muodostettaessa. Nykyinen sääntely on tässä suhteessa ongelmallinen niin sanotun toimialapoikkeaman osalta, joka sanamuotonsa mukaan soveltuu luontevasti lähinnä perinteiseen teolliseen tuotantotoimintaan, minkä vuoksi yhtiöt ovat mahdollisesti joutuneet järjestämään toimintojaan liiketoiminnan kannalta epätarkoituksenmukaisella tavalla. Sääntely on voinut myös johtaa epäyhtenäiseen verokohteluun riippuen verovelvollisten rakenteista. 

Sääntelyn ajantasaisuus on koettu ongelmalliseksi myös sääntelyyn liittyvän verosopimusvaltioiden listauksen vuoksi. Ajantasaisen ja oikeudenmukaisen listan ylläpitäminen on hallinnollisesti raskasta ja vaikeaa. Listaukseen liittyy myös merkittäviä negatiivisia heijastusvaikutuksia, jotka ulottuvat Suomen ja listattujen valtioiden välisiin suhteisiin laajemminkin. Suomen kansalliseen sääntelyyn perustuvasta valtioiden listauksesta olisi perusteltua luopua. 

Kansallinen väliyhteisölaki toimii edellä kuvatuin tavoin pääosin tavoitteidensa mukaisesti. Sääntelyssä on kuitenkin tunnistettu edellä mainittuja ongelmia, jotka olisi perusteltua korjata samalla, kun sääntely säädetään vastaamaan direktiivin vaatimuksia. 

Esityksen tavoitteet ja ehdotetut muutokset

3.1  Tavoitteet

Esityksen tarkoituksena on panna täytäntöön 12 päivänä heinäkuuta 2016 annettu neuvoston direktiivi (EU) 2016/1164 sisämarkkinoiden toimintaan suoraan vaikuttavien veron kiertämisen käytäntöjen torjuntaa koskevien sääntöjen vahvistamisesta siltä osin kuin on kyse ulkomaisia väliyhtiöitä koskevasta säännöstä ja ulkomaisen väliyhtiön tulojen laskemisesta. 

Esityksessä ehdotetaan, että direktiivi implementoidaan tekemällä kansalliseen väliyhteisölakiin asiasisältöiset muutokset, joilla laki saatetaan vastaamaan direktiivin velvoitteita. 

Direktiivin väliyhtiöitä koskevan sääntelyn tavoitteena on turvata yhtiöveropohjaa jäsenvaltioissa. Sääntelyllä pyritään varmistamaan mahdollisuus ottaa verotuksessa huomioon kaikki jäsenvaltiossa yleisesti verovelvollisen yhteisön verotettavaksi kuuluvat tulot. Tarkoituksena on ennaltaehkäistä järjestelyjä, joilla pyritään välttämään jäsenvaltiossa verovelvolliselle yhteisölle kuuluvien tulojen verottaminen. Ennaltaehkäisevän tarkoituksen toteutuessa sääntelyn soveltamistilanteet, joissa ulkomaisen yksikön tulo verotetaan kotimaisen yhteisön tulona, voisivat käytännössä jäädä vähäisiksi. 

Suomessa on jo voimassa direktiivissä tarkoitettua sääntelyä pitkälti vastaava väliyhteisösääntely, jonka tavoitteet vastaavat direktiivin tavoitteita. Direktiivin sääntely eroaa kansallisesta sääntelystä yksityiskohdissa ja siinä, että direktiivin soveltamisalaan kuuluvat ainoastaan yhteisöverovelvolliset, kun kansallisesti sääntelyä sovelletaan myös luonnollisiin henkilöihin. 

3.2  Yleistä toteuttamisvaihtoehdoista

Direktiivi sisältää kaksi vaihtoehtoista mallia väliyhtiösääntelyn toteuttamiseksi. Molemmat mallit ovat erilaisia kuin Suomen nykyisen sääntelyn malli. Direktiivin mallit rakentuvat kuitenkin samoille lähtökohdille kuin nykyinen kansallinen sääntely. Sekä direktiivin että kansallisen sääntelyn elementteinä ovat määräysvalta ulkomaisessa yksikössä, ulkomaisen yksikön verotuksen alhainen taso verrattuna verovelvollisen verotuksen tasoon sekä ulkomaisen yksikön toiminnan luonteeseen tai laajuuteen perustuvat poikkeukset pääsääntöön. Direktiivin toimeenpanon yhteydessä nykyisen kansallisen sääntelyn pääperiaatteita ei ole tarpeen muuttaa siltä osin kuin sääntelyn katsotaan täyttävän direktiivin minimiedellytyksen. 

Direktiivissä käytetty terminologia eroaa joltain osin nykyisessä kansallisessa sääntelyssä käytetystä terminologiasta. Direktiivissä käytettään termiä väliyhtiö ja ulkomainen yksikkö, kun kansallisessa sääntelyssä käytetään vastaavassa tarkoituksessa termejä väliyhteisö ja ulkomainen yhteisö. Terminologiaa on käsitelty tarkemmin jaksossa 3.3.1. 

Direktiivistä seuraa, että Suomen kansalliseen väliyhteisösääntelyyn on sisällytettävä direktiivin pakolliset määräykset, jotka puuttuvat nykyisestä sääntelystä. Toisaalta kansallisen sääntelyn elementtejä, jotka ovat direktiivin pakollista sääntelyä lievempiä, on muutettava tai ne on poistettava. 

Soveltamisalaa koskeva direktiivin sääntely sisältää pakollisen minimisääntelyn lisäksi muutamia optioita, jotka jäsenvaltio voi sisällyttää kansalliseen sääntelyynsä. Väliyhtiötulon laskennan osalta direktiivin määräykset ovat pakollisia lukuun ottamatta väliyhtiön tappion jaksotusta koskevaa säännöstä. Jos jäsenvaltio ottaa käyttöön direktiivin sallimia optioita eli vapaaehtoisia poikkeuksia rajoituksesta, näistä voidaan säätää enintään direktiivissä säädettyjen ehtojen laajuudessa. Toisaalta jäsenvaltio voi säätää myös direktiiviä tiukemmista säännöksistä. Erityisesti väliyhteisösääntelyn osalta tiukempi sääntely ei kaikissa tilanteissa ole kuitenkaan tavoiteltavaa johtuen Euroopan unionin tuomioistuimen väliyhtiöitä koskevasta oikeuskäytännöstä, joka on pyritty sisällyttämään direktiivin sääntelyyn. Toteuttamisvaihtoehdot ja nykyisen kansallisen sääntelyn elementit on kuvattu taulukoissa 1 ja 2. 

Taulukot 1 ja 2. Väliyhteisösääntelyn toteuttamisvaihtoehdot suhteessa nykyiseen sääntelyyn 

Taulukko 1 

Soveltamisedellytykset 

  

  

  

  

  

Ehdon luonne direktiivissä 

Direktiivin säännös 

Nykyinen kansallinen säännös 

  

  

  

Pakollinen minimisäännös 

Sovelletaan yhteisöverovelvollisiin 

Sovelletaan myös luonnollisten henkilöiden verotuksessa 

Pakollinen minimisäännös 

Määräysvalta yli 50 % etuyhteysosapuolilla 

Määräysvalta yleisesti verovelvollisilla yhteensä vähintään 50 %  

Pakollinen minimisäännös 

Verotuksen taso 50 % 

Verotuksen taso 60 % 

Pakollinen minimisäännös 

Yksikköpohjainen malli, transaktiomalli tai keinotekoisen järjestelyn malli 

Yksikköpohjainen malli 

Pakollinen minimisäännös 

Taloudellisen toiminnan poikkeama ETA-valtioissa 

Taloudellisen toiminnan poikkeama ETA-valtioissa  

Vapaaehtoinen säännös 

Taloudellisen toiminnan poikkeama kolmansissa valtioissa 

Taloudellisen toiminnan poikkeama tietyissä verosopimusvaltioissa 

Vapaaehtoinen säännös 

Ei väliyhtiö, jos transaktiomallissa enintään 1/3 passiivituloja 

  

Vapaaehtoinen säännös 

Transaktiomallissa rahoitusalan yritykset eivät väliyhtiöitä, jos enintään kolmannes passiivituloista syntyy etuyhteydessä 

  

Vapaaehtoinen säännös 

Keinotekoisen järjestelyn mallissa ei väliyhtiö, jos kirjanpidollinen voitto enintään 750 000 € ja muut tuotot enintään 75 000 € tai kirjanpidollinen voitto enintään 10 % toimintakustannuksista 

  

  

  

Toimialahuojennus: koko maailma 

  

  

EU-valtioiden ja tiettyjen verosopimusvaltioiden poikkeukset 

  

  

Tietojenvaihtoedellytys: ETA-valtiot ja tietyt verosopimusvaltiot 

Taulukko 2 

Väliyhteisötulon laskenta 

  

  

  

  

  

Ehdon luonne direktiivissä 

Direktiivin säännös 

Nykyinen kansallinen säännös 

  

  

  

Pakollinen minimisäännös 

Verotettava väliyhtiötulo lasketaan verovelvollisen asuinvaltion verolainsäädännön mukaisesti 

Verotettava väliyhteisötulo lasketaan kansallisen verolainsäädännön mukaisesti 

Vapaaehtoinen säännös 

Tappio jaksotetaan 

Tappio jaksotetaan 10 vuodelle 

Pakollinen minimisäännös 

Keinotekoisen järjestelyn mallissa tuloksi luetaan avainhenkilötoimintoihin liittyvät määrät 

  

Pakollinen minimisäännös 

Verotettava väliyhtiötulo lasketaan suhteessa verovelvollisen osuuteen väliyhtiöstä 

Verotettava väliyhteisötulo lasketaan suhteessa verovelvollisen osuuteen väliyhteisöstä 

Pakollinen minimisäännös 

Väliyhtiötulo verotetaan sinä verokautena, jona väliyhtiön verovuosi päättyy 

  

Pakollinen minimisäännös 

Väliyhtiön jakamaa voittoa verotettaessa vähennetään aiemmin verotettu määrä 

Väliyhteisöltä saatu osinko on veronalaista siltä osin kuin se ylittää aiemmin verotetun määrän (5 vuoden raja) 

Pakollinen minimisäännös 

Luovuttaessa väliyhtiöstä luovutuksesta saadusta tulosta vähennetään aiemmin verotettu määrä 

  

Pakollinen minimisäännös 

Väliyhtiön maksama vero hyvitetään 

Väliyhteisön maksama vero hyvitetään 

3.3  Toteuttamisvaihtoehdot pakollisten soveltamisalaa koskevien määräysten osalta

Sääntelyn soveltamisalan osalta direktiivi sisältää pakolliset määräykset määräysvallasta ulkomaisessa yksikössä, ulkomaisen yksikön verotuksen tasosta ja sääntelyn mallista. Nämä määräykset sisältyvät jo nykyiseen sääntelyyn ja direktiivin täytäntöönpanon yhteydessä näiden osalta olisi liikkumavaraa direktiivin minimisääntelyyn saakka. Nykyinen kansallinen sääntely ei täsmälleen vastaa direktiivin määräyksiä. 

3.3.1  3.3.1. Sääntelyn soveltuminen erilaisiin verovelvollisiin ja yksiköihin

Nykyinen kansallinen sääntely koskee Suomessa yleisesti verovelvollisten määräysvallassa olevia ulkomaisia väliyhteisöjä riippumatta siitä, onko yleisesti verovelvollinen esimerkiksi luonnollinen henkilö tai yhtiö. Direktiivi koskee sen sijaan ainoastaan yhteisöverovelvollisia. Nykyinen kansallinen sääntely on tältä osin direktiivin sääntelyä tiukempi ja se olisi mahdollista säilyttää. Tiukempi sääntely olisi perusteltua myös veropohjan turvaamiseen liittyvistä syistä. 

Toisaalta nykyinen kansallinen sääntely koskee vain yleisesti verovelvollisia. Direktiivin mukaan väliyhteisösääntely soveltuu myös kolmansissa valtioissa verotuksellisen kotipaikan omaavien yksiköiden jäsenvaltioissa oleviin kiinteisiin toimipaikkoihin. Kansallista sääntelyä olisi perusteltua muuttaa siten, että siitä poistettaisiin rajaus, jonka mukaan sääntelyä sovelletaan vain yleisesti verovelvollisiin. Väliyhteisösääntely voisi tämän jälkeen soveltua myös Suomessa verotettaviin kiinteisiin toimipaikkoihin. 

Väliyhteisön oikeudellisen muodon osalta väliyhteisönä on nykyisen kansallisen sääntelyn nojalla soveltuvin osin pidetty tuloverolain (1535/1992) 3 §:ssä tarkoitettuja yhteisöjä vastaavia ulkomaisia yhteisöjä. Väliyhteisönä on pidetty paitsi yhtiömuotoisia yksiköitä, myös esimerkiksi rahastoja, säätiöitä, laitoksia, trusteja tai oikeudellisesti erillisiä varallisuusmassoja. Direktiivin mukaan väliyhtiönä voidaan pitää yksikköä (entity) tai kiinteää toimipaikkaa ja verotuksen tason vertailua koskevaan säännökseen sisältyy viittaus yhteisöverovelvollisuuteen. Nykyinen kansallinen sääntely ei edellytä väliyhteisön olevan yhteisöverovelvollinen, joten kansallinen sääntely ei ole väliyhteisön oikeudellista muotoa koskevalta osalta direktiiviä lievempi. Nykyisessä sääntelyssä on käytetty termiä ulkomainen yhteisö, vaikka lain perustelujen mukaan soveltamisalaan kuuluvat myös esimerkiksi yhtiön ja rahaston välimuodot. Laissa käytetty termi yhteisö olisi perusteltua korvata termillä yksikkö, jotta laista itsestään kävisi ilmi, ettei ulkomaisen yksikön oikeudellinen muoto ole ratkaiseva. Termin muutoksella ei muutettaisi nykyisen lain soveltamisalaa, vaan yksiköllä viitattaisiin edelleen yhtiömuotoisten yksiköiden lisäksi muihin yksiköihin, joita Suomessa kohdellaan erillisinä verovelvollisina. Lain sanamuoto saatettaisiin näin vastaamaan myös direktiivin sanamuotoa ja esimerkiksi jaksossa 3.4.1. tarkoitetuissa kansainvälistä tietojenvaihtoa koskevissa sopimuksissa ja direktiiveissä vakiintunutta termistöä. 

Direktiivin säännöksen sisällöstä huolimatta direktiivissä kutsutaan säännöstä ulkomaisia väliyhtiöitä koskevaksi säännöksi (controlled foreign company rule) ja ulkomaista yksikköä, johon sääntely soveltuu, väliyhtiöksi (controlled foreign company). Termit ovat kansainvälisesti vakiintuneet väliyhteisösäännöstöä ja väliyhteisöä koskevaksi termeiksi. Kansallisen lain nimen ja käytetyn termin väliyhteisö voidaan katsoa vastaavan riittävällä tarkkuudella direktiivin termejä ja vakiintuneen kansallisessa lainsäädännössä, minkä vuoksi niiden muuttaminen ei olisi perusteltua eikä tarpeellista. 

Direktiivin mukaan väliyhtiönä pidetään myös verovelvollisen ulkomailla olevaa kiinteää toimipaikkaa vastaavasti kuin ulkomaista yksikköä. Direktiivin johdantolauseen 12 mukaan säännös koskisi kiinteää toimipaikkaa, jos sen voitot eivät ole veronalaisia tai ne on vapautettu verosta verovelvollisen jäsenvaltiossa. Johdantolauseessa todetaan lisäksi, ettei väliyhtiösääntely koskisi niitä kiinteitä toimipaikkoja, joilta verovapaus evätään kansallisten sääntöjen mukaan, koska kyseisiä kiinteitä toimipaikkoja käsitellään kuin ne olisivat ulkomaisia väliyhtiöitä. Suomessa asuvat luonnolliset henkilöt ja suomalaiset yhteisöt ovat Suomessa verovelvollisia myös ulkomailla olevaan kiinteään toimipaikkaansa kuuluvista tuloista samalla tavalla kuin kaikista muistakin tuloistaan maailmanlaajuisen verotuksen perusteella. Tästä johtuen suomalaisen yhteisön ulkomaista kiinteää toimipaikkaa ei ole tarpeellista pitää väliyhteisönä. 

Nykyisen kansallisen sääntelyn mukaan ulkomaiseen väliyhteisöön rinnastetaan ulkomaisen yhteisön sellainen ulkomailla sijaitseva kiinteä toimipaikka, joka sijaitsee eri valtiossa kuin ulkomainen yhteisö ja jonka tuloa ei veroteta ulkomaisen yhteisön asuinvaltiossa. Nykyinen kansallinen sääntely olisi tältä osin perusteltua säilyttää. 

3.3.2  3.3.2. Määräysvalta

Osuus ulkomaisesta yksiköstä 

Direktiivin ja nykyisen kansallisen sääntelyn määräysvaltaa koskevat soveltamisedellytykset vastaavat osin toisiaan. Kansallisen sääntelyn mukaan määräysvalta perustuu omistukseen ulkomaisen yksikön pääomasta tai sen osakkeiden tai osuuksien tuottamasta äänimäärästä tai osuuteen yksikön varallisuuden tuotosta. Varallisuuden tuoton perusteella syntyvällä määräysvallalla on tarkoitettu erityisesti tapauksia, joissa ulkomainen yksikkö on muodostettu trustin tai muun vastaavan erityisen varallisuusmassan muotoon, jossa muodollinen omistusoikeus ja edunsaajataho voi olla eriytetty yksikön perustamisasiakirjasta tai muusta sellaisesta asiakirjasta ilmenevällä tavalla toisistaan. Direktiivissä säädetään osuudesta pääomaan tai äänioikeuksiin sekä voittoon, mutta siinä ei säädetä varallisuuden tuotosta, kuten kansallisessa sääntelyssä. Direktiivin minimiluonne huomioon ottaen kansalliseen sääntelyyn olisi tarpeen lisätä osuus voitosta määräysvallan syntymisen perusteeksi. Nykyinen kansallinen säännös on direktiiviä laajempi, jolloin myös varallisuuden tuotto olisi mahdollista säilyttää määräysvallan perusteissa. Nykyistä kansallista sääntelyä olisi perusteltua muuttaa myös siten, että laissa käytettäisiin nykyisen määräämisvalta-termin sijaan tavallisempaa termiä määräysvalta. Termin muuttaminen ei merkitsisi sisällöllistä muutosta sääntelyyn. 

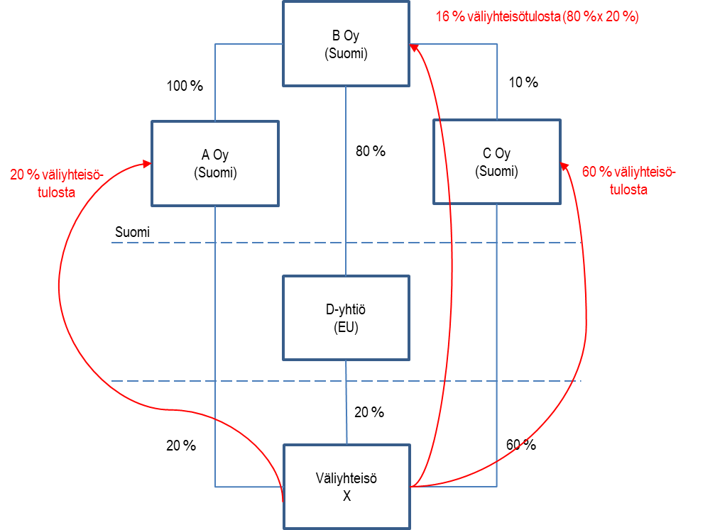
Sekä direktiivissä että kansallisessa väliyhteisölaissa määräysvallan katsotaan syntyvän, kun osuus ulkomaisesta yksiköstä on puolet; direktiivin mukaan yli 50 prosenttia ja nykyisen kansallisen sääntelyn mukaan vähintään 50 prosenttia. Esimerkiksi A Oy:n omistaessa 55 prosenttia ulkomaisesta B-yhtiöstä ja B:n omistaessa 100 prosenttia ulkomaisesta C-yhtiöstä C olisi A Oy:n määräysvallassa sekä nykyisen sääntelyn että direktiivin mukaan. Edellä kohdassa 2.1.1 todetun mukaisesti nykyisessä sääntelyssä otetaan huomioon ulkomainen välillinen omistus ja se lasketaan suhteellisesti. Sellaisessa tapauksessa, jossa suhteellisesti laskettu välillinen omistusosuus jää alle 50 prosentin, määräysvallan voidaan nykyisin katsoa vallitsevan vain, jos omistusosuus on ketjun jokaisessa vaiheessa vähintään 50 prosenttia. Direktiivissä määräysvaltaa ei lasketa suhteellisesti vaan yhteenlasketun omistuksen perusteella, minkä vuoksi omistusosuuden ei myöskään edellytetä olevan ketjun jokaisessa vaiheessa 50 prosenttia. 

Etuyhteyttä koskeva edellytys 

Direktiivissä prosenttiosuutta tarkastellaan ottaen huomioon paitsi verovelvollisen osuus väliyhtiöstä, myös verovelvolliseen etuyhteydessä olevan tahon osuus samasta väliyhtiöstä. Määräysvaltaa koskeva edellytys täyttyy verovelvollisen omistusosuuden ollessa esimerkiksi 25 prosenttia ja verovelvolliseen etuyhteydessä olevan tahon 30 prosenttia. Nykyisessä kansallisessa sääntelyssä otetaan määräysvaltaa arvioitaessa huomioon myös muiden kuin etuyhteydessä olevien tahojen omistus. Tällöin tarkastellaan vain Suomessa yleisesti verovelvollisten omistusta. Nykyinen kansallinen sääntely on tiukempi kuin direktiivin määräys siltä osin kuin tarkastelussa otetaan huomioon myös muiden kuin etuyhteydessä olevien omistus. Toisaalta kansallinen sääntely on direktiiviä lievempi, koska määräysvaltaa arvioitaessa ei oteta huomioon ulkomaisten etuyhteystahojen osuuksia. Direktiivin minimiluonteesta johtuen kansalliseen sääntelyyn tulisi lisätä ulkomaisten tahojen osuuksia koskeva määräys. Samalla säännöksen soveltamista olisi välttämätöntä rajata, koska määräysvaltaa ei voida määritellä niin, että kenen tahansa kotimaisen tai ulkomaisen tahon omistus huomioon ottaen ulkomaisesta yksiköstä omistetaan yli 50 prosenttia, säännös soveltuisi tällöin käytännössä kaikkiin ulkomaisiin yksiköihin. Kansallista sääntelyä tulisi tämän vuoksi muuttaa myös siten, että määräysvaltaa tarkasteltaisiin verovelvollisen oman ja sen kanssa samaan etuyhteyspiiriin kuuluvien tahojen yhteenlasketun omistuksen perusteella. 

Määräysvaltaa koskevalla säännöksellä on nykyisessä sääntelyssä yhteys rajaukseen, jonka mukaan väliyhteisötuloa ei veroteta, jos osakkaan tai sen kanssa etuyhteydessä olevien osuus väliyhteisöstä on alle 25 prosenttia. Rajauksella väliyhteisölain vaikutukset on kohdistettu pääasiallisesti tilanteisiin, jotka kuuluvat sijoittautumisvapauden piiriin sekä vältetään tilanne, jossa esimerkiksi kansainväliseen sijoitusrahastoon sijoittanut verovelvollinen velvoitettaisiin verotusta varten hankkimaan ulkomaista yksikköä koskevia tietoja, joita piensijoittajan ei ehkä ole mahdollista saada. Nykyisen kansallisen sääntelyn nojalla väliyhteisönä on voitu pitää ulkomaista yksikköä, josta yleisesti verovelvolliset toisistaan riippumattomat tahot omistavat vähintään 50 prosenttia. Tämän väliyhteisön tuloa on kuitenkin voitu verottaa vain sellaisella osakkaalla, joka yksin tai yhdessä sen kanssa etuyhteydessä olevien tahojen kanssa omistaa väliyhteisöstä vähintään 25 prosenttia. Direktiivissä etuyhteyspiirin yhteenlaskettuun omistukseen perustuva väliyhtiötulon verottamisen edellytys sisältyy määräysvaltaa koskevaan säännökseen. Direktiivissä säädetty raja on 50 prosenttia eli korkeampi kuin kansallisen säännöksen 25 prosentin raja. Nykyinen kansallinen säännös on tältä osin direktiiviä kireämpi. 

Kansallisessa sääntelyssä olisi luontevaa asettaa sekä määräysvaltaa että verotusoikeutta koskeva kynnys samalle tasolle kuten direktiivissäkin on tehty. Jos näin ei tehtäisi, ja lakiin sisällytettäisiin esimerkiksi 50 prosentin kynnys määräysvaltaa koskevassa säännöksessä ja 25 prosentin kynnys verotusoikeutta koskevassa kynnyksessä, olisi säännös sisäisesti ristiriitainen, kun molempien kynnysten täyttymistä tarkasteltaisiin saman etuyhteyspiirin omistuksen perusteella. Nykyiseen lakiin sisältyvä 25 prosentin raja on asetettu sillä perusteella, että Euroopan unionin tuomioistuimen oikeuskäytännössä on katsottu 25 prosentin omistuksen yhtiössä antavan pääsääntöisesti mahdollisuuden käyttää selvää vaikutusvaltaa yhtiön päätöksiin ja määrätä yhtiön toiminnasta. Jos nykyiseen lakiin sisältyvää 25 prosentin verotusoikeuden rajaa nostettaisiin 50 prosenttiin, merkitsisi se nykyisen sääntelyn keventymistä, eikä tällaiselle keventämiselle ole ilmennyt tarpeita. 

Yhdistetty määräysvaltaa ja verotusvaltaa koskeva säännös vastaisi nykyistä säännöstä, jonka mukaan väliyhteisötuloa verotetaan vain, jos etuyhteydessä olevat tahot omistavat yksiköstä vähintään 25 prosenttia. Sääntely selkiintyisi, kun sovellettaisiin samaa rajaa määräysvaltaa ja verotusoikeutta tarkasteltaessa. 

Sääntely olisi nykyistä kireämpi, jos kyseessä olisi esimerkiksi ulkomainen yksikkö, josta yleisesti verovelvollinen omistaa 40 prosenttia ja muut omistajat ovat rajoitetusti verovelvollisia. Nykyisen lain mukaan kyse ei olisi väliyhteisöstä toisin kuin ehdotuksen mukaan. Sääntely johtaisi samaan lopputulokseen kuin nykyinen sääntely, jos yksikkö esimerkiksi olisi kokonaan yleisesti verovelvollisten omistuksessa ja samaan etuyhteyspiiriin kuuluvilla olisi yhteensä vähintään 25 prosentin osuus yksikössä. Nykyisen lain mukaan ulkomaisena väliyhteisönä pidetään yksikköä, josta yleisesti verovelvolliset omistavat vähintään 50 prosenttia, mutta jos omistajat eivät ole keskenään etuyhteydessä, väliyhteisötuloa ei veroteta. Sääntely ei muuttaisi tätä. 

Direktiivissä käytetään käsitettä etuyhteydessä olevat yritykset. Etuyhteydessä olevan yrityksen määritelmässä käytetään käsitettä yksikkö tai luonnollinen henkilö. Direktiivin mukaan yritys on etuyhteydessä toiseen yksikköön, jossa sillä on suoraan tai välillisesti vähintään 25 prosentin osuus äänioikeuksista tai pääomasta taikka oikeus saada vähintään 25 prosenttia kyseisen yksikön voitoista. Yritykseen on direktiivin mukaan etuyhteydessä luonnollinen henkilö tai toinen yksikkö, jolla suoraan tai välillisesti on vähintään 25 prosentin osuus verovelvollisen äänioikeuksista tai pääomasta tai oikeus saada vähintään 25 prosenttia verovelvollisen voitoista. Jos luonnollisella henkilöllä tai yksiköllä on suoraan tai välillisesti vähintään 25 prosentin osuus verovelvollisesta ja yhdestä tai useammasta yksiköstä, kaikki asianomaiset yksiköt, verovelvollinen mukaan lukien, katsotaan etuyhteydessä oleviksi yksiköiksi. Suomen verolainsäädäntöön ei sisälly direktiiviä vastaavaa etuyhteysyrityksen määritelmää, minkä vuoksi se olisi tarpeellista lisätä väliyhteisölakiin. Direktiivissä on käytetty etuyhteyden määritelmässä termiä yksikkö, jota olisi direktiivin minimiluonteesta johtuen käytettävä myös kansallisessa sääntelyssä. Samaa termiä käytetään myös määritettäessä väliyhteisölain soveltamisalaan kuuluvia ulkomaisia toimijoita. Etuyhteysmääritelmässä termillä viitataan laajasti erilaisiin toimijoihin riippumatta niiden oikeudellisesta muodosta. 

Direktiivi koskee vain yhteisöverovelvollisia, jonka vuoksi siinä ei säädetä etuyhteydestä tai intressipiiristä luonnollisten henkilöiden keskinäisissä suhteissa. Kansallisessa sääntelyssä olisi tarpeen ottaa huomioon myös luonnollisten henkilöiden keskinäinen lähipiiri, kun kansallinen sääntely koskisi myös luonnollisten henkilöiden omistamia ulkomaisia yksiköitä. Tällöin määräysvaltaa arvioitaessa otettaisiin huomioon kaikkien samaan lähipiiriin kuuluvien luonnollisten henkilöiden suora ja välillinen omistus ulkomaisessa yksikössä. Kansallinen sääntely olisi tältä osin direktiiviä kireämpi. 

3.3.3  3.3.3. Verotuksen taso

Nykyisen kansallisen sääntelyn mukaan ulkomaista yksikköä pidetään väliyhteisönä, jos sen tuloverotuksen tosiasiallinen taso yksikön asuinvaltiossa on alempi kuin 3/5 eli 60 prosenttia Suomen yhteisöverotuksen tasosta. Direktiivin mukaan verotuksen tason alaraja on 50 prosenttia kyseisen väliyhtiösäännöstä soveltavan valtion yhteisöverotuksen tasosta. Vertailu suoritetaan sekä nykyisen kansallisen säännöksen että direktiivin mukaan todellista verorasitusta kuvaavan efektiivisen verotason perusteella. Verotuksen tason vertailua koskeva nykyinen kansallinen säännös on tiukempi kuin direktiivin säännös ja se olisi mahdollista säilyttää. Direktiivissä olevaa monimutkaista säännöstä voidaan havainnollistaa seuraavalla esimerkillä: 

Jos yhteisöverotuksen tosiasiallinen taso väliyhteisösäännöstä soveltavassa valtiossa on esimerkiksi 20 ja väliyhtiön asuinvaltiossa 9, direktiivin verotuksen tasoa koskeva soveltamisedellytys täyttyy (20 - 9 = 11 > 9). Verotuksen tasoa koskeva soveltamisedellytys ei täyty, jos tosiasiallisesti maksetun veron määrä on vähintään 10 tai enemmän (20 - 10 = 10), eikä ulkomainen yhteisö tällöin ole väliyhtiö. 

Kansallisen väliyhteisölain mukaan vertailussa otetaan huomioon ulkomaisen yksikön tuloverotuksen tosiasiallinen taso yksikön asuinvaltiossa. Direktiivissä ei ole vastaavaa viittausta asuinvaltion verotasoon. Direktiivissä käytetään muussa yhteydessä käsitettä verotuksellinen kotipaikka ja väliyhtiösäännöksessä toisessa yhteydessä käsitettä ulkomaisen väliyhtiön lainkäyttöalue. Direktiivin minimiluonteesta johtuen kansallinen sääntely olisi tarkoituksenmukaista käsitteellisesti yhtenäistää direktiivin kanssa, jolloin asuinvaltion käsite voitaisiin korvata verotuksellisen kotipaikan ja lainkäyttöalueen käsitteillä. Nykyiseen sääntelyyn sisältyvällä asuinvaltion käsitteellä on tarkoitettu valtiota tai itsenäisen verotusoikeuden omaavaa aluetta, jossa yksikkö katsotaan rekisteröinnin, johtopaikan tai muun sellaisen syyn vuoksi verotuksellisesti asuvaksi. Termin muuttaminen ei merkitsisi sisällöllistä muutosta sääntelyyn. 

Direktiiviin ei sisälly edellä kappaleessa 3.3.1. mainittua kansallista säännöstä vastaavaa säännöstä ulkomaisen yksikön ulkomaisen kiinteän toimipaikan käsittelemisestä väliyhtiönä. Direktiivissä on kuitenkin erikseen säädetty, että verotuksen tasoa määritettäessä ei oteta huomioon väliyhtiön kiinteää toimipaikkaa, joka ei ole veronalainen tai joka on vapautettu verosta ulkomaisen väliyhtiön lainkäyttöalueella. Jos tällainen kiinteä toimipaikka otettaisiin huomioon ulkomaisen väliyhtiön verotuksen tasoa määritettäessä, se voisi johtaa siihen, että verotuksen taso jää alhaisemmaksi kuin se muutoin olisi. Nykyinen kansallinen säännös ei sisällä vastaavaa määräystä verotuksen tason vertailua koskevassa kohdassa. Direktiivin minimiluonteen mukaisesti säännös olisi tarpeellista sisällyttää verotuksen tason vertailua koskevaan lainkohtaan. Kansallisen sääntelyn mukaan väliyhteisösääntelyn soveltumista arvioitaisiin erikseen tällaisen kiinteän toimipaikan osalta, kuten edellä on kohdassa 3.3.1. todettu. 

Verotuksen tasoa vertailtaessa huomioon otetaan direktiivin mukaan ulkomaisen yksikön maksama yhteisövero, kun taas kansallisen sääntelyn mukaan huomioon otetaan ulkomaisen yksikön tuloverotuksen taso. Nykyistä kansallista säännöstä voidaan pitää direktiivin muotoilua parempana, koska säännöksessä otetaan huomioon se, että ulkomainen väliyhteisö voi olla oikeudelliselta muodoltaan muu kuin yhteisö. Nykyistä kansallista sääntelyä ei tarpeellista muuttaa tältä osin. 

Nykyisen kansallisen sääntelyn mukaan verotuksen tasoa vertailtaessa ei oteta huomioon väliyhteisön toiselta väliyhteisöltä saamaa osinkoa, joka on jaettu voitosta, joka on jonkin osingonjakoa välittömästi edeltävän viiden verovuoden osalta otettu Suomessa huomioon viimeksi mainitun väliyhteisön tuloverotuksen tasoa arvioitaessa. Säännöksen tarkoituksena on ehkäistä samojen tulojen huomioimista useaan kertaan moniportaisissa väliyhteisöyhtiörakenteissa. Väliyhteisön jakaessa toiselle väliyhteisölle osinkoa tulosta, joka on aikaisemmin otettu huomioon Suomen verotuksessa ja edelleen otetaan huomioon emoyhtiönä olevan väliyhteisön tulon määrää laskettaessa, sama tulo tulee kahteen kertaan huomioon otetuksi tulona, jonka perusteella määritetään, onko yksikön tuloverotuksen taso vähintään 3/5 Suomessa asuvan yhtiön verotuksen tasosta Suomessa. Direktiivi ei sisällä vastaavaa säännöstä väliyhtiön verotuksen tasoa koskevassa sääntelyssä. Direktiivin mukaan verotuksen tasoa koskevassa vertailussa käytetään verovelvollisen jäsenvaltion sääntöjä. Nykyinen kansallinen säännös ei ole ristiriidassa direktiivin verotuksen tason laskentaa koskevien määräysten kanssa eikä säännöstä olisi tarpeellista muuttaa. 

3.3.4  3.3.4. Sääntelyn malli

Nykyisen kansallisen väliyhteisösääntelyn mukaan verovelvollisen väliyhteisötulo määritetään yhtiö- tai yksikköpohjaisesti eli väliyhteisötulona verotetaan kaikkia väliyhteisön tuloja (niin sanottu entity-pohjainen sääntely). Direktiivin mukaan veronalaiset väliyhtiötulot määräytyisivät ensisijaisesti tulotyyppien perusteella, jolloin verotettavia väliyhtiötuloja olisivat vain tietyt erikseen luetellut pääasiassa passiivisluonteiset tulot. Vaihtoehtoisesti direktiivissä annetaan mahdollisuus määritellä väliyhtiötulot tarkoitusharkintaan perustuen, millä tarkoitetaan vain epäaidoista ja veroedun vuoksi toteutetuista järjestelyistä syntyneitä tuloja. Direktiivin johdantolauseessa 12 on lisäksi mainittu, että kunkin valtion prioriteeteista riippuen väliyhtiösääntely voi koskea koko kevyesti verotettua tytäryhtiötä, tiettyjä tulolajeja tai vain keinotekoisesti tytäryhtiölle ohjattua tuloa. 

Molemmat direktiivin mukaiset tavat määrittää väliyhteisötuloa tarkoittavat, että vain osa väliyhtiöksi luokiteltavan ulkomaisen yksikön tuloista luetaan osakkaan tuloksi verotuksessa. Nykyinen kansallinen sääntely, jossa kaikki väliyhteisön tulot luetaan osakkaan tuloiksi, on kireämpi kuin direktiivin sääntely. Direktiivin minimisuojaperiaatteen nojalla nykyinen kansallinen väliyhteisötulojen määrittely voidaan säilyttää. Tämä olisi myös tarkoituksenmukaista, koska nykyisen kansallisen sääntelyn keventämisen ei ole arvioitu olevan tarpeellista. 

3.4  Toteuttamisvaihtoehdot vapaaehtoisten soveltamisalaa koskevien määräysten osalta

Direktiivin vapaaehtoiset poikkeukset merkitsevät lievennyksiä direktiivin soveltamisalaan. Poikkeukset voivat kansallisesti olla perusteltuja säännöksen toimivuuden ja tarkoituksenmukaisuuden takia. Niiden avulla sääntely voidaan paremmin kohdistaa tarkoituksensa mukaisesti tilanteisiin, joissa tuloja kanavoidaan ulkomaisiin matalan verorasituksen valtiossa sijaitseviin yksiköihin. 

Nykyisessä kansallisessa väliyhteisösääntelyssä sovelletaan poikkeuksia tietyillä toimialoilla toimiviin ulkomaisiin yksiköihin maailmanlaajuisesti. Lisäksi erillisiä poikkeuksia sovelletaan EU-valtioissa ja tietyissä verosopimusvaltioissa sijaitseviin yksiköihin. Näiden poikkeusten soveltamisedellytysten täyttyessä ulkomaista yksikköä ei pidetä väliyhteisönä. 

Direktiivin sääntely huomioon ottaen nykyisen sääntelyn sallimia poikkeuksia ei kaikilta osin voida sellaisenaan säilyttää. Poikkeukset on saatettava vastaamaan vähintään direktiivin minimitasoa. Poikkeuksia olisi myös mahdollista laajentaa tai kaventaa sekä laadullisesti että määrällisesti. 

Nykyisen väliyhteisösääntelyn on edellä arvioitu toteuttavan tavoitteitaan pääosin hyvin ja oikeasuhtaisesti. Nykyistä kansallista sääntelyä ei varsinaisesti olisi tarvetta huojentaa tai kiristää, mutta tällaisia vaikutuksia voi kuitenkin syntyä, kun sääntelyä muutetaan direktiivin johdosta. 

3.4.1  3.4.1. Taloudelliseen toimintaan perustuvat poikkeamat

Nykyisessä kansallisessa väliyhteisösääntelyssä säädetään kaksi erilaista taloudelliseen toimintaan perustuvaa poikkeusta, joiden nojalla ulkomaista yksikköä ei pidetä väliyhteisönä, vaikka yleiset soveltamisedellytykset täyttyisivät. Niin sanotun toimialapoikkeaman nojalla väliyhteisönä ei pidetä yksikköä, jonka tulo kertyy pääasiallisesti yksikön asuinvaltiossaan harjoittamasta teollisesta tuotantotoiminnasta, siihen verrattavasta muusta tuotantotoiminnasta tai laivanvarustustoiminnasta taikka siellä harjoitetusta myynti- tai markkinointitoiminnasta, joka välittömästi palvelee teollista tuotantotoimintaa, siihen verrattavaa muuta tuotantotoimintaa tai laivanvarustustoimintaa harjoittavaa yksikköä ja joka suuntautuu pääasiallisesti yksikön asuinvaltion alueelle. Lisäksi väliyhteisölain soveltamisalasta on vapautettu yksikkö, jonka tulo kertyy pääasiallisesti suorituksista, joiden maksaja on yksikön asuinvaltiossa asuva ja siellä mainitunlaista toimintaa harjoittava, samaan konserniin kuuluva yksikkö. Poikkeussäännöstä voidaan soveltaa missä tahansa valtiossa sijaitsevaan ulkomaiseen yksikköön. 

Toinen taloudelliseen toimintaan perustuva poikkeus nykyisessä kansallisessa sääntelyssä koskee Euroopan talousalueeseen kuuluvissa valtioissa tai tietyissä verosopimusvaltioissa sijaitsevia ulkomaisia yksiköitä. Säännöksen mukaan väliyhteisösääntelyä ei sovelleta, jos yksikkö on todellisuudessa asettautunut asuinvaltioonsa ja tosiasiallisesti harjoittaa siellä taloudellista toimintaa. Poikkeusta voidaan soveltaa, jos yksiköllä on käytettävinään asuinvaltiossaan toimintansa harjoittamiseksi tarpeelliset toimitilat ja kalusto ja riittävä henkilökunta, joka on toimivaltainen itsenäisesti harjoittamaan yksikön liiketoimintaa. Edellytyksenä on myös, että henkilökunta tekee itsenäisesti yksikön päivittäistä toimintaa koskevat päätökset. 

Direktiiviin sisältyvä taloudelliseen toimintaan perustuva poikkeus perustuu jälkimmäiseen taloudellisen toiminnan määrittelyyn. Direktiiviin ei erikseen sisälly ensin mainittua toimialoihin perustuvaa poikkeusta. Taloudellisen toiminnan poikkeusta on direktiivin mukaan sovellettava Euroopan talousalueella sijaitseviin yksiköihin. Säännös on tältä osin pakollinen minimisäännös. Jäsenvaltio voi lisäksi soveltaa taloudellisen toiminnan poikkeusta muissa valtioissa sijaitseviin väliyhtiöihin. Taloudelliseen toimintaan perustuva poikkeus liittyy direktiivissä säädettyyn niin sanottuun transaktiopohjaiseen väliyhtiömalliin. 

Direktiivin minimisääntelystä johtuen nykyisestä kansallisesta sääntelystä on poistettava nykyinen yleinen toimialapoikkeama. Säännöksen poistaminen yksinään kiristäisi merkittävästi kansallista sääntelyä, jos jäljelle jäisi vain Euroopan talousalueen valtioissa ja tietyissä verosopimusvaltioissa sijaitseviin yksiköihin sovellettava taloudellisen toiminnan poikkeus. Tällöin esimerkiksi suomalaisten monikansallisten konsernien Euroopan talousalueen ulkopuolisista tytäryhtiöistä voisi tulla väliyhteisöjä, vaikka nämä harjoittaisivat tuotantotoimintaa. Tämän vuoksi olisi tarkoituksenmukaista ulottaa direktiiviin perustuvan taloudellisen toiminnan poikkeus myös muissa valtioissa sijaitseviin yksiköihin. 

Direktiivi ei salli sitä, että Euroopan talousalueen valtioissa sijaitseviin yksiköihin sovellettaisiin tiukempaa taloudellisen toiminnan poikkeamaa kuin direktiiviin on kirjattu. Euroopan talousalueen ulkopuolisten valtioiden osalta säännös on optio ja tiukempi kansallinen sääntely on mahdollinen. Euroopan talousalueen ulkopuolisissa valtioissa sijaitsevien yksiköiden osalta poikkeuksen soveltamisen edellytykseksi olisi veropohjan turvaamiseen liittyvistä syistä perusteltua lisätä edellä kuvatun nykyisen toimialapoikkeuksen kaltainen ulkomaisen yksikön toimintaan perustuva soveltamiskriteeri. Tällä voitaisiin turvata väliyhteisösääntelyn soveltaminen nykyiseen tapaan esimerkiksi verovapaisiin tai erittäin kevyesti verotettuihin sijoitusyhtiöihin. Ilman tällaista rajausta ja yhdistettynä jäljempänä esitettyyn ratkaisuun, joka koskee nykyiseen säännökseen sisältyvää verosopimusvaltioiden niin sanotun harmaan listan poistamista, väliyhteisösääntelyn soveltamisala jäisi tarpeettoman kapeaksi. 

Nykyinen toimialapoikkeus sisältää vaatimuksen siitä, että ulkomaisen yhteisön tulot ovat pääasiallisesti kertyneet sen asuinvaltiossaan harjoittamasta tietynlaisesta toiminnasta. Lain mukaan toiminnan tulee olla teollista tuotantotoimintaa, siihen verrattavaa muuta tuotantotoimintaa tai laivanvarustustoimintaa. Poikkeusta on lisäksi sovellettu myynti- tai markkinointitoimintaan, joka välittömästi palvelee edellä mainittuja toimintoja harjoittavaa yhteisöä ja joka suuntautuu pääasiallisesti yhteisön asuinvaltion alueelle. Poikkeusta on sovellettu myös silloin, kun ulkomaisen yhteisön tulo on muodostunut pääasiallisesti suorituksista samaan konserniin kuuluvalta yhteisöltä, joka asuu samassa valtiossa ja harjoittaa siellä edellä mainittua toimintaa. 

Toimialapoikkeukseen sisältyvä teollisen tuotantotoiminnan käsite on oikeuskäytännössä saanut laajan tulkinnan, mikä on otettu huomioon myös lain sanamuotoa muutettaessa. Lain muutosta koskevien esitöiden (HE 149/1998 vp) mukaan teolliseen tuotantotoimintaan verrattavalla muulla tuotantotoiminnalla tarkoitetaan kaivostoimintaa, huolto- ja korjaustoimintaa sekä rakennustuotantoa ja energiatuotantoa. Poikkeus on lisäksi ulotettu koskemaan myyntiä ja markkinointia, joka palvelee näitä toimintoja. 

Esitysluonnoksesta saaduissa lausunnoissa oli kiinnitetty huomiota siihen, että esityksessä tulisi käsitellä sitä, millä tavalla toimialaan liittyvää tuotantotoiminnan kriteeriä voidaan soveltaa palveluihin perustuvassa toiminnassa. Väliyhteisölain toimialapoikkeuksen soveltaminen on ollut esillä myös uudemmissa KHO:n ratkaisuissa, joissa on arvioitu säännöksen soveltumista nykyaikaisiin konsernirakenteisiin ja palvelutoimintoihin. 

KHO:n päätöksessä 2012:114 suomalaisen osakeyhtiön omistamaa sveitsiläistä yhtiötä pidettiin väliyhteisönä, koska toimialapoikkeusta ei voitu soveltaa. Sveitsiläiseen yhtiöön oli keskitetty muun muassa eräiden konsernin kehittämien brändien omistus, aineettoman omaisuuden hallinnointi ja omistus, tuotekehitys sekä myynnin ja markkinoinnin johtaminen. Yhtiö hankki valmistuspalvelut sopimusvalmistajina toimivilta erillisiltä tuotantoyhtiöiltä. Tuotteiden myynti tapahtui erillisten myyntiyhtiöiden kautta. KHO:n vuosikirjapäätöksessä 2014:198 suomalaisen yhtiön omistamaa malesialaista yhtiötä ei pidetty väliyhteisönä, koska yhtiön toiminnan katsottiin täyttävän toimialapoikkeuksen edellytykset. Emoyhtiön ja malesialaisen tytäryhtiön toiminta käsitti globaalia teknistä tukea informaatioteknologian alalla, virustentorjuntatietokantojen päivityspalvelua sekä virustentorjuntaohjelmistojen tuotekehitystä ja suunnittelua. Päätös perustui kokonaisarviointiin, jossa otettiin huomion tytäryhtiön toiminnan aktiivisuus ja se, että sitä voitiin pitää osana suomalaisen yhtiön kokonaisuutta. 

Taloudellisen toiminnan poikkeukseen liitettävä toimialaa koskeva edellytys olisi tarkoituksenmukaista säilyttää pitkälti nykyisessä muodossaan. Toimialaa koskevan säännöksen taustalla olevat periaatteet ovat päteviä myös nykyaikana. Säännös perustuu siihen, että sijoittautumisella saavutettavat veroedut harvoin ensisijaisesti määräävät tuotantotoiminnan kaltaisen toiminnan sijoittumista. Monilla aloilla tuotantotoiminnasta kertyvät tulot eivät myöskään ole niin sanottuja mobiileja tuloja, jotka voidaan helposti siirtää valtiosta toiseen ja erilleen esimerkiksi niiden tuottamiseen liittyvistä kustannuksista. Veron kiertämisen estämistä koskevassa direktiivissä väliyhtiösääntelyn kohteena oleviksi tuloiksi on katsottu korot tai muut rahoitusvaroista saatavat tulot, rojaltit tai muut teollis- ja tekijänoikeuksista saatavat tulot, osingot ja osakkeiden luovutuksesta saatavat tulot, rahoitusleasingistä saatavat tulot, vakuutuksista sekä pankkitoiminnasta ja muusta rahoitustoiminnasta saatavat tulot ja tulot laskutusyrityksiltä. 

Vaikka toimialakriteeriä käytettäisiin pääosin nykymuodossaan osana taloudellisen toiminnan poikkeusta, olisi säännöstä perusteltua muuttaa vastaamaan paremmin nykyaikaisia liiketoiminnan aloja. Samalla tulisi kuitenkin säilyttää toimialakriteerin tehokkuus ja sen taustalla oleva ajattelu. 

Liiketoiminta voi nykyisin monissa tapauksissa koostua myös erilaisten aineettomien hyödykkeiden tai palveluiden tuottamisesta. Kyse on käsitteellisesti eri asiasta kuin säännöksessä nykyisin mainittu teollinen tuotantotoiminta tai siihen verrattava tuotantotoiminta. Kuitenkin näissäkin liiketoiminnan harjoittamisen perusoletukset ovat lähtökohtaisesti samanlaisia kuin teollisessa tuotantotoiminnassa. Tällaista liiketoimintaa on esimerkiksi informaatioteknologia-alan liiketoiminta, jossa kehitetään ja tuotetaan erilaisia digitaalisia ratkaisuja, esimerkiksi sähköisiä hyöty- tai viihdepalveluja kuluttajille. Toimialakriteeriä sovellettaessa myös tämänkaltaista tuotanto- ja palvelutoimintaa tulisi voida pitää teolliseen tuotantotoimintaan verrattavana ja sitä tulisi jatkossa voida käsitellä samoin kuin teollista tuotantotoimintaa. Tällaisena liiketoimintana ei sen sijaan edelleenkään pidettäisi esimerkiksi toimintaa, jota arvioitiin edellä mainitussa KHO:n päätöksessä 2012:114. Säännöksen tarkoituksenmukaisuus edellyttäisi myös, ettei teolliseen tuotantotoimintaan verrattavana palvelutoimintana pidettäisi konsernin sisäisten palvelujen tuottamiseen keskittynyttä toimintaa, kun kyse on aineettoman omaisuuden omistamisesta ja siihen perustuvien oikeuksien luovuttamisesta tai rahoitus- ja vakuutustoiminnasta. Lisäksi sijoitustoimintaan keskittyvä palvelutoiminta ei aina ole verrattavissa teolliseen tuotantotoimintaan. Näin on erityisesti silloin, kun väliyhteisöä käytetään välillisessä sijoittamisessa ja sen toiminnassa on kyse henkilön sijoitusten hallinnasta tai hoitamisesta. 

Nykyisen lain toimialapoikkeukseen liittyy myynti- ja markkinointitoiminnan osalta lisäedellytys, joka koskee toiminnan suuntautumista asuinvaltion alueelle. Tämä lisäedellytys olisi tarkoituksenmukaista poistaa laista. Tuotantotoimintaa palveleva myynti- ja markkinointitoiminta tapahtuu konserneissa tavallisesti alueellisten yhtiöiden kautta ja suuntautuu alueellisesti, koska jokaiseen valtioon ei ole tarpeellista perustaa omaa yhtiötä. 

Euroopan unionin yhteistyöhaluttomia lainkäyttöalueita koskeva luettelo 

Euroopan unionin neuvosto asetti toukokuussa 2016 tavoitteekseen konkreettisesti edistää verotuksen läpinäkyvyyttä ja veron välttämisen ehkäisemiseen liittyviä toimenpiteitä maailmanlaajuisesti. Tarkoituksena oli myös suojata jäsenvaltioiden veropohjia maailmanlaajuiselta verokilpailulta. Tavoitteen toteuttamiseksi unioni on yhteistyössä OECD:n kanssa pyrkinyt vaikuttamaan siten, että eräiden lainkäyttöalueiden verolainsäädännössä toteutettaisiin verotuksen läpinäkyvyyttä lisääviä muutoksia ja poistettaisiin veron välttämisen mahdollisuuksia ja nykyisiä sääntelyaukkoja. Unionissa työtä on tehty neuvoston alla toimivassa yritysverotuksen käytännesääntötyöryhmässä (Code of Conduct Group Business Taxation). Neuvosto hyväksyi hankkeen vaiheistuksen ja verosäännösten arvioinnin kriteerit päätelmiensä liitteenä 8 marraskuuta 2016 (14166/16 FISC 187 ECOFIN 1014). Kriteerien ajantasaisuutta on tarkoitus jatkossa vielä seurata ja ottaa huomioon myös kansainvälinen kehitys. 

Hankkeen työn tuloksena syntyi luettelo veroasioissa yhteistyöhaluttomista lainkäyttöalueista (The EU list of non-cooperative jurisdictions for tax purposes), jonka neuvosto hyväksyi 5 joulukuuta 2017 päätelmiensä liitteenä (15429/17 FISC 345 ECOFIN 1088). Tarkoituksena on luettelon ja siinä oleviin lainkäyttöalueisiin kohdistuvien vastatoimien kautta ilmaista vahva pyrkimys edellä mainittujen tavoitteiden toteuttamiseen ja rohkaista lainkäyttöalueita toteuttamaan tarpeellisia muutoksia. Neuvosto on katsonut, että jäsenvaltiot voisivat kohdistaa luettelossa mainittuihin lainkäyttöalueisiin vastatoimia sekä verotuksessa että muulla alalla. Verotuksen alan vastatoimina on mainittu hallinnollisten toimien lisäksi muun muassa menojen säätäminen vähennyskelvottomiksi, väliyhteisösääntely ja lähdeverotus. 

Yhteistyöhaluttomien lainkäyttöalueiden luettelo sisältää lainkäyttöalueet, jotka eivät ilmaisseet sitoutuvansa muutoksiin, joilla lisättäisiin läpinäkyvyyttä ja estettäisiin veron välttämisen mahdollisuuksia. Neuvoston päätelmien mukaan lainkäyttöalue voidaan poistaa luettelosta, jos se myöhemmin sitoutuu tarvittaviin muutoksiin. Lainkäyttöalueita voidaan poistaa luettelosta neuvoston päätöksellä juoksevasti useita kertoja vuodessa sopivassa neuvoston kokouksessa. Tammikuussa 2018 siitä poistettiin kahdeksan lainkäyttöaluetta, maaliskuussa 2018 kolme ja toukokuussa 2018 kaksi (5086/18 FISC 9 ECOFIN 7, 6777/18 COR 2 FISC 95 ECOFIN 202, 8304/1/18 REV 1 LIMITE FISC 178 ECOFIN 356). Esitystä valmisteltaessa luettelossa ovat seuraavat lainkäyttöalueet: Amerikan Samoa, Guam, Namibia, Samoa, Trinidad ja Tobago sekä Yhdysvaltain Neitsytsaaret. Neuvosto julkaisee tiedot luettelossa olevista lainkäyttöalueista internet-sivuillaan osoitteessa http://www.consilium.europa.eu/en/policies/eu-list-of-non-cooperative-jurisdictions/. 

Yhteistyöhaluttomien lainkäyttöalueiden luettelon yhteydessä neuvostossa hyväksyttiin 5 joulukuuta 2017 lisäksi erillinen asiakirja, jossa mainitaan lainkäyttöalueet, jotka ilmaisivat sitoutuvansa muutoksiin. Muutosten toteuttamiseksi näiden lainkäyttöalueiden tulee ryhtyä toimenpiteisiin pääsääntöisesti vuoden 2018 loppuun mennessä; osalla aikaa on vuoden 2019 loppuun saakka. Unioni seuraa muutosten toteuttamista ja vuoden 2019 aikana neuvosto tekee päätöksiä lainkäyttöalueiden lisäämisestä yhteistyöhaluttomien lainkäyttöalueiden luetteloon. Seuranta toteutetaan yritysverotuksen käytännesääntötyöryhmän hyväksymän ohjeistuksen (6213/18 FISC 67 ECOFIN 118) mukaisesti. Asiakirjaa on sittemmin täydennetty lisäämällä siihen lainkäyttöalueita, jotka ovat antaneet sitoumuksia myöhemmin. Esitystä valmisteltaessa sitoumuksia olivat antaneet seuraavat lainkäyttöalueet: Albania, Andorra, Anguilla, Antigua ja Barbuda, Arabiemiirikunnat, Armenia, Aruba, Bahamasaaret, Bahrain, Belize, Bermuda, Bosnia-Hertsegovina, Brittiläiset Neitsytsaaret, Caymansaaret, Cooksaaret, Curaçao, Dominica, Entinen Jugoslavian tasavalta Makedonia, Fidzi, Färsaaret, Grenada, Grönlanti, Guernsey, Hongkongin erityishallintoalue, Jamaika, Jersey, Jordania, Kap Verde, Labuanin saari, Liechtenstein, Macaon erityishallintoalue, Malediivit, Malesia, Mansaari, Marokko, Marshallinsaaret, Mauritius, Montenegro, Nauru, Niue, Oman, Palau, Panama, Peru, Qatar, Saint Kitts ja Nevis, Saint Lucia, Saint Vincent ja Grenadiinit, San Marino, Serbia, Seychellit, Swazimaa, Sveitsi, Taiwan, Thaimaa, Tunisia, Turkki, Turks- ja Caicossaaret, Uruguay, Uusi-Kaledonia, Vanuatu ja Vietnam. On mahdollista, että jotkut tässä asiakirjassa mainituista lainkäyttöalueista lisätään myöhemmin yhteistyöhaluttomien lainkäyttöalueiden luetteloon, jos muutoksia koskeva sitoumus laiminlyödään. 

Direktiivin väliyhtiösäännöksessä ei ole voitu ottaa huomioon yhteistyöhaluttomien valtioiden luetteloa, koska se on syntynyt vasta direktiivin antamisen jälkeen. Väliyhteisösäännöksen tarkoitus ja tavoite huomioon ottaen yhteistyöhaluttomien lainkäyttöalueiden luettelolle olisi perusteltua antaa merkitystä säännöksessä. Väliyhteisösääntely on nähty yhtenä verolainsäädännössä toteutettavana vastatoimena, joka voitaisiin kohdistaa luettelossa mainittuihin lainkäyttöalueisiin. 

Vaikka taloudelliseen toimintaan perustuvan poikkeuksen soveltamisalaa olisi edellä kuvatuin tavoin perusteltua laajentaa, olisi soveltamisalaa kuitenkin aiheellista rajata tiettyjen kolmansien valtioiden harjoittaman veropolitiikan perusteella. Väliyhteisösääntelyä olisi perusteltua soveltaa yksiköihin, jotka asuvat lainkäyttöalueilla, jotka on luokiteltu neuvoston hyväksymissä päätelmissä veroasioissa yhteistyöhaluttomaksi lainkäyttöalueeksi. Jos ulkomainen yksikkö sijaitsee tässä luettelossa mainitulla lainkäyttöalueella, väliyhteisösääntely soveltuisi siihen yleisten verotasoa ja määräysvaltaa koskevien edellytysten nojalla eikä väliyhteisölaissa säädettyjä poikkeuksia voitaisi soveltaa. Käytännössä tämä tarkoittaisi sitä, ettei taloudelliseen toimintaan perustuvaa poikkeusta sovellettaisi tällaiseen ulkomaiseen yksikköön. 

Tietojenvaihtoa koskeva soveltamisedellytys 

Nykyisessä kansallisessa sääntelyssä Euroopan talousalueen valtioihin ja tiettyihin verosopimusvaltioihin sovelletun taloudellisen toiminnan poikkeukseen liittyy myös verotusta koskevaan tietojenvaihtoon perustuva lisäedellytys. Poikkeusta voidaan soveltaa vain, jos Suomen ja ulkomaisen yksikön sijaintivaltion välillä on sovittu riittävästä verotietojenvaihdosta. Säännöksen mukaan riittävän tietojenvaihdon katsotaan olevan olemassa, jos virka-apudirektiivi koskee kyseistä valtiota. Tietojenvaihtoa koskeva edellytys toteutuu myös silloin, kun kyseisen valtion kanssa on sovittu viranomaisten välisestä tietojenvaihdosta veroasioissa, joka yhdessä sopimusvaltioiden sisäisen lainsäädännön kanssa mahdollistaa väliyhteisölain soveltamisen kannalta riittävän tietojenvaihdon. Säännöksen tarkoituksena on, että Suomen veroviranomaisilla olisi tosiasiallinen mahdollisuus saada väliyhteisölain soveltamisen kannalta olennaisia tietoja väliyhteisön asuinvaltion veroviranomaisilta sekä tarkistaa verovelvollisen sille antamia tietoja. 

Direktiivissä ei ole säädetty taloudellista toimintaa koskevan poikkeuksen edellytykseksi verotietojenvaihtoa. Direktiivin mukaan taloudellista toimintaa koskevasta poikkeuksesta on säädettävä pakollisena Euroopan talousalueen valtioissa sijaitsevien yksiköiden osalta. 

Kansallisessa sääntelyssä taloudellista toimintaa koskevaan poikkeukseen olisi perusteltua edelleen yhdistää tietojenvaihtoa koskeva edellytys siltä osin kuin säännöstä sovelletaan Euroopan talousalueen ulkopuolisiin valtioihin. Euroopan talousalueen valtioissa sijaitsevien yksiköiden osalta tietojenvaihtoa koskevaa edellytystä ei ole tarpeellista, eikä direktiivin vuoksi mahdollistakaan, säätää. Nämä valtiot ovat nykyisin tietojenvaihdon piirissä joko Euroopan neuvoston ja OECD:n laatiman veroasioissa annettavaa keskinäistä virka-apua koskevan yleissopimuksen (SopS 21/1995 ja SopS 40/2011, yleissopimus) tai virka-apudirektiivin perusteella. Tietojenvaihtoa koskeva edellytys koskisi vain Euroopan talousalueen ulkopuolisia valtioita. 

Väliyhteisölain soveltamisen kannalta riittävä tietojenvaihto voi toteutua tilanteissa, joissa Verohallinnolla on mahdollisuus saada pyytämiänsä tietoja ulkomaisen väliyhteisön lainkäyttöalueelta. Väliyhteisölain soveltamisen kannalta automaattisen tietojenvaihdon piiriin kuuluva tietomassojen vaihto ei ole riittävää. Tietojenvaihtoa koskeva soveltamisedellytys täyttyisi vain silloin, kun ulkomaisen väliyhteisön lainkäyttöalueen kanssa on sovittu vähintään pyynnöstä tapahtuvasta tietojenvaihdosta, jonka nojalla on tosiasiallisesti mahdollista saada yksittäistä tilannetta koskevia tietoja ja jos sopimusta sovelletaan. 

Pyynnöstä tapahtuvasta tietojenvaihdosta on sovittu virka-apudirektiivin ja yleissopimuksen lisäksi myös kaksinkertaisen verotuksen välttämiseksi tehdyissä sopimuksissa sekä tietojenvaihtoa veroasioissa koskevissa sopimuksissa (Tax Information Exchange Agreements, TIEAs). Riittävä mahdollisuus tietojenvaihtoon edellyttäisi ensinnäkin, että joku mainituista sopimuksista olisi voimassa Suomen ja ulkomaisen väliyhteisön lainkäyttöalueen välillä. Sopimuksen voimassaolo ei kuitenkaan takaa sitä, että väliyhteisölain kannalta riittävä tietojenvaihto kaikkien lainkäyttöalueiden kanssa tosiasiassa toteutuisi. Lisäksi esimerkiksi vanhemmissa, ennen vuotta 2005 tehdyissä verosopimuksissa, tietojenvaihtoa koskeva artikla voi olla rajatumpi. Joissakin valtioissa voi myös olla kansallista lainsäädäntöä, joka rajaa tietojenvaihtoa. Näistä syistä laissa tulisi lisäksi edellyttää, että väliyhteisölainsäädännön kannalta riittävä tietojenvaihto on mahdollista ja että Suomen viranomaisilla on tosiasiassa mahdollisuus saada pyytämänsä tiedot lainkäyttöalueelta. Tosiasiallista mahdollisuutta saada tietoja ei ole, jos lainkäyttöalue ei esimerkiksi täytä kansainvälisen tietojenvaihdon vaatimuksia. Käytännössä verovelvollinen voisi saada tiedon tietojenvaihdon toteutumisesta vain Verohallinnolta. Tämän vuoksi olisi tarkoituksenmukaista, että Verohallinto osana lain soveltamista koskevaa ohjeistustaan ylläpitäisi luetteloa lainkäyttöalueista, joiden osalta säännöksessä tarkoitettu tietojenvaihtoa koskeva edellytys täyttyy. 

Taloudellisen toiminnan sisältö 

Direktiivissä ei ole määritelty taloudellisen toiminnan sisältöä. Direktiivin mukaan kyse on tosiasiallisesta toiminnasta, johon liittyy henkilöstöä, laitteita, varoja ja tiloja. Säännös liittyy unionin perusvapauksien, lähinnä sijoittautumisvapauden, suojaamiseen ja pyrkii ottamaan huomioon Euroopan unionin tuomioistuimen tuomioissaan, erityisesti asiassa C-196/04 (Cadbury Schweppes), tekemät linjaukset. 

Nykyisessä kansallisessa sääntelyssä taloudellinen toiminta on määritelty direktiiviä tarkemmin. Säännöksessä edellytetään yhteyttä toiminnan ja sen harjoittamiseksi tarpeellisten tilojen, kaluston ja henkilöstön välillä. Lisäksi edellytetään, että henkilökunta tekee itsenäisesti yksikön päivittäistä toimintaa koskevia päätöksiä. Toisaalta nykyisessä kansallisessa sääntelyssä ei nimenomaisesti mainita toimintaan liittyviä varoja. 

Myös kansallinen säännös perustuu edellä mainittuun Euroopan unionin tuomioistuimen linjaamiin objektiivisiin ja ulkopuolisten tarkastettavissa oleviin tosiasiallisen toiminnan kriteereihin. Kansallisessa säännöksessä asia on tarkoituksenmukaista säätää direktiiviä tarkemmin käytännössä ilmenevien tulkintatilanteiden vähentämiseksi. Säännös olisi mahdollista säilyttää nykyisellään siten, että siihen lisätään varoja koskeva maininta. Vastaavasti kuin muualla ehdotetussa sääntelyssä asuinvaltion käsite olisi perusteltua korvata verotuksellisen kotipaikan lainkäyttöalueen käsitteellä. 

3.4.2  3.4.2. EU- ja verosopimusvaltioiden poikkeukset

Nykyisessä kansallisessa sääntelyssä on erikseen säädetty EU-valtioissa asuvien yhteisöjen osalta poikkeus väliyhteisösääntelyn pääsäännöstä. Lisäksi on säädetty unionin ulkopuolisten verosopimusvaltioiden osalta verotasoon perustuva poikkeus väliyhteisösääntelyn pääsäännöstä. Poikkeusten soveltuessa ulkomaista yksikköä ei pidetä väliyhteisönä. Poikkeusten soveltaminen edellyttää, että yksikköä pidetään verosopimuksen mukaan kyseisessä valtiossa asuvana ja sopimusta sovelletaan yksikön saamaan tuloon. Lisäksi edellytetään, ettei ulkomainen yhteisö ole saanut hyötyä kyseisen valtion erityisestä veronhuojennuslainsäädännöstä. 

EU:n ulkopuolisten verosopimusvaltioiden osalta poikkeusta ei sovelleta, jos väliyhteisö sijaitsee valtiossa, jossa yksiköt ovat velvollisia suorittamaan valtiolle tulostaan veroa, jonka tosiasiallinen yhteismäärä on keskimääräisesti pienempi kuin 3/4 yksiköiden Suomessa tulostaan tosiasiallisesti suorittaman veron määrästä. Tällaiset valtiot on listattu valtiovarainministeriön asetuksella annettavassa listassa. Jos ulkomainen yksikkö sijaitsee verosopimusvaltiossa, jota ei ole mainittu listassa, se jää väliyhteisölain soveltamisalan ulkopuolelle, jos se ei ole saanut hyötyä kyseisen valtion erityisestä veronhuojennuslainsäädännöstä. Listan tarkoituksena on vähentää väliyhteisösääntelyn soveltamiseen liittyvää hallinnollista taakkaa. EU-valtioissa sijaitsevien yhteisöjen osalta ei ole asetettu erityistä verotasokriteeriä, mikä tarkoittaa, että verotuksen tason katsotaan olevan riittävä. Kuitenkin myös EU-valtioissa sijaitsevien yhtiöiden osalta on edellytetty, etteivät ne ole saaneet hyötyä erityisestä veronhuojennuksesta. Erityistä veronhuojennusta koskevan säännöksen tarkoituksena on turvata väliyhteisösääntelyn soveltuminen silloin, kun EU-valtiossa tai verosopimusvaltiossa sijaitseva yksikkö voisi poikkeuksen mukaan jäädä väliyhteisösääntelyn ulkopuolelle, vaikka sen verotaso on jäänyt poikkeusäännösten perusteena olevaa yleistä verotasoa alemmaksi erityisen veronhuojennuksen vuoksi. 

Erityisillä veronhuojennuksilla tarkoitetaan laissa etuja, jotka eivät ole yhtäläisin perustein kaikkien yksikön asuinvaltion alueella toimivien yritysten saatavilla. Kyse on valtion yleisen verojärjestelmän perus- tai pääperiaatteista poikkeavasta verotuksesta. Erityisenä veronhuojennuksena ei ole pidetty valtion yleiseen verojärjestelmään sisältyviä, kaikkia verovelvollisia koskevia säännöksiä, kuten myyntivoittoja koskevia yleisiä veronhuojennuksia. Erityisiä veronhuojennuksia ovat yleensä alueelliset tiettyjä yrityksiä suosivat huojennukset, alakohtaiset huojennukset tai harkinnanvaraiset hallinnolliset menettelyt. Esimerkiksi erityissäännökset rahoitusyhtiöiden, koordinaatiokeskusten tai vastaavien rajattujen yritysryhmien veronhuojennuksista ovat säännöksessä tarkoitettuja erityisiä veronhuojennuksia. 

Direktiivissä ei ole säädetty EU-valtioiden eikä verosopimusvaltioiden osalta vastaavia poikkeuksia. Direktiivin johdantolauseessa 12 todetaan kuitenkin, että jäsenvaltiot voivat hallinnollisen taakan välttämiseksi käyttää valkoisia, harmaita tai mustia listoja. Niiden tulee olla laadittu direktiivin minimisääntelyä noudattaen ja ne voivat koskea Euroopan talousalueen ulkopuolisia valtioita. 

Nykyisen väliyhteisösääntelyn erityiset EU-valtioissa ja tietyissä muissa verosopimusvaltioissa sijaitsevia yhteisöjä koskevat poikkeukset ovat osaltaan keventäneet monimutkaisen sääntelyn soveltamiseen liittyvää hallinnollista taakkaa. Toisaalta jaottelu on aiheuttanut verotuksen ulkopuolisia negatiivisia heijastusvaikutuksia maiden välisiin suhteisiin, minkä lisäksi ajantasaisen harmaan listan ylläpitäminen on osoittautunut hyvin raskaaksi. Tästä syystä valtioiden ja lainkäyttöalueiden jaottelusta laissa ja asetuksessa olisi perusteltua luopua. Sääntelystä poistuisi tällöin myös erityistä veronhuojennusta koskeva säännös, joka on olennainen osa poikkeusta. Jaottelusta luopuminen tarkoittaisi sääntelyn kiristymistä, kun EU-valtioissa ja harmaan listan ulkopuolisissa verosopimusvaltioissa asuvien yksiköiden osalta sovellettaisiin jatkossa vain taloudelliseen toimintaan perustuvaa huojennusta. EU-valtioiden ja listan ulkopuolisissa valtioissa sijaitsevien ulkomaisten yksiköiden taloudellisella toiminnalla ei ole nykyisin merkitystä, jos ne eivät ole saaneet erityistä veronhuojennusta. 

3.4.3  3.4.3. Direktiivin malleihin liittyvät suhteelliset ja euromääräiset poikkeukset

Direktiivissä säädettyyn niin sanottuun transaktiopohjaiseen väliyhtiömalliin liittyy kaksi vapaaehtoista poikkeusta, jotka perustuvat passiivisten tulojen osuuteen ulkomaisen yksikön tulojen määrästä. Edellä kuvatun taloudellista toimintaa koskevan poikkeuksen tavoin myös nämä poikkeukset pyrkivät siihen, että väliyhteisösääntely kohdistuisi ensisijaisesti yksiköihin, joiden tulot eivät synny aktiivisesta taloudellisesta toiminnasta. Näitä poikkeuksia voidaan soveltaa edellä mainitun taloudellisen toiminnan poikkeuksen lisäksi. Poikkeusten edellytysten täyttyessä ulkomaista yksikköä ei pidetä väliyhteisönä, vaikka yleiset edellytykset täyttyisivät. 

Niin sanotussa transaktiomallissa ulkomainen yksikkö voidaan jättää väliyhteisösääntelyn ulkopuolelle, jos enintään kolmannes sille kertyvistä tuloista on direktiivissä lueteltuja passiivisia tuloja. Lisäksi rahoitusalan yritys voidaan jättää väliyhteisösääntelyn ulkopuolelle, jos enintään kolmannes sille kertyvistä direktiivissä tarkoitetuista passiivisista tuloista on peräisin liiketoimista verovelvollisen tai siihen etuyhteydessä olevien yritysten kanssa. 

Direktiivissä säädettyyn niin sanottuun keinotekoisten järjestelyjen malliin liittyy myös kaksi vapaaehtoista poikkeusta, jotka perustuvat ulkomaisen yksikön toiminnan volyymiin. Nämä poikkeukset pyrkivät siihen, että väliyhteisösääntely kohdistuisi ensisijaisesti yksiköihin, joissa euromääräiset veron välttämiseen liittyvät riskit voivat olla suurempia. Poikkeusten edellytysten täyttyessä ulkomaista yksikköä ei pidetä väliyhteisönä, vaikka yleiset edellytykset täyttyisivät. 

Niin sanotussa keinotekoisten järjestelyjen mallissa ulkomainen yksikkö voidaan jättää väliyhteisösääntelyn ulkopuolelle, jos sen kirjanpidollinen voitto on enintään 750 000 euroa ja muut tuotot enintään 75 000 euroa tai kirjanpidollinen voitto enintään kymmenen prosenttia sen toimintakustannuksista verokaudella. Jälkimmäisen vaihtoehdon soveltamisen edellytyksenä on, että toimintakustannukset eivät sisällä niiden tavaroiden kustannuksia, jotka on myyty sen maan ulkopuolelle, jossa on yksikön verotuksellinen kotipaikka tai jossa kiinteä toimipaikka sijaitsee, eivätkä maksuja etuyhteydessä oleville yrityksille. 

Edellä on käsitelty väliyhteisösääntelyn mallin valintaa. Tarkoituksenmukaisena on pidetty nykyiseen kansalliseen sääntelyyn sisältyvää yksikköpohjaista mallia ja nykyiseen kansalliseen sääntelyyn sisältyvän taloudellisen toiminnan poikkeuksen säilyttämistä osittain myös jatkossa. Tähän malliin olisi mahdollista vielä yhdistää direktiivin mahdollistamista muista poikkeuksista edellä kuvatut transaktiomalliin liittyvät suhteelliset poikkeamat. Tämä merkitsisi väliyhteisösääntelyyn liittyvän hallinnollisen työn lisääntymistä. Tämäntyyppisiin de minimis -huojennuksiin olisi myös tarpeellista liittää erityisiä huojennusten väärinkäytön ehkäisemiseen liittyviä säännöksiä, mikä edelleen lisäisi hallinnollista taakkaa. Näiden poikkeusten säätämistä kattavan taloudellisen toiminnan poikkeuksen lisäksi ei pidetä tarpeellisena. Keinotekoisiin järjestelyihin perustuvaan malliin sisältyvät vapaaehtoiset poikkeukset liittyvät tämän mallin toteutukseen, mistä johtuen näiden poikkeusten säätämistä ei Suomessa ei pidetä aiheellisena. 

3.5  Toteuttamisvaihtoehdot väliyhteisötulon verotuksessa

Väliyhteisötulon verotusta koskeva direktiivin sääntely on yhtä poikkeusta lukuun ottamatta pakollista minimisääntelyä. Vapaaehtoinen optio koskee väliyhteisön tappion huomioon ottamista. Suomen nykyinen väliyhteisötulon verottamista koskeva sääntely vastaa pääosin direktiiviin sisältyvää sääntelyä. Nykyisestä sääntelystä puuttuu muutama yksityiskohta, jotka direktiivin minimiluonteen vuoksi on tarpeellista sisällyttää sääntelyyn. 

3.5.1  3.5.1. Verotettavan väliyhteisötulon määrittäminen

Sekä kansallisen sääntelyn että direktiivin mukaan verotettavan väliyhteisötulon määrä lasketaan osakkaan verotuksellisen sijaintivaltion verolakien mukaan. Suomessa väliyhteisötulon verotuksessa noudatetaan soveltuvin osin elinkeinoverolain, tuloverolain tai maatilatalouden tuloverolain (543/1967) säännöksiä. Valittava verolaki määräytyy sen perusteella, mihin tulolähteeseen väliyhteisötulo verovelvollisen verotuksessa kuuluu. Verotettava väliyhteisötulo luetaan sen tulolähteen tuloksi, johon osuus väliyhteisöstä kuuluu osakkaan verotuksessa. Väliyhteisötulo säilyttää osakkaan verotuksessa alkuperäisen tulolajinsa. 

Direktiivi koskee kokonaisuudessaan vain yhteisöverovelvollisia ja sen vuoksi myös verotettava väliyhtiötulo lasketaan direktiivin mukaan osakkaan sijaintivaltion yhteisöverolainsäädännön mukaisesti. Suomessa väliyhteisösääntelyn soveltamisala on edellä kuvatuin tavoin laajempi ja ulottuu myös muihin kuin yhteisöverovelvollisiin. Verotettava väliyhteisötulo lasketaan tästä johtuen soveltuvan verolain mukaan. Nykyisen kansallisen sääntelyn ollessa tiukempi kuin direktiivi sitä ei ole tarpeellista muuttaa. Kansalliseen sääntelyyn olisi kuitenkin tarpeellista lisätä maininta siitä, että väliyhteisötulo verotetaan osakkaan tulona sinä verovuonna, jona väliyhteisön verovuosi päättyy. Tämä vastaa verotuksessa nykyisin jo noudatettua menettelyä. 

Sekä nykyisen kansallisen sääntelyn että direktiivin mukaan osakkaan osuus väliyhteisötulosta määräytyy sen perusteella, mikä on osakkaan osuus väliyhteisöstä. Nykyisessä kansallisessa sääntelyssä on lisäksi rajoitettu väliyhteisötulon verotusta osakkaan verotuksessa siten, että väliyhteisötulo on osakkaalle veronalaista vain silloin, kun verovelvollinen yksin tai yhdessä samaan etupiiriin kuuluvien kanssa omistaa vähintään 25 prosenttia yksikön pääomasta tai on edunsaajana oikeutettu vähintään 25 prosentin osuuteen yksikön varallisuuden tuotosta. Direktiiviin ei sisälly säännöstä, jolla väliyhtiötulon verottamista vastaavasti rajoitettaisiin erikseen minimiosuuden perusteella ja rajaus olisi selvyyden vuoksi tarpeellista poistaa myös kansallisesta säännöksestä. Asiaa on käsitelty tarkemmin edellä määräysvaltaa koskevan säännöksen yhteydessä kappaleessa 3.3.2. 

Nykyisessä kansallisessa sääntelyssä on nimenomainen maininta siitä, että osakkaan osuutena väliyhteisötulosta verotetaan myös välillistä ulkomaista omistusta vastaava osuus. Säännös koskee tilanteita, joissa verovelvollisella on toisen ulkomaisen yksikön kautta välillinen omistaja-asema ulkomaisessa väliyhteisössä. Verotettavan osuuden suuruus lasketaan tällöin suhteellisena osuutena. Esimerkiksi A Oy:n omistaessa 50 prosenttia ulkomaisesta B-yhtiöstä ja B:n omistaessa 50 prosenttia ulkomaisesta väliyhteisöstä C, A Oy:lle kohdistettaisiin verotettavaksi 25 prosenttia C:n tulosta (50 % x 50 %= 25 %). Säännös ei nykyisin koske esimerkiksi tilanteita, joissa Suomessa verovelvollinen henkilö on osakkaana suomalaisessa osakeyhtiössä Y, joka on puolestaan osakkaana ulkomaisessa väliyhteisössä Z. Tässä tapauksessa väliyhteisö Z:n tulo verotetaan nykyisin Y Oy:n tulona, joka on Z:n ensisijainen täällä yleisesti verovelvollinen osakas. 

Direktiivissä väliyhtiötulon verottamisen edellytys sisältyy käytännössä edellä käsiteltyyn määräysvaltaa koskevaan säännökseen. Määräysvalta määritellään direktiivissä etuyhteystahojen yhteenlasketun omistuksen perusteella, jolloin määräysvalta ja veronalainen väliyhtiötulo voi muodostua välillisen omistuksen perusteella. Direktiivissä ei nimenomaisesti jaotella välillistä omistusta ulkomaiseen ja kotimaiseen osuuteen. Edellä todetun mukaisesti nykyisessä kansallisessa sääntelyssä ei oteta huomioon kotimaista välillistä omistusosuutta, kun määritetään verotettavaa väliyhteisötuloa. Mikäli välillinen kotimainen omistus otettaisiin huomioon, tarkoittaisi se sitä, että useita kotimaisia yksiköitä samassa omistusrakenteessa verotettaisiin kunkin välillisestä osuudesta yhden ja saman väliyhteisön tulosta. Tämä tarkoittaisi saman väliyhteisötulon verottamista Suomessa useampaan kertaan. Tällaista tilannetta ei voida pitää direktiivin tarkoituksen mukaisena. Kansallinen säännös olisi tähän nähden tarpeellista säilyttää nykyisellään. 

Nykyisen kansallisen sääntelyn mukaan väliyhteisön tappio otetaan huomioon väliyhteisötuloa verotettaessa. Säännöksen mukaan osakkaan osuus tappiosta vähennetään osakkaan osuudesta saman yhteisön tuloon tappiovuotta seuraavien kymmenen verovuoden aikana sitä mukaa kuin tuloa syntyy. Direktiivin mukaan väliyhtiön tappio voidaan ottaa huomioon osakkaan verotuksessa seuraavina verovuosina kansallisen lainsäädännön mukaisesti. Nykyinen kansallinen säännös ei ole direktiivin sääntelyä lievempi. 

3.5.2  3.5.2. Kaksinkertaisen verotuksen välttäminen

Nykyisen kansallisen sääntelyn mukaan väliyhteisötulosta Suomessa maksettavasta verosta vähennetään vieraalle valtiolle suoritettujen tuloverojen määrä, jonka ulkomainen väliyhteisö on maksanut samasta tulosta. Direktiivissä säädetään kaksinkertaisen verotuksen poistamisesta vastaavalla tavalla ja lisäksi, että vähennys laskettaisiin kansallisen lainsäädännön mukaan. 

Kansallisessa laissa säädetään käyttämättömästä hyvityksestä, verosopimusvaltioissa asuvien väliyhteisöjen maksamien verojen hyvittämisestä sekä hyvityksen enimmäismäärästä. Väliyhteisön maksaman veron hyvittämistä koskeva kansallinen sääntely ei ole direktiivin sääntelyä lievempi eikä sitä ole tarpeellista direktiivistä johtuen muuttaa. 

Varsinaista veron hyvittämistä koskevan sääntelyn lisäksi sekä kansallisessa sääntelyssä että direktiivissä on erikseen säädetty tilanteista, joissa väliyhteisön tulo voisi ilman erityissäännöstä tulla verotetuksi osakkaalla kahteen kertaan. Kansallisessa sääntelyssä on säädetty, että osinko tai muu voitonjako ulkomaisesta väliyhteisöstä on veronalaista tuloa vain siltä osin kuin se ylittää määrän, joka on samana tai viitenä edellisenä verovuonna tämän lain nojalla luettu tämän osakkaan veronalaiseksi tuloksi. Direktiivissä on vastaava määräys väliyhtiön jakaman voiton verottamisesta osakkaan verotuksessa. Nykyinen kansallinen säännös on rajattu viitenä edellisenä vuonna huomioon otettuun väliyhteisötuloon ja on tämän johdosta direktiiviä tiukempi. Nykyinen säännös on hallinnollisesta näkökulmasta perusteltu. 

Direktiiviin sisältyy edellä olevien lisäksi säännös kahdenkertaisen verotuksen välttämisestä tilanteessa, jossa verovelvollinen luopuu osuudestaan väliyhtiössä tai kiinteässä toimipaikassa. Säännöksen mukaan luovutuksesta saadusta tuotosta vähennetään se osa, joka on aiemmin sisällytetty veropohjaan väliyhtiötulona. Vastaavaa säännöstä ei ole kansallisessa sääntelyssä ja säännös tulisi direktiivin minimiluonteen vuoksi lisätä kansalliseen väliyhteisösääntelyyn siltä osin kuin siinä on kyse ulkomaisesta yksiköstä. Säännöksellä olisi merkitystä lähinnä tilanteissa, joihin ei sovelleta elinkeinoverolain 6 b §:n säännöstä käyttöomaisuusosakkeiden verovapaista luovutusvoitoista. 

Direktiivissä säädetään sekä ulkomaisen yksikön että kiinteän toimipaikan maksamien verojen hyvittämisestä. Ulkomaisten kiinteiden toimipaikkojen käsittelyä väliyhteisönä ei ole pidetty tarpeellisena edellä kappaleessa 3.3.1, minkä vuoksi edellä mainituissa säännöksissäkään ei olisi tarvetta kiinteitä toimipaikkoja koskeville määräyksille. 

Direktiivissä tai kansallisessa sääntelyssä ei ole säädetty väliyhtiön jakamasta osingosta pidätetyn lähdeveron hyvittämisestä osakkaan väliyhtiötuloa verotettaessa. KHO:n ratkaisun 2010:7 mukaan lähdeveroa ei voida ilman laissa olevaa määräystä hyvittää väliyhteisötulosta maksettavasta verosta. Lähdevero jää tällöin kokonaan hyvittämättä, jos osinko on ollut osakkaalle kokonaan tai osittain verovapaa sen perusteella, että veronalaiseksi väliyhteisötuloksi on jo samana tai viitenä edellisenä verovuotena luettu vähintään osingon määrä. Tällainen väliyhteisötulon kaksinkertaista verotusta ehkäisevä säännös olisi tarkoituksenmukaista lisätä väliyhteisölakiin, koska väliyhteisön jakamasta osingosta peritty lähdevero kohdistuu samaan tuloon, joka on jo verotettu osakkaan väliyhteisötulona. Jos osinko on ollut osakkaan verotuksessa veronalaista tuloa, lähdevero on nykyisinkin voitu hyvittää kansainvälisen kaksinkertaisen verotuksen poistamisesta annetun lain ja kansainvälisen kaksinkertaisen verotuksen poistamista koskevan verosopimuksen säännösten nojalla. 

3.6  Keskeiset ehdotukset

Esityksessä ehdotetaan osin muutoksia kansallisen väliyhteisölain sisältöön, osin ehdotetaan, että nykyinen sääntely säilytettäisiin. Muutokset perustuvat edellä toteuttamisvaihtoehtoja koskevissa kappaleissa esitettyihin perusteluihin. 

Esityksessä ehdotetaan, että laissa käytettäisiin ulkomainen yhteisö -termin sijaan termiä ulkomainen yksikkö. Lisäksi ehdotetaan muutettavaksi väliyhteisölain soveltamisalaa koskevia säännöksiä siltä osin kuin ne koskevat verovelvollisten määräysvaltaa ulkomaisessa yksikössä ja lain soveltumista Suomessa verotettaviin verovelvollisiin. Väliyhteisölaista ehdotetaan poistettavaksi yleinen toimialaan liittyvä poikkeus sekä EU- ja verosopimusvaltioissa asuviin ulkomaisiin yksiköihin sovelletut poikkeukset. Lakiin sisältyvää taloudellisen toiminnan poikkeusta ehdotetaan muutettavaksi siten, että se koskisi tietyin edellytyksin myös muissa kuin Euroopan talousalueen valtioissa ja tietyissä verosopimusvaltioissa asuvia ulkomaisia yksiköitä. Laista ehdotetaan poistettavaksi väliyhteisötulon verottamiseen liittyvää minimiomistusosuutta koskeva säännös. Lisäksi ehdotetaan useita teknisiä muutoksia, jotka liittyvät siihen, että kansallinen sääntely saatetaan vastaamaan direktiivin minimisääntelyä. Ehdotetut muutokset on koottu jäljempänä taulukoihin 3 ja 4. 

3.6.1  3.6.1. Soveltamisala

Esityksessä ehdotetaan, että väliyhteisösääntelyä sovellettaisiin nykyiseen tapaan sekä luonnollisten henkilöiden että elinkeinoyhtymien ja yhteisöjen verotuksessa. Kansallisen sääntelyn soveltamisalaan ei ehdoteta muutoksia tältä osin. Sääntelystä poistettaisiin kuitenkin rajaus, jonka mukaan sääntely koskee yleisesti verovelvollisia. Muutoksen jälkeen väliyhteisösääntelyä voitaisiin soveltaa myös rajoitetusti verovelvollisen Suomessa sijaitsevan kiinteän toimipaikan verotuksessa. Tällöin sääntelyä voitaisiin soveltaa, jos osuus ulkomaisessa väliyhteisössä allokoidaan verotuksessa kiinteälle toimipaikalle. 

Nykyisen kansallisen sääntelyn mukaan väliyhteisönä voidaan pitää laajasti erilaisia ulkomaisia yksiköitä riippumatta esimerkiksi siitä, ovatko ne yhteisöverovelvollisia sijaintivaltiossaan. Kansalliseen sääntelyyn ei tältä osin ehdoteta muutoksia. 

Väliyhteisölain soveltamisen edellytyksenä on nykyisin, että ulkomainen yksikkö on Suomessa verovelvollisten määräysvallassa. Määräysvallalla tarkoitetaan vähintään 50 prosentin osuutta ulkomaisen yksikön osuuksista, äänioikeuksista yksikössä tai sen varallisuuden tuotosta. Prosenttiosuus ehdotetaan alennettavaksi 25 prosenttiin. Lisäksi ehdotetaan, että määräysvalta voisi edellä mainittujen lisäksi syntyä myös silloin, kun ulkomaisen yksikön voitosta on oikeus saada vähintään 25 prosenttia. 

Nykyisessä kansallisessa sääntelyssä määräysvaltaa koskevan soveltamisedellytyksen täyttymistä arvioitaessa huomioon otetaan Suomessa yleisesti verovelvollisten osuudet ulkomaisessa yksikössä. Merkitystä ei ole sillä, ovatko kyseiset verovelvolliset toisistaan riippumattomia vai toisiinsa etuyhteydessä. Nykyistä sääntelyä ehdotetaan muutettavaksi siten, että määräysvaltaa koskevan edellytyksen täyttymistä arvioitaisiin keskenään etuyhteydessä olevien henkilöiden yhteenlaskettujen osuuksien perusteella. Toisistaan riippumattomien henkilöiden osuuksia ei enää otettaisi huomioon. Esityksessä ehdotetaan lisäksi, että kansallisesta sääntelystä poistettaisiin edellytys, jonka mukaan määräysvaltaa laskettaessa otetaan huomioon vain yleisesti verovelvollisten osuudet. Edellä mainittujen muutosten jälkeen määräysvaltaa laskettaessa otettaisiin huomioon etuyhteydessä olevien henkilöiden osuudet riippumatta siitä, ovatko nämä ulkomaisia vai kotimaisia. 

Esityksessä ehdotetaan, että väliyhteisölaissa säädettäisiin etuyhteyden määritelmästä, joka perustuisi direktiiviin. Lisäksi ehdotetaan, että laissa säädettäisiin luonnollisten henkilöiden välisestä lähipiiristä, johon kuuluvat henkilöt rinnastettaisiin laissa tarkoitettuihin etuyhteydessä oleviin osapuoliin. 

Ulkomaisen yksikön verotuksen tasoa koskevan kansallisen säännöksen mukaan ulkomaista yksikköä pidetään väliyhteisönä, jos sen tosiasiallinen tuloverotuksen taso sen asuinvaltiossa on alempi kuin 3/5 Suomessa asuvan yhteisön verotuksen tasosta täällä. Esityksessä ehdotetaan, että asuinvaltion käsite korvattaisiin verotuksellisen kotipaikan ja lainkäyttöalueen käsitteillä. Lisäksi kansalliseen sääntelyyn ehdotetaan lisättäväksi määräys, jonka mukaan verotuksen tasoa määritettäessä ei oteta huomioon väliyhteisön kiinteää toimipaikkaa, joka ei ole veronalainen tai joka on vapautettu verosta ulkomaisen väliyhteisön lainkäyttöalueella. Muilta osin verotuksen tasoa koskevaan kansalliseen säännökseen ei ehdoteta muutoksia. Verotuksen tason edellytettäisiin edelleen olevan 3/5. Vertailu koskisi ulkomaisen yksikön tosiasiallista tuloverotuksen tasoa ja ulkomaisen yksikön jakamaa osinkoa ei otettaisi huomioon verotuksen tasoa koskevassa arvioinnissa. 

Nykyinen kansallinen väliyhteisösääntely perustuu siihen, että väliyhteisön tuotto käsitellään kokonaisuudessaan väliyhteisötulona erottelematta sitä passiivisiin ja aktiivisiin tuloihin. Kansalliseen sääntelyyn ei ehdoteta muutoksia tältä osin. 

Väliyhteisölaissa säädetään nykyisin poikkeuksia väliyhteisölain soveltamisalan pääsääntöön. Väliyhteisölain mukaan lain soveltamisalasta on vapautettu ulkomaiset yksiköt, jotka toimivat laissa säädetyillä toimialoilla. Väliyhteisölain soveltamisalasta on lisäksi vapautettu tietyin edellytyksin yksiköt, jotka asuvat EU-valtioissa tai unionin ulkopuolisissa verosopimusvaltioissa, joita ei ole mainittu valtiovarainministeriön antamassa asetuksessa. Esityksessä ehdotetaan, että nämä poikkeukset poistettaisiin väliyhteisölaista. 

Väliyhteisölaissa on lisäksi säädetty poikkeus, jonka mukaan Euroopan talousalueella asuvat yksiköt ja edellä tarkoitetut verosopimusvaltioissa asuvat yksiköt on vapautettu väliyhteisölain soveltamisalasta, jos nämä harjoittavat asuinvaltiossaan taloudellista toimintaa. Poikkeuksen soveltaminen edellyttää lisäksi riittävää verotietojenvaihtoa Suomen ja ulkomaisen yksikön asuinvaltion välillä. Esityksessä ehdotetaan, että poikkeusta muutettaisiin siten, että se lähtökohtaisesti soveltuisi siitä riippumatta, missä valtiossa tai lainkäyttöalueella ulkomainen yksikkö sijaitsee. Poikkeusta ei kuitenkaan sovellettaisi ulkomaiseen yksikköön, joka sijaitsee lainkäyttöalueella, joka on mainittu neuvoston hyväksymässä veroasioissa yhteistyöhaluttomien lainkäyttöalueiden luettelossa. Esityksen mukaan poikkeuksen soveltamisen edellytyksenä olisi se, että ulkomainen yksikkö on sijoittautunut verotuksellisen kotipaikkansa mukaiselle lainkäyttöalueelle ja harjoittaa siellä taloudellista toimintaa, johon liittyy henkilöstöä, laitteita, varoja ja tiloja. Euroopan talousalueen ulkopuolisella lainkäyttöalueella sijaitsevan yksikön osalta edellytettäisiin nykyiseen tapaan lisäksi, että Suomen ja ulkomaisen yksikön sijaintivaltion välillä on sovittu väliyhteisölain soveltamisen kannalta riittävästä verotietojenvaihdosta. Näissä valtioissa asuvien yksiköiden osalta edellytettäisiin lisäksi, että ne harjoittavat laissa mainittua tuotantotoimintaa. Nykyisessä sääntelyssä käytetty asuinvaltion käsite korvattaisiin verotuksellisen kotipaikan ja lainkäyttöalueen käsitteillä. 

Taulukko 3. Sääntelyn soveltamisedellytyksiä koskevat ehdotukset 

Soveltamisedellytykset 

  

  

  

Nykyinen kansallinen säännös 

Ehdotus 

  

  

Väliyhteisö, jos määräysvallasta yleisesti verovelvollisilla yhteensä vähintään 50 % ja lisäksi: voidaan verottaa vain, jos vähintään 25 %:n osuus etuyhteysosapuolilla 

Väliyhteisö (ja voidaan verottaa), jos määräysvallasta vähintään 25 % etuyhteysosapuolilla riippumatta siitä, ovatko yleisesti vai rajoitetusti verovelvollisia 

Verotuksen taso 3/5 

Verotuksen taso 3/5 

Yksikköpohjainen malli 

Yksikköpohjainen malli 

Ulkomaisen yksikön kiinteä toimipaikka väliyhteisönä 

Ulkomaisen yksikön kiinteä toimipaikka väliyhteisönä 

Taloudellisen toiminnan poikkeama ETA-valtioissa ja siihen liittyvä tietojenvaihtoedellytys 

Taloudellisen toiminnan poikkeama ETA-valtioissa (direktiivin mukaan) 

Taloudellisen toiminnan poikkeama verosopimusvaltioissa 

Taloudellisen toiminnan poikkeama kaikissa kolmansissa valtioissa, jos ei ole EU-luettelossa mainittu valtio, lisäksi toimialaa sekä tietojenvaihtoa koskevat edellytykset 

Yleinen toimialahuojennus 

Kumotaan 

EU- ja verosopimusvaltioiden poikkeukset 

Kumotaan 

3.6.2  3.6.2. Väliyhteisötulon verottaminen

Nykyisen kansallisen sääntelyn mukaan verovelvollisen väliyhteisötulona verotetaan väliyhteisön tulosta se osuus, joka vastaa verovelvollisen osuutta väliyhteisöstä tai edunsaaja-asemaa väliyhteisössä. Verotuksessa on kuitenkin sovellettu rajoitusta, jonka mukaan väliyhteisötuloa verotetaan vain, jos verovelvollisen tai sen kanssa samaan etupiiriin kuuluvien yhteenlaskettu osuus väliyhteisöstä on vähintään 25 prosenttia. Esityksessä ehdotetaan, että säännös säilytettäisiin nykyisellään lukuun ottamatta minimiosuutta koskevaa rajoitusta, joka poistettaisiin sääntelystä. 

Väliyhteisölakia ehdotetaan sovellettavaksi myös rajoitetusti verovelvollisiin. Rajoitetusti verovelvollista voitaisiin verottaa väliyhteisötulosta Suomessa, jos osuus ulkomaisessa väliyhteisössä kuuluu verotuksessa rajoitetusti verovelvollisen Suomessa olevalle kiinteälle toimipaikalle. Jos yleisesti verovelvollinen omistaa tässä tilanteessa osuuden rajoitetusti verovelvollisesta, luettaisiin osuus väliyhteisötulosta myös yleisesti verovelvollisen veronalaiseksi tuloksi välillisen omistuksen perusteella. Tällöin sama osuus väliyhteisötulosta verotettaisiin Suomessa kahteen kertaan; sekä kiinteän toimipaikan että yleisesti verovelvollisen tulona. Tämän ehkäisemiseksi sääntelyyn ehdotetaan lisättäväksi säännös, jonka mukaan väliyhteisötuloa ei lueta yleisesti verovelvollisen veronalaiseksi tuloksi siltä osin kuin tulo luetaan rajoitetusti verovelvollisen tuloksi. 

Verotettavan väliyhteisötulon määrä lasketaan nykyisin Suomen verolakien mukaisesti. Verolaki määräytyy sen perusteella, mihin tulolähteeseen osuus väliyhteisöstä kuuluu osakkaan verotuksessa. Väliyhteisötulo säilyttää osakkaan verotuksessa tulolajinsa. Väliyhteisön jakamaa osinkoa ei pidetä veronalaisena tulona, jos se on jaettu voitosta, joka on jonkin osingonjakoa välittömästi edeltävän viiden verovuoden osalta otettu Suomessa huomioon. Esityksessä ei näiltä osin ehdoteta muutoksia nykyiseen säännökseen. 

Esityksessä ehdotetaan direktiiviin perustuen, että väliyhteisölakiin lisättäisiin nimenomainen maininta siitä, että väliyhteisötulo verotetaan osakkaan tulona sinä verovuonna, jona väliyhteisön verovuosi päättyy. Lisäksi kansalliseen sääntelyyn ehdotetaan lisättäväksi direktiiviin perustuva säännös, jonka mukaan verovelvollisen luopuessa väliyhteisöstä luovutuksesta saadusta tuotosta vähennetään se osa, joka on aiemmin sisällytetty veropohjaan väliyhteisötulona. Selvyyden vuoksi säännöksessä todettaisiin lisäksi, että säännöksen perusteella verottamatta jätettyä väliyhteisön jakamaa voittoa ei otettaisi huomioon luovutuksesta saatua veronalaista tuloa määritettäessä. 

Väliyhteisön tappio otetaan nykyisen kansallisen sääntelyn mukaan huomioon siten, että osakkaan osuus tappiosta vähennetään osakkaan osuudesta saman yksikön tuloon tappiovuotta seuraavien kymmenen verovuoden aikana sitä mukaa kuin tuloa syntyy. Nykyiseen sääntelyyn ei esitetä muutoksia. 

Nykyisen väliyhteisölain mukaan väliyhteisötulosta Suomessa maksettavasta verosta vähennetään vieraalle valtiolle suoritettujen tuloverojen määrä, jonka ulkomainen väliyhteisö on maksanut samasta tulosta. Kansallisessa laissa säädetään lisäksi käyttämättömästä hyvityksestä, verosopimusvaltioissa asuvien väliyhteisöjen maksamien verojen hyvittämisestä sekä hyvityksen enimmäismäärästä. Säännökseen lisättäisiin määräys, jonka mukaan väliyhteisön osakkaan Suomessa verotettavasta väliyhteisötulosta voidaan tietyin edellytyksin hyvittää lähdevero, joka väliyhteisön osakkaalle jakamasta osingosta on suoritettu väliyhteisön lainkäyttöalueella. Muilta osin nykyiseen sääntelyyn väliyhteisötulon kaksinkertaisen verotuksen poistamisesta ei ehdoteta muutoksia. 

Väliyhteisöä koskevien tietojen ilmoittamisvelvollisuutta koskevaan kansalliseen säännökseen ei esitetä muutoksia. 

Taulukko 4. Verotettavan väliyhteisötulon laskentaa koskevat ehdotukset 

Väliyhteisötulon laskenta 

  

  

  

Nykyinen kansallinen säännös 

Ehdotus 

  

  

Verotettava väliyhteisötulo lasketaan kansallisen verolainsäädännön mukaisesti 

Verotettava väliyhteisötulo lasketaan kansallisen verolainsäädännön mukaisesti 

Tappio jaksotetaan 10 vuodelle 

Tappio jaksotetaan 10 vuodelle 

Verotettava väliyhteisötulo lasketaan suhteessa verovelvollisen osuuteen väliyhteisöstä 

Verotettava väliyhteisötulo lasketaan suhteessa verovelvollisen osuuteen väliyhteisöstä 

Väliyhteisötulo verotetaan sinä verokautena, jona väliyhteisön verovuosi päättyy 

Väliyhteisötulo verotetaan sinä verokautena, jona väliyhteisön verovuosi päättyy 

Väliyhteisöltä saatu osinko on veronalaista siltä osin kuin se ylittää aiemmin verotetun määrän (5 vuoden raja) 

Väliyhteisöltä saatu osinko on veronalaista siltä osin kuin se ylittää aiemmin verotetun määrän (5 vuoden raja) 

Luovuttaessa väliyhteisöstä, luovutuksesta saadusta tulosta vähennetään aiemmin verotettu määrä 

Väliyhteisön maksama vero hyvitetään 

Väliyhteisön valtiossa maksettu vero hyvitetään 

Esityksen vaikutukset

4.1  Taloudelliset vaikutukset

Väliyhteisösääntelyssä on kyse veronvälttelyyn perustuvien veroetujen poistamisesta. Sääntelyn ensisijaisena tavoitteena on ennaltaehkäistä tulojen kanavoimista matalan verotuksen valtioissa sijaitseviin yksiköihin. Sääntelyn varsinaisena tavoitteena ei ole verotulojen lisääminen. Nykyisinkään väliyhteisötulona verotettavista tuloista ei kerry veronsaajille merkittäviä verotuottoja. 

Esitystä laadittaessa ei ole edellä mainituista syistä ollut mahdollista arvioida muutosten tarkempia taloudellisia vaikutuksia. Ehdotetuista muutoksista johtuvia käytännön vaikutuksia kuvataan jäljempänä kohdassa 4.3. 

4.2  Vaikutukset viranomaisten toimintaan

Esityksessä ehdotettujen muutosten arvioidaan vaikuttavan Verohallinnossa muun muassa verotusprosesseihin, tietojärjestelmiin, tietovirtoihin, lomakkeisiin sekä ohjeistukseen. 

Verohallinto on tuonut esille, että muutosten toimeenpanon aikataulu on erittäin tiukka Verohallinnossa realisoituvien vaikutusten osalta. Aikataulu on erittäin vaikea erityisesti ilmoittamisen kannalta. On mahdollista, että veroilmoituksilla kerättävät tiedot ovat puutteellisia oikean verotuskäsittelyn kannalta. Ilmoittamisen jäädessä vaillinaiseksi Verohallinnon verovalvontatyötä lisäävät esimerkiksi asiakkaille tehtävät selvityspyynnöt. 

4.3  Vaikutukset verovelvollisille

Esityksessä ehdotetut suurimmat muutokset koskisivat nykyisen väliyhteisölain määräysvaltasäännöstä ja verosopimusvaltioissa sijaitsevia yksiköitä sekä toimialoja koskevien huojennusten poistamista. Lausunnoissa on tuotu esiin, että ehdotetut muutokset merkitsevät verovelvollisille hallinnollisen taakan lisääntymistä. 

Esityksessä ehdotetaan, että sääntelyn soveltamisalaa muutettaisiin siten, että määräysvaltaa koskevan soveltamisedellytyksen täyttymistä arvioitaessa otettaisiin huomioon paitsi kotimaisten tahojen myös ulkomaisten tahojen osuudet väliyhteisössä. Tämän arvioidaan lisäävään jonkin verran verovelvollisten hallinnollista taakkaa tilanteissa, joissa ulkomaisten tahojen osuuksia voi olla vaikea selvittää. Esimerkiksi rahastosijoituksissa kanssasijoittajien määrää ja osuuksia ei aina ole mahdollista hallita. Ehdotetun muutoksen mukaan soveltamisen edellytyksenä olisi kuitenkin myös väliyhteisön osakkaiden välinen etuyhteys, minkä arvioidaan osaltaan rajaavan osuuksien selvittelyyn liittyvää hallinnollista taakkaa. Väliyhteisösääntelyssä on kyse veron välttämisen ehkäisemisestä ja verovelvollisella on korostettu huolellisuusvelvoite. 

Esityksessä ehdotetaan myös muutosta, jonka mukaan määräysvaltaa koskevan soveltamisedellytyksen täyttymistä arvioitaessa ei enää otettaisi huomioon toisistaan riippumattomien tahojen osuuksia ulkomaisessa yksikössä, vaan määräysvaltaa tarkasteltaisiin vain etuyhteystahojen omistusten perusteella. Samalla määräysvaltaa koskeva raja laskettaisiin 50 prosentista 25 prosenttiin. Raja vastaisi nykyisessä laissa olevaa väliyhteisötulon verottamisen minimirajaa, jossa myös nykyisin tarkastellaan vain etuyhteysosapuolten osuuksia. Ehdotettu muutos ei kokonaisuutena lieventäisi nykyistä sääntelyä, vaan laajentaisi sen soveltamisalaa prosenttirajan laskiessa ja erityisesti etuyhteystilanteissa. 

Esityksessä ehdotetaan poistettavaksi nykyiseen lakiin sisältyvät EU-valtioita ja muita verosopimusvaltioita koskevat poikkeukset. Muutos koskee yksiköitä, jotka sijaitsevat sellaisissa EU-valtioissa tai muissa verosopimusvaltioissa, joita ei nykyisin ole mainittu harmaalla listalla. Kyse on valtioista, joissa nykyisen lain aikana verotuksen tason on arvioitu olevan väliyhteisösääntelyn kannalta riittävä ja näissä valtioissa sijaitsevat yksiköt ovat sen vuoksi vapautettuja väliyhteisölain soveltamisalasta elleivät ne ole hyötyneet erityisistä veronhuojennuksista. Tällöin sellaisissa verosopimusvaltioissa, joita ei ole mainittu listalla, sijaitsevat yksiköt ovat aina vapautuneet väliyhteisölain soveltamisalasta. Esitettyjen muutosten johdosta näissä valtioissa sijaitsevia yksiköitä ei enää vapautettaisi väliyhteisölain soveltamisalasta verotuksen tasoon perustuvan listan nojalla. Kyseisiin valtioihin sijoittautuneet yksiköt olisivat samassa asemassa kuin listalla oleviin verosopimusvaltioihin sekä verosopimuksettomiin valtioihin sijoittautuneet yksiköt. Lain soveltamisalasta vapautuminen edellyttäisi ehdotuksen mukaan jatkossa taloudellisen toiminnan poikkeuksen soveltamista. Jos edellytykset eivät täyty, olisivat näissä valtioissa sijaitsevat yksiköt jatkossa väliyhteisöjä, jos lain yleiset määräysvaltaa ja verotuksen tasoa koskevat edellytykset täyttyvät. Nykyisen lain aikana verotuksen 3/4-tasoa koskevan kriteerin on arvioitu täyttyvän näissä harmaan listan ulkopuolisissa valtioissa. On mahdollista, että monissa tapauksissa väliyhteisölain yleinen verotuksen tasoa koskeva 3/5-soveltamisedellytys ei jatkossakaan täyttyisi ja tällöin yksikkö ei olisi väliyhteisö. Muutoksen arvioidaan lisäävään yritysten hallinnollista taakkaa sääntelyn soveltamisedellytysten laajentuessa. 

Esityksen mukaan nykyiseen lakiin sisältyvä taloudelliseen toimintaan perustuva huojennus koskisi jatkossa kaikkia ulkomaisia yksiköitä lukuun ottamatta niitä, jotka sijaitsevat lainkäyttöalueilla, jotka on mainittu unionissa laaditussa yhteistyöhaluttomien lainkäyttöalueiden luettelossa. Euroopan talousalueen ulkopuolisissa valtioissa sijaitsevien yksiköiden osalta huojennuksen soveltaminen edellyttäisi lisäksi riittävää verotietojenvaihtoa Suomen viranomaisten ja kyseisen lainkäyttöalueen viranomaisten välillä sekä toimialaa koskevan edellytyksen täyttymistä. Tietojenvaihtoa koskevan lisäedellytyksen täyttymisen ei arvioida aiheuttavan verovelvollisille hallinnollisen taakan lisääntymistä, koska tämän edellytyksen täyttyminen olisi ehdotuksen mukaan selvitettävissä Verohallinnon julkaiseman listan perusteella. 

Taloudellisen toiminnan poikkeukseen sisältyvän toimialaa koskeva edellytyksen ei arvioida lisäävään merkittävästi verovelvollisen hallinnollista taakkaa. Toimialaa koskeva säännös vastaa pitkälti nykyiseen lakiin sisältyvää säännöstä, jolloin säännöksen tulkinnassa voidaan hyödyntää nykyistä oikeus- ja verotuskäytäntöä. Toimialasäännöksen ehdotetun laajennuksen arvioidaan aiheuttavan jonkin verran tarvetta uudelle tulkintakäytännölle.  

Ehdotettu sääntely voi olla merkittävä sellaisten yksiköiden osalta, jotka sijaitsevat niillä lainkäyttöalueilla, jotka on mainittu unionissa laaditussa yhteistyöhaluttomien lainkäyttöalueiden luettelossa. Luettelo on jatkuvasti päivittyvä ja on mahdollista, että myöhemmin siihen lisätään uusia lainkäyttöalueita. Nykyisin näillä lainkäyttöalueilla sijaitsevat yksiköt ovat voineet vapautua väliyhteisölain soveltamisalasta niin sanotun toimialapoikkeaman nojalla. Jatkossa näissä valtioissa sijaitsevat yksiköt olisivat väliyhteisöjä, jos lain yleiset määräysvaltaa ja verotuksen tasoa koskevat edellytykset täyttyvät eikä erillisiä poikkeuksia sovellettaisi. Ehdotettu muutos laajentaisi sääntelyn soveltamisalaa. 

4.4  Asian valmistelu

Esitys on valmisteltu valtiovarainministeriössä. 

Lausuntonsa hallituksen esitysluonnoksesta ovat antaneet työ- ja elinkeinoministeriö, Verohallinto, Elinkeinoelämän keskusliitto EK, Finanssiala ry, Finnwatch ry, Kepa ry, Keskuskauppakamari, Perheyritysten liitto, Pääomasijoittajat ry, Suomen Ammattiliittojen Keskusjärjestö SAK ry, Suomen Asianajajaliitto ry, Suomen Kuntaliitto ry, Suomen Veroasiantuntijat ry, Suomen Yrittäjät, Veronmaksajain Keskusliitto ry, professori Marjaana Helminen, professori Juha Lindgren ja apulaisprofessori Tomi Viitala. 

Lausunnoissa on sekä kannatettu että vastustettu esityksessä ehdotettuja muutoksia. Eniten huomioita on esitetty määräysvaltaa ja taloudellisen toiminnan poikkeusta koskevista ehdotuksista. Monissa lausunnoissa on lisäksi toivottu, että väliyhteisölakiin sisältyvää ulkomaisten verojen hyvittämistä koskevaa sääntelyä laajennettaisiin. Lausunnoissa on lisäksi toivottu esityksessä käytettyjen termien ja määritelmien täsmentämistä. 

Osassa lausuntoja määräysvaltaa koskevan ehdotuksen on katsottu tarpeettomasti laajentavan nykyisen lain soveltamisalaa. Osassa lausuntoja laajennusta on pidetty tarkoituksenmukaisena ottaen huomioon ehdotettujen muutosten kokonaisuus ja väliyhteisölain soveltamisala. Finanssiala ry:n lausunnossa on erityisesti tuotu esiin rahastosijoitusten osalta, että määräysvaltaa koskevan soveltamiskynnyksen alentaminen ehdotetulla tavalla voisi nykyistä useammin johtaa siihen, että ulkomaisen rahaston sisällä nykyisin verottamattomina pysyviä varoja verotettaisiin. Lisäksi vaihtuvapääomaisissa rahastoissa sijoittajat eivät voi kontrolloida kanssasijoittajien määrää tai heidän osuuksiaan rahastossa ja siten määräysvaltaa koskevan edellytyksen täyttymistä. 

Monissa lausunnoissa on katsottu, että taloudellista toimintaa koskevaa poikkeusta tulisi soveltaa Euroopan talousalueen ulkopuolisissa valtioissa sijaitsevien yksiköiden osalta ilman toimialaa koskevaa lisäedellytystä. On pidetty tarpeellisena säätää siitä, millä tavalla toimialaan liittyvää tuotantotoiminnan kriteeriä voidaan soveltaa palveluihin perustuvassa toiminnassa. Lausunnoissa on myös katsottu, ettei direktiivi edellytä taloudellisen toiminnan olevan merkittävää. Muutamassa lausunnossa verosopimusvaltioita koskevan huojennuksen säilyttämistä on pidetty tarpeellisena. Verotuksen tasoa koskevan väliyhteisölain soveltamisedellytyksen osalta lausunnoissa on osin kannatettu nykyistä 3/5-tasoa, osin esitetty sovellettavaksi direktiivin mukaista lievempää 50 prosentin tasoa ja osin esitetty sovellettavaksi nykyistä korkeampaa 3/4-tasoa. 

Osassa lausuntoja on toisaalta katsottu, että taloudellista toimintaa koskevan poikkeuksen soveltamisalaa tulisi pienentää myös Euroopan talousalueen valtioissa sijaitsevissa yksiköissä. On myös esitetty, ettei poikkeusta tulisi lainkaan soveltaa Euroopan talousalueen ulkopuolella olevissa valtioissa sijaitseviin yksiköihin. 

Muutamassa lausunnossa on katsottu, ettei väliyhteisötuloa ole perusteltua jakaa ansio- ja pääomatuloksi luonnollisen henkilön verotuksessa, koska kyse on sijoitustoiminnan tulosta. Muutamassa lausunnossa jakoa ansio- ja pääomatuloon on kannatettu. 

Useissa lausunnoissa on ehdotettu esitykseen lisättäväksi säännökset väliyhteisön jakamasta osingosta pidätetyn lähdeveron hyvittämisestä Suomessa. Lisäksi on ehdotettu, että väliyhteisön verotuksen tasoa määritettäessä otettaisiin huomioon kolmansille maille maksetut lähdeverot, jos niitä ei ole voitu hyvittää väliyhteisön kotivaltiossa tai kolmannen valtion väliyhteisölainsäädännön perusteella samasta väliyhteisötulosta maksetusta verosta. 

Yksittäisinä ehdotuksina on myös esitetty ulkomaisten yksiköiden verottamista Suomessa silloin, kun niitä tosiasiallisesti johdetaan Suomesta sekä ehdotettujen muutosten soveltamisen alkamisajankohdan lykkäämistä vuoteen 2020 saakka. 

Esityksessä on otettu huomioon lausuntokierroksella esitettyjä näkemyksiä. Säännöksen termejä, määritelmiä ja sanamuotoja on täsmennetty. Taloudellista toimintaa koskevaan poikkeukseen liitettyä toimialaa koskevaa edellytystä on muutettu. Esitykseen on lisätty säännös siitä, että väliyhteisön osingosta peritty lähdevero voidaan hyvittää osakkaan verotuksessa. Esityksestä on poistettu säännös, jonka mukaan ulkomaisen väliyhteisön tuloa jaettaisiin luonnollisen henkilön verotuksessa ansio- ja pääomatuloksi. 

YKSITYISKOHTAISET PERUSTELUT

Lakiehdotuksen perustelut

1 §.Soveltamisala. Pykälään sisältyvää lain soveltamisalaa muutettaisiin siten, että siitä poistettaisiin viittaus yleisesti verovelvollisiin. Pykälään lisättäisiin säännös lain soveltamisesta rajoitetusti verovelvollisen verotuksessa. Väliyhteisötulo olisi rajoitetusti verovelvollisen veronalaista tuloa vain silloin, kun osuus ulkomaisessa väliyhteisössä liittyy rajoitetusti verovelvollisen Suomessa olevaan verotukselliseen kiinteään toimipaikkaan. 

2 §.Ulkomainen väliyhteisö. Pykälän 1 ja 2 momenttia muutettaisiin jäljempänä kuvatulla tavalla. Pykälän 3 ja 5 momentin säännökset kumottaisiin. Pykälään lisättäisiin uusi 3 momentti. Pykälän 4 momenttiin sisältyvä säännös väliyhteisön toiselta väliyhteisöltä saamasta osingosta siirrettäisiin uuteen 3 momenttiin. Pykälään lisättäisiin uusi 4 momentti. 

Pykälän 1 momentissa säädettäisiin väliyhteisölain soveltamisen pääsäännöstä. Lakia sovellettaisiin, jos momentissa säädetyt määräysvaltaa väliyhteisössä ja ulkomaisen yksikön verotuksen tason vertailua koskevat edellytykset täyttyvät. Pykälässä käytetty termi yhteisö korvattaisiin termillä yksikkö. Ulkomaista yksikköä, joka täyttää lain soveltamisen edellytykset kutsuttaisiin kuitenkin edelleen väliyhteisöksi. Yksiköllä tarkoitettaisiin laajasti erilaisia kotimaisia ja kansainvälisiä yritysmuotoja sekä sopimusjärjestelyjä. Yksikkö voisi olla esimerkiksi yhteisö, osuuskunta, trusti, säätiö, yhtiö tai yhdistys. 

Momentin 1 kohdassa säädettäisiin määräysvallasta yksikössä. Ulkomaista yksikköä pidettäisiin väliyhteisönä, jos verovelvollisella on yksikössä määräysvalta siten, että sillä on suoraan tai välillisesti vähintään 25 prosenttia yksikön äänioikeuksista, omistuksessaan suoraan tai välillisesti vähintään 25 prosenttia yksikön pääomasta, tai oikeus saada vähintään 25 prosenttia yksikön voitosta tai varallisuuden tuotosta. Verovelvollisella tarkoitettaisiin Suomessa yleisesti tai rajoitetusti verovelvollista, joista säädetään tuloverolain 9 §:ssä. Verovelvollisen yksin omaamaan määräysvaltaan rinnastettaisiin määräysvalta, joka syntyy vastaavin perustein verovelvollisen ja yhdessä siihen etuyhteydessä olevien tahojen osuuksista. Tällöin otettaisiin huomioon sekä kotimaiset että ulkomaiset verovelvolliseen etuyhteydessä olevat yksiköt ja luonnolliset henkilöt, joista säädettäisiin 4 momentissa. Määräysvalta voisi syntyä sekä suoran että välillisen omistuksen kautta, jolla tarkoitettaisiin käsitteellisesti samaa kuin nykyisessä 3 §:ssä välittömällä ja välillisellä omistuksella. 

Tarkasteltaessa sitä, onko ulkomainen yksikkö määräysvallassa, olisi ensin määriteltävä verovelvolliseen 4 momentissa tarkoitetulla tavalla etuyhteydessä olevat tahot. Kun määräysvaltaa tarkasteltaisiin välillisissä omistusrakenteissa etuyhteystahojen yhteisen omistuksen kautta, omistusosuutta ei, toisin kuin nykyisin, laskettaisi suhteellisesti eikä sen edellytettäisi myöskään olevan jokaisessa ketjun vaiheessa vähintään 50 prosenttia. 

Säännöksen soveltamista voidaan kuvata seuraavilla esimerkeillä: 

Esimerkki 1 

A Oy omistaa 50 prosenttia EU-valtiossa sijaitsevan D-yhtiön osakkeista. D-yhtiö omistaa 80 prosenttia väliyhteisö X:n osakkeista. A Oy ja D-yhtiö ovat keskenään etuyhteydessä olevia yrityksiä. Esityksen mukaan A Oy:n ja D-yhtiön katsotaan omistavan yhdessä 80 prosenttia väliyhteisö X:n osakkeista, jolloin 25 prosentin määräysvaltaa koskeva raja ylittyy. Väliyhteisö X on välillisesti A Oy:n määräysvallassa ehdotetussa sääntelyssä tarkoitetulla tavalla. Tilanteen lopputulos vastaisi nykyistä sääntelyä. 

Esimerkki 2 

A Oy omistaa 25 prosenttia EU-valtiossa sijaitsevan D-yhtiön osakkeista. D-yhtiö omistaa 80 prosenttia väliyhteisö X:n osakkeista. A Oy ja D-yhtiö ovat keskenään etuyhteydessä olevia yrityksiä. Esityksen mukaan A Oy:n ja D-yhtiön katsotaan omistavan yhdessä 80 prosenttia väliyhteisö X:n osakkeista, jolloin 25 prosentin määräysvaltaa koskeva raja ylittyy. Väliyhteisö X on välillisesti A Oy:n määräysvallassa ehdotetussa sääntelyssä tarkoitetulla tavalla. 

Tilanteen lopputulos poikkeaisi nykyisestä sääntelystä. Nykyisen sääntelyn mukaan A Oy:n suhteellinen omistusosuus väliyhteisö X:stä olisi 20 prosenttia. Sellaisessa tapauksessa, jossa suhteellisesti laskettu välillinen omistusosuus jää alle 50 prosentin, määräysvallan voidaan nykyisin katsoa vallitsevan vain, jos omistusosuus on omistusketjun jokaisessa vaiheessa vähintään 50 prosenttia. 

Esimerkki 3 

A Oy omistaa 20 prosenttia väliyhteisö X:n osakkeista. A Oy:n osakkeet omistaa sataprosenttisesti B Oy. B Oy omistaa lisäksi 80 prosenttia D-yhtiöstä, joka sijaitsee EU-jäsenvaltiossa ja 10 prosenttia C Oy:sta. D-yhtiö omistaa 20 prosenttia ja C Oy 60 prosenttia väliyhteisö X:n osakkeista. 

A Oy, B Oy ja D-yhtiö ovat keskenään etuyhteydessä olevia yrityksiä. A Oy ja D-yhtiö omistavat yhteensä 40 prosenttia väliyhteisö X:n osakkeista. Kun tarkastellaan A Oy:stä, B Oy:stä ja D-yhtiöistä muodostavan etuyhteysryhmän yhteenlaskettua omistusta väliyhteisö X:n osakkeista, määräysvaltaa koskeva edellytys (25 prosenttia) täyttyy. Väliyhteisö X on siten välittömästi A Oy:n ja välillisesti B Oy:n määräysvallassa ehdotetussa sääntelyssä tarkoitetulla tavalla. 

Lisäksi C Oy omistaa 60 prosenttia väliyhteisö X:n osakkeista, joten C Oy:llä on määräysvalta väliyhteisöön. 

Tilanne vastaisi nykyistä sääntelyä, sillä 80 prosenttia olisi yleisesti verovelvollisten A Oy:n ja C Oy:n määräysvallassa. Nykyisen sääntelyn mukaan B Oy:n välillistä omistusosuutta ei kuitenkaan otettaisi huomioon, sillä B Oy:n suhteellinen omistusosuus väliyhteisö X:stä on alle 50 prosenttia eikä se ylitä jokaisessa vaiheessa 50 prosenttia. 

Momentin 2 kohdassa säädettäisiin ulkomaisen yksikön verotuksen tasosta. Säännös sisältäisi nykyisen 2 §:n 1 momentin säännöksen muutettuna siten, että asuinvaltion käsite korvattaisiin verotuksellisen kotipaikan ja lainkäyttöalueen käsitteillä. Verotuksellisella kotipaikalla tarkoitettaisiin lainkäyttöaluetta, jossa ulkomainen yksikkö verotuksellisesti asuu ja joka on valtiollinen tai ei-valtiollinen lainkäyttöalue, jolla on itsenäinen veronkanto-oikeus. Käsitteillä tarkoitettaisiin siten samaa kuin nykyisen lain asuinvaltion käsitteellä. Muilta osin nykyistä 2 §:n 1 momentin verotuksen tasoa koskevaa säännöstä ei muutettaisi. Ulkomaisen yksikön asuinvaltiossaan suorittaman tuloveron määrää verrattaisiin nykyiseen tapaan siihen tuloveron määrään, joka olisi ollut suoritettava, jos yksikkö olisi ollut täällä asuva. Vertailukohtana on tällöin ulkomaista yksikköä vastaavan kotimaisen yksikön verotus. 

Pykälän 2 momenttia muutettaisiin siten, että asuinvaltion käsite korvattaisiin verotuksellisen kotipaikan ja lainkäyttöalueen käsitteillä. 

Pykälän 3 momentissa säädettäisiin kahdesta ulkomaisen yksikön verotuksen tason laskentaan liittyvästä erityissäännöksestä. 

Momentin 1 kohdassa säädettäisiin, ettei verotuksen tasoa laskettaessa oteta huomioon väliyhteisön kiinteää toimipaikkaa, joka ei ole veronalainen tai joka on vapautettu verosta ulkomaisen väliyhteisön lainkäyttöalueella. Kiinteän toimipaikan verovapaus väliyhteisön lainkäyttöalueella voisi perustua lainkäyttöalueen kansalliseen sääntelyyn tai verosopimuksiin. 

Momentin 2 kohta sisältäisi nykyisen 4 momentin säännöksen väliyhteisön toiselta väliyhteisöltä saamasta osingosta. 

Pykälän 4 momentissa säädettäisiin etuyhteyden määritelmästä, jota sovelletaan 1 momentissa säädettyä määräysvaltaa arvioitaessa. Määritelmässä käytettäisiin direktiivin mukaisesti termiä yksikkö samoin kuin 1 §:ssä. Termin sisältö olisi sama kuin 1 §:ssä eli yksiköllä tarkoitettaisiin laajasti erilaisia yritysmuotoja sekä sopimusjärjestelyjä. Yksikkö voisi olla esimerkiksi yhteisö, osuuskunta, trusti, säätiö, yhtiö tai yhdistys. 

Määritelmän mukaan etuyhteydessä toisiinsa voisivat olla useampi yksikkö keskenään, yksikkö tai yksiköt ja luonnollinen henkilö keskenään tai luonnolliset henkilöt keskenään. 

Momentin 1 ja 3 kohdassa tarkoitettua etuyhteyttä voidaan kuvata esimerkillä: A Oy:llä on kolme täysin omistettua kotimaista tytäryhtiötä, jotka puolestaan omistavat kukin 30 prosenttia väliyhteisöstä. A Oy:llä on tällöin 1 kohdassa tarkoitettu etuyhteys kaikkiin tytäryhtiöihinsä. Tytäryhtiöillä keskenään on 3 kohdassa tarkoitettu etuyhteys toisiinsa. Väliyhteisö on kaikkien neljän yrityksen määräysvallassa, joista A Oy:n määräysvalta on välillinen. Väliyhteisötulon verottamisesta useamman osakkaan tilanteessa käsitellään 4 §:n perusteluissa. 

Momentissa tarkoitetun etuyhteyden määräytymistä voidaan kuvata myös alla olevalla esimerkillä 4, joka on vastaava kuin OECD:n BEPS Action 3:2015 Final Report -raportin sivulla 27 kuvattu tilanne. Tässä esimerkissä A Oy 1 ja A Oy 2 olisivat suomalaisia osakeyhtiöitä, joiden välillä ei ole säännöksessä tarkoitettua etuyhteyttä. A Oy 1:n ulkomainen emoyhtiö omistaisi täysin sekä A Oy 1:n että B-yhtiön toisessa valtiossa. A Oy 1 omistaisi 30 prosenttia väliyhteisöstä ja B-yhtiö 30 prosenttia. A Oy 1 ja B-yhtiö olisivat momentin 3 kohdan nojalla etuyhteydessä toisiinsa ja niiden omistus väliyhteisössä huomioon ottaen väliyhteisö olisi A Oy 1:n määräysvallassa. Emoyhtiö ja B-yhtiö eivät ole Suomessa verovelvollisia, joten väliyhteisölakia ei sovelleta niihin. A Oy 2:n omistusta ei oteta huomioon arvioitaessa A Oy 1:n osalta toteutuvaa määräysvaltaa eikä A Oy 1:n omistusta oteta huomioon arvioitaessa A Oy 2:n määräysvaltaa. 

Esimerkki 4 

Momentin 4 kohdassa tarkoitettuja luonnollisen henkilön lähipiiriin kuuluvia henkilöitä olisivat henkilön aviopuoliso tai häneen avioliitonomaisessa suhteessa oleva henkilö, sisarus, sisar - ja velipuoli, henkilön ja hänen aviopuolisonsa tai häneen avioliitonomaisessa suhteessa olevan henkilön ylenevässä tai alenevassa polvessa oleva sukulainen sekä mainittujen henkilöiden aviopuolisot tai heihin avioliitonomaisessa suhteessa olevat henkilöt. Lähipiiriin luettaisiin lisäksi kuolinpesä, jossa luonnollisella henkilöllä tai edellä mainituilla henkilöillä on osuus. Määräysvallan tarkastelu tapahtuisi momentin 4 kohdan nojalla esimerkiksi molempien aviopuolisoiden omistuksen perusteella. Jos kumpikin aviopuoliso omistaisi 30 prosenttia ulkomaisesta yksiköstä, 1 momentissa tarkoitettu määräysvaltaa koskeva edellytys täyttyisi. 

2 a §. Euroopan talousalueella tai verosopimusvaltiossa asuvia yhteisöjä koskevat tarkemmat määräykset. Pykälä kumottaisiin. 

3 §.Taloudellinen toiminta. Pykälän määräysvaltaa koskeva säännös siirtyisi 2 §:ään ja 3 §:ssä säädettäisiin taloudelliseen toimintaan perustuvasta poikkeuksesta lain soveltamisalan pääsääntöön. 

Pykälän 1 momentti sisältäisi nykyisen 2 a §:n 1 momentissa olevan säännöksen taloudellista toimintaa harjoittavia Euroopan talousalueen valtioihin asettautuneita ulkomaisia yksiköitä koskevasta poikkeuksesta. Nykyisessä säännöksessä käytetyn asuinvaltion käsitteen sijaan käytettäisiin verotuksellisen kotipaikan ja lainkäyttöalueen käsitteitä, joilla tarkoitettaisiin samaa kuin nykyisen lain asuinvaltion käsitteellä. Poikkeuksen soveltuessa ulkomaista yksikköä ei pidettäisi väliyhteisönä, vaikka se olisi määräysvallassa ja sen verotuksen taso alittaisi 2 §:ssä säädetyn tason. 

Pykälän 2 momentissa säädettäisiin 1 momentissa tarkoitetun poikkeuksen soveltamisesta myös yksikköön, jonka verotuksellinen kotipaikka on Euroopan talousalueen ulkopuolisella lainkäyttöalueella. Poikkeusta ei sovellettaisi ulkomaiseen yksikköön, joka on Euroopan unionissa laaditulla yhteistyöhaluttomien lainkäyttöalueiden luettelossa. Poikkeuksen soveltuminen ratkaistaisiin sen perusteella, oliko ulkomaisen yksikön lainkäyttöalue luettelossa verovelvollisen verovuotta edellisen verovuoden päättyessä sekä kyseessä olevan verovuoden päättyessä. Jos lainkäyttöalue poistetaan luettelosta kesken verovuoden, poikkeusta voidaan soveltaa. Jos lainkäyttöalue otetaan luetteloon kesken verovuoden, poikkeusta voidaan silti soveltaa kyseisen verovuoden verotuksessa. 

Poikkeusta voitaisiin momentin 2 kohdan mukaan soveltaa Euroopan talousalueen ulkopuolisella lainkäyttöalueella sijaitsevaan yksikköön, jos Suomen viranomaisilla on mahdollisuus saada kyseisen lainkäyttöalueen viranomaisilta lain soveltamisen kannalta tarpeellisia tietoja ulkomaisen yksikön toiminnasta ja asettautumisesta. Tietojenvaihtoa koskeva ehdon täyttyminen edellyttää, että Suomen ja kyseisen lainkäyttöalueen välillä on sovittu tietojenvaihdosta, eikä ole tiedossa, ettei kansainvälisten vaatimusten mukainen tietojenvaihto kyseisen lainkäyttöalueen kanssa tosiasiassa toteudu. Tietojenvaihdon ei voida katsoa toteutuvan ennen kuin sopimuksen soveltaminen on alkanut. Jos tietojenvaihtoa koskevan edellytyksen on katsottu täyttyvän verovelvollisen verovuoden alkaessa tai myöhemmin verovuoden kuluessa, sen katsotaan täyttyneen koko verovuoden osalta. Jos kesken verovuoden ilmenee seikkoja, joiden vuoksi riittävää tietojenvaihtoa koskeva edellytys ei enää täyttyisi, tällä ei ole vaikutusta verovelvollisen kuluvan verovuoden verotukseen, vaan vasta seuraavan verovuoden verotukseen. 

Poikkeuksen soveltaminen Euroopan talousalueen ulkopuoliseen yksikköön edellyttäisi lisäksi, että yksikön tulot kertyvät pääasiallisesti sen lainkäyttöalueellaan harjoittamasta teollisesta tuotantotoiminnasta tai tällaista toimintaa välittömästi palvelevasta myynti- tai markkinointitoiminnasta. Poikkeusta voitaisiin soveltaa myös silloin, kun yksikön tulot kertyvät pääasiallisesti sen lainkäyttöalueellaan harjoittamasta teolliseen tuotantotoimintaan verrattavista muusta tuotannollisesta toiminnasta tai palvelutoiminnasta tai laivanvarustustoiminnasta tai tällaisia toimintoja välittömästi palvelevasta myynti- tai markkinointitoiminnasta. Poikkeus koskisi myös yksikköä, jonka tulot kertyvät pääasiallisesti suorituksista, joiden maksaja on samalla lainkäyttöalueella asuva ja siellä mainittua toimintaa harjoittava, samaan osakeyhtiölaissa tarkoitettuun konserniin kuuluva yksikkö. Teollisella tuotantotoiminnalla ja siihen verrattavilla muulla tuotantotoiminnalla ja palvelutoiminnalla tarkoitettaisiin toimintaa, jossa kehitetään ja tuotetaan fyysisiä tai aineettomia hyödykkeitä tai palveluita markkinoilla myytäväksi. Teolliseen tuotantotoimintaan verrattavana palvelutoimintana ei pidettäisi sijoittamiseen liittyvää toimintaa esimerkiksi silloin, kun kyse on henkilön sijoitusten hallinnasta tai hoitamisesta ulkomaisessa väliyhteisössä. Säännöksessä tarkoitettuna palvelutoimintana ei pidettäisi myöskään aineettoman omaisuuden omistamiseen ja siihen perustuvien oikeuksien luovuttamiseen liittyvää toimintaa. Säännöksessä tarkoitetaan tilannetta, jossa ulkomainen väliyhteisö, joka ei itse harjoita lainkäyttöalueellaan tutkimus- ja kehitystoimintaa, hoitaa edellä mainittua toimintaa osittain tai kokonaan keskitetysti konsernissa. Säännöksessä tarkoitettuna palvelutoimintana ei pidettäisi myöskään konsernin sisäiseen rahoitukseen tai vakuuttamiseen liittyvää toimintaa. Säännöksessä tarkoitettua palvelutoimintaa ei olisi myöskään esimerkiksi ulkomaisen väliyhteisön pelkät hallinnointi-, johto- ja valvontatoiminnot. Tästä voi olla kyse esimerkiksi silloin, kun yhtiön tulo muodostuu pääasiassa konserniyhtiöille tarjotuista sisäisistä palveluista veloitetuista hallinnointipalkkioista. Säännöksessä käytettäisiin lainkäyttöalueen käsitettä vastaavasti kuin muissakin pykälissä. 

Pykälän 3 momentti sisältäisi nykyisen 2 a §:n 2 momentissa olevan säännöksen, joka koskee pykälässä tarkoitetun taloudellisen toiminnan määritelmää. Nykyisessä säännöksessä käytetyn asuinvaltion käsitteen sijaan käytettäisiin verotuksellisen kotipaikan ja lainkäyttöalueen käsitteitä, joilla tarkoitettaisiin samaa kuin nykyisen lain asuinvaltion käsitteellä. 

4 §.Veronalainen tulo. Pykälään lisättäisiin uusi 3 ja 5 momentti. Nykyinen 3 momentti siirtyisi 4 momentiksi. 

Pykälän 1 momentissa säädettäisiin väliyhteisön osakkaan veronalaisesta väliyhteisötulosta. Momentista poistettaisiin säännös, jonka mukaan väliyhteisötulo on veronalaista vain, jos verovelvollisella yksin tai yhdessä etupiirinsä kanssa on väliyhteisöstä vähintään 25 prosentin osuus. Ehdotetun suomenkielisen 2 §:n mukaisesti säännöksessä käytetty termi välitön korvattaisiin termillä suora, jolla tarkoitettaisiin samaa kuin nykyisellä termillä välitön. Momenttiin lisättäisiin säännös, jonka mukaan yleisesti verovelvollisen veronalaista tuloa ei olisi se osuus väliyhteisötulosta, joka luetaan Suomen verotuksessa rajoitetusti verovelvollisen veronalaiseksi väliyhteisötuloksi. Säännös soveltuisi silloin, kun rajoitetusti verovelvollisella on Suomessa kiinteä toimipaikka ja yleisesti verovelvollinen omistaa osuuden kyseisestä rajoitetusti verovelvollisesta. Muilta osin säännöstä ei muutettaisi. 

Momentin mukaan veronalaista väliyhteisötuloa olisi ulkomaisen väliyhteisön tulosta se määrä, joka vastaa osakkaan suoraa tai ulkomaista välillistä osuutta väliyhteisöstä. Jos verovelvollisen osuus väliyhteisöstä on välillinen, verotettava osuus laskettaisiin suhteellisena osuutena, kuten nykyisin. Jos A Oy esimerkiksi omistaa 50 prosenttia ulkomaisesta B-yhtiöstä ja B puolestaan 50 prosenttia ulkomaisesta väliyhteisöstä, A Oy:lle kohdistettaisiin verotettavaksi 25 prosenttia väliyhteisön tulosta (50 % x 50 % = 25 %). Jos edellä mainitussa esimerkissä B-yhtiö olisi suomalainen osakeyhtiö, 50 prosenttia väliyhteisötulosta verotettaisiin B Oy:n tulona, jolloin väliyhteisön tuloa ei verotettaisi A Oy:llä. Edelleen, jos ulkomaisella B-yhtiöllä olisi Suomessa kiinteä toimipaikka, joka omistaisi B-yhtiön osuuden väliyhteisöstä, verotettaisiin B-yhtiön osuus väliyhteisötulosta Suomessa kiinteän toimipaikan tulona eikä väliyhteisötuloa verotettaisi A Oy:llä. 

Säännöksen soveltamista voidaan kuvata myös seuraavalla esimerkillä: 

Esimerkki 5 

Konsernirakenne olisi sama kuin esimerkissä 3 edellä. 

A Oy:tä verotettaisiin 20 prosentin omistusosuuden perusteella väliyhteisö X:n tulosta ja C Oy:tä 60 prosentin omistusosuuden perusteella. Lisäksi B Oy:tä verotettaisiin ulkomaisen välillisen omistusosuuden perusteella, jolloin B Oy:n osuus olisi 16 prosenttia (80 % x 20 %) väliyhteisötulosta. 

Pykälän 2 momentti sisältää nykyisin 2 momentissa olevan säännöksen. Säännöstä ei muutettaisi. 

Pykälän 3 momentissa säädettäisiin, että tietty osa luovutusvoitosta, jonka verovelvollinen saa väliyhteisöosuuden luovutuksesta ei ole veronalaista tuloa. Veronalaista tuloa ei ole määrä, joka on aiemmin luettu verotettavaksi väliyhteisötuloksi. Veronalaista tuloa määritettäessä huomioon olisi otettava myös 2 momentin mukaan verottamatta jätetty väliyhteisöltä saatu voitonjako. Jos tätä ei otettaisi huomioon, osakkaan verotuksessa huomioitaisiin sama väliyhteisötulona aiemmin verotettu määrä sekä väliyhteisöltä saatua voitonjakoa että luovutusvoittoa verotettaessa. Luovutusvoiton määrästä vähennettäisiin aiemmin väliyhteisötulona verotettu määrä, jota on pienennetty sillä osuudella, joka on 2 momentin nojalla otettu verotuksessa huomioon voitonjaon verotuksessa. Jälkimmäinen säännös soveltuisi esimerkiksi seuraavassa tilanteessa: Vuonna 1 A Oy:tä verotettaisiin C-yhtiöstä saadusta väliyhteisötulosta 100 euroa. Vuonna 2 C-yhtiö jakaisi A Oy:lle osinkoa 50 euroa, joka ei olisi A Oy:lle veronalaista tuloa 2 momentin nojalla. Vuonna 3 A Oy luopuisi osuudestaan C-yhtiössä ja luovutuksesta syntyisi 100 euroa veronalaista voittoa. Tästä luovutusvoitosta voitaisiin 3 momentin nojalla vähentää 50 euroa aiemmin väliyhteisötulona verotettua tuloa. 

Pykälän 4 momentti sisältäisi nykyisin 3 momentissa olevan säännöksen. Säännöstä ei muutettaisi. 

Pykälään lisättäisiin 5 momentti, jossa säädettäisiin, että väliyhteisötulo luettaisiin osakkaan sen verovuoden veronalaiseksi tuloksi, jona ulkomaisen yksikön verovuosi päättyy. Säännös vastaisi nykyisin verotuksessa noudatettua käytäntöä. 

6 §.Ulkomaisen veron hyvittäminen. Pykälän 1 momenttiin lisättäisiin säännös väliyhteisön jakamasta osingosta suoritetun lähdeveron hyvittämisestä osakkaan väliyhteisötuloa verotettaessa. Hyvitettävällä lähdeverolla tarkoitettaisiin väliyhteisön lainkäyttöalueella perittyä lähdeveroa. Laissa tarkoitetusta hyvitettävästä lähdeverosta on kyse, kun lähdevero peritään väliyhteisön osakkaalle jaetusta osingosta. Osingosta peritty lähdevero voidaan hyvittää osakkaalle väliyhteisötulon perusteella määrätystä verosta. Hyvitys ei voi ylittää samasta väliyhteisötulosta Suomessa suoritettavien verojen määrää. Säännöstä sovelletaan silloin, kun väliyhteisön jakama osinko on väliyhteisölain 4 §:n 3 momentin mukaan osakkaalle kokonaan tai osittain verovapaata tuloa. Muilta osin pykälää ei muutettaisi. 

Voimaantulo

Laki on tarkoitettu tulemaan voimaan vuoden 2019 alusta. Lakia sovellettaisiin ensimmäisen kerran vuodelta 2019 toimitettavassa verotuksessa. 

Ponsiosa 

Edellä esitetyn perusteella annetaan eduskunnan hyväksyttäväksi seuraava lakiehdotus: 

Lakiehdotus

Laki ulkomaisten väliyhteisöjen osakkaiden verotuksesta annetun lain muuttamisesta 

Eduskunnan päätöksen mukaisesti 
kumotaan ulkomaisten väliyhteisöjen osakkaiden verotuksesta annetun lain (1217/1994) 2 a §, sellaisena kuin se on laeissa 680/2008 ja 1491/2016, ja 
muutetaan 1, 2, 3 ja 4 § sekä 6 §:n 1 momentti, 
sellaisina kuin niistä ovat, 2 § osaksi laeissa 1091/1998 ja 680/2008, 4 § osaksi laissa 680/2008 ja 6 §:n 1 momentti laissa 1361/2009, seuraavasti: 
1 § Soveltamisala 
Verovelvollisen veronalaista tuloa on osuus ulkomaisen väliyhteisön tuloon siten kuin tässä laissa säädetään. Osuus ulkomaisen väliyhteisön tuloon on rajoitetusti verovelvollisen veronalaista tuloa, jos osuus liittyy rajoitetusti verovelvollisen Suomessa olevaan tuloverolain (1535/1992) 13 a §:ssä tarkoitettuun kiinteään toimipaikkaan 
2 § Ulkomainen väliyhteisö 
Ulkomaista yksikköä pidetään tässä laissa tarkoitettuna ulkomaisena väliyhteisönä, jos 
1) verovelvollisella on yksin tai yhdessä verovelvolliseen etuyhteydessä olevien yksiköiden ja luonnollisten henkilöiden kanssa suoraan tai välillisesti vähintään 25 prosenttia äänioikeuksista yksikössä, omistuksessaan suoraan tai välillisesti vähintään 25 prosenttia yksikön pääomasta tai oikeus saada vähintään 25 prosenttia yksikön voitosta tai varallisuuden tuotosta; ja 
2) yksikön verotuksen tosiasiallinen taso yksikön verotuksellisen kotipaikan mukaisella lainkäyttöalueella on alhaisempi kuin 3/5 Suomessa asuvan yhteisön verotuksen tasosta täällä. 
Ulkomaiseen väliyhteisöön rinnastetaan ulkomaisen yksikön ulkomainen kiinteä toimipaikka, joka täyttäisi tämän lain edellytykset, jos se olisi itsenäinen yksikkö. Lisäksi edellytetään, että kiinteä toimipaikka sijaitsee eri lainkäyttöalueella kuin ulkomainen yksikkö ja että siihen liittyvää tuloa ei ole verotettu lainkäyttöalueella, jolla yksikkö sijaitsee. 
Ulkomaisen väliyhteisön verotuksen tasoa määritettäessä ei oteta huomioon: 
1) väliyhteisön kiinteää toimipaikkaa, joka ei ole veronalainen tai joka on vapautettu verosta ulkomaisen väliyhteisön lainkäyttöalueella; eikä 
2) väliyhteisön toiselta väliyhteisöltä saamaa osinkoa, joka on jaettu voitosta, joka on jonkin osingonjakoa välittömästi edeltävän viiden verovuoden osalta otettu Suomessa huomioon viimeksi mainitun väliyhteisön tuloverotuksen tasoa arvioitaessa. 
Edellä 1 momentissa tarkoitetussa etuyhteydessä verovelvolliseen on: 
1) yksikkö tai luonnollinen henkilö, jolla on suoraan tai välillisesti vähintään 25 prosentin osuus verovelvollisen äänioikeuksista tai pääomasta tai oikeus saada vähintään 25 prosenttia sen voitoista; 
2) yksikkö, jonka äänioikeuksista ja pääomasta verovelvollisella on suoraan tai välillisesti vähintään 25 prosentin osuus tai jonka voitoista sillä on oikeus saada vähintään 25 prosenttia; 
3) yksikkö, jolla on yhteys verovelvolliseen sen perusteella, että luonnollisella henkilöllä tai jollain yksiköllä suoraan tai välillisesti on sekä siitä että verovelvollisesta vähintään 25 prosentin osuus; ja 
4) verovelvollisen ollessa luonnollinen henkilö, tämän lähipiiriin kuuluva toinen luonnollinen henkilö. 
3 § Taloudellinen toiminta 
Sen estämättä, mitä 2 §:ssä säädetään, ulkomaisena väliyhteisönä ei pidetä ulkomaista yksikköä, jonka kotipaikka on Euroopan talousalueeseen kuuluvassa valtiossa ja joka on todellisuudessa asettautunut asuinvaltioonsa ja tosiasiallisesti harjoittaa siellä taloudellista toimintaa. 
Edellä 1 momentissa säädettyä sovelletaan myös yksikköön, jonka verotuksellinen kotipaikka on Euroopan talousalueen ulkopuolisella lainkäyttöalueella, jos 
1) lainkäyttöalue ei ole ollut Euroopan unionin neuvoston hyväksymissä päätelmissä lueteltuna veroasioissa yhteistyöhaluttomaksi lainkäyttöalueeksi verovelvollisen verovuoden päättyessä sekä verovuotta edeltävän verovuoden päättyessä; 
2) lainkäyttöalueen kanssa on sovittu viranomaisten välisestä tietojenvaihdosta veroasioissa, joka mahdollistaa tämän lain soveltamisen kannalta riittävän tietojenvaihdon ja tietojenvaihto lainkäyttöalueen kanssa tosiasiallisesti toteutuu; ja 
3) yksikön tulon on selvitetty pääasiallisesti kertyneen yksikön lainkäyttöalueellaan harjoittamasta teollisesta tuotantotoiminnasta, siihen verrattavista muusta tuotanto- tai palvelutoiminnasta tai laivanvarustustoiminnasta taikka siellä harjoitetusta myynti- tai markkinointitoiminnasta, joka välittömästi palvelee teollista tuotantotoimintaa, siihen verrattavia muuta tuotanto- tai palvelutoimintaa tai laivanvarustustoimintaa harjoittavaa yksikköä, taikka suorituksista, joiden maksaja on sillä lainkäyttöalueella asuva ja siellä mainitunlaista toimintaa harjoittava, samaan osakeyhtiölain (624/2006) 8 luvun 12 §:ssä tarkoitettuun konserniin kuuluva yksikkö. 
Ulkomainen yksikkö on 1 momentissa tarkoitetulla tavalla asettautunut verotuksellisen kotipaikkansa lainkäyttöalueelle ja harjoittaa siellä taloudellista toimintaa, kun yksikön harjoittaman toiminnan luonne huomioon ottaen: 
1) yksiköllä on käytettävänään lainkäyttöalueella, jolla se sijaitsee, toimintansa harjoittamiseksi tarpeelliset toimitilat ja kalusto sekä varoja; 
2) yksiköllä on käytettävänään lainkäyttöalueella, jolla se sijaitsee, riittävä henkilökunta, joka on toimivaltainen itsenäisesti harjoittamaan yksikön liiketoimintaa; ja 
3) yksikön henkilökunta tekee itsenäisesti yksikön päivittäistä toimintaa koskevat päätökset. 
4 § Veronalainen tulo 
Veronalaista tuloa on verovelvollisen suoraa ja ulkomaista välillistä omistusosuutta taikka edunsaaja-asemaa vastaava osa ulkomaisen väliyhteisön tulosta. Siltä osin kuin tuloverolain (1535/1992) 9 §:ssä tarkoitettu rajoitetusti verovelvollinen on velvollinen suorittamaan väliyhteisötulosta veroa tuloverolain 10 §:n nojalla, tuloa ei lueta yleisesti verovelvollisen veronalaiseksi tuloksi. Edellä 2 §:n 3 momentin 2 kohdassa tarkoitetulla tavalla huomioon otetusta voitosta jaettua osinkoa ei pidetä veronalaisena tulona. 
Edellä 1 momentissa tarkoitetun osakkaan ulkomaisesta väliyhteisöstä saama osinko tai muu voitonjako on veronalaista tuloa vain siltä osin kuin se ylittää määrän, joka on samana tai viitenä edellisenä verovuonna 1 momentin nojalla luettu tämän osakkaan veronalaiseksi tuloksi. 
Edellä 1 momentissa tarkoitetun osakkaan ulkomaisesta väliyhteisöstä saama tulo, joka syntyy, kun verovelvollinen luopuu osuudestaan väliyhteisössä, on veronalaista tuloa vain siltä osin kuin se ylittää määrän, joka on aiemmin tämän lain nojalla luettu veronalaiseksi tuloksi. Määrästä, joka on aiemmin tämän lain nojalla luettu veronalaiseksi tuloksi, on tällöin vähennettävä 2 momentissa tarkoitettu voitonjako, joka ei ole ollut veronalaista tuloa. 
Osuus väliyhteisön tuloon luetaan sen tulolähteen tuloksi, johon väliyhteisön osakkeet kuuluvat. Veronalainen tulo säilyttää osakkaan verotuksessa myös alkuperäisen tulolajinsa. 
Väliyhteisötulo otetaan osakkaan verotuksessa huomioon verovuonna, jona ulkomaisen väliyhteisön verovuosi päättyy. 
6 § Ulkomaisen veron hyvittäminen 
Tämän lain nojalla verotettavasta tulosta maksettavasta verosta vähennetään se vieraalle valtiolle suoritettujen tuloverojen määrä, jonka ulkomainen väliyhteisö on maksanut samasta tulosta sekä ulkomaisen väliyhteisön jakamasta osingosta vieraalle valtiolle suoritettujen lähdeverojen määrä siltä osin kuin osinko on 4 §:n 2 momentin mukaan verovelvollisen verotuksessa verovapaa. Hyvitys ei voi ylittää samasta väliyhteisötulosta Suomessa suoritettavien verojen määrää. Jos ulkomaisen väliyhteisön suorittamien verojen tai osingosta suoritettujen lähdeverojen määrää ei kokonaan voida hyvittää, hyvittämättä jäänyt määrä vähennetään verovelvollisen vaatimuksesta tämän lain nojalla seuraavalta viideltä verovuodelta verotettavasta tulosta maksettavasta verosta. Käyttämättömään hyvitykseen sovelletaan kansainvälisen kaksinkertaisen verotuksen poistamisesta annetun lain (1552/1995) 5 §:n säännöksiä. 
Ponsiosa 
 Voimaantulopykälä tai –säännös alkaa 
Tämä laki tulee voimaan päivänä kuuta 20 . 
Lakia sovelletaan ensimmäisen kerran vuodelta 2019 toimitettavassa verotuksessa. 
 Lakiehdotus päättyy 
Helsingissä 1 päivänä marraskuuta 2018 
Pääministeri Juha Sipilä 
Valtiovarainministeri Petteri Orpo