1.1
Laki Ahvenanmaan itsehallintolain muuttamisesta
7 luku Ahvenanmaan maakunnan talous
Luvun otsikkoon ehdotetaan kielellistä muutosta nykyisestä ”Maakunnan taloudenhoito” selventävään ”Ahvenanmaan maakunnan talous”.
44 §.Taloudellinen itsehallinto. Pykälän 1 momenttiin ehdotetaan yleistä säännöstä Ahvenanmaan maakunnan taloudellisesta itsehallinnosta. Taloudellisesta itsehallinnosta seuraa kustannusvastuu itsehallinnon kuluista. Ehdotetussa luvussa säännellyn talousjärjestelmän tulee antaa maakunnalle taloudellinen turva itsehallintoon kuuluvien tehtävien hoitamiseen.
Maakunnalla on itsehallintolain 18 §:n 5 kohdassa säädetyllä tavalla lainsäädäntövalta tietyistä veroista ja maakunnan hallinnon perimien maksujen perusteista. Säännös tarkoittaa, että maakuntapäivillä on toimivalta säätää maakuntalakeja veroista, jotka tulevat suoraan Ahvenanmaan maakunnalle ja sen kunnille. Uudistuksen myötä Ahvenanmaan maakunnan itsehallinnon menoja katettaisiin pääasiassa valtion tilipäätökseen perustuvalla vuotuisella tasoitusmäärällä (45 §) sekä verotasoituksella (49 §). Lisäksi lakiehdotuksen 50 ja 51 §:ssä ehdotetaan nykyistä mahdollisuutta harkinnanvaraisen ylimääräisen määrärahan sekä lisäavustuksen poikkeuksellisissa oloissa myöntämiselle maakunnalle valtion varoista säilytettäväksi.
Pykälän 2 momentissa ehdotetaan vastaavalla tavalla kuin itsehallintolain nykyisessä 44 §:n 1 momentissa säädettäväksi maakuntapäivien tehtävästä päättää Ahvenanmaan vuotuisesta talousarviosta. Tässä ehdotetaan pientä terminologista muutosta sanasta ”vahvistaa” talousarvion sanaan ”päättää” tästä. Kuten nykyisinkin, maakuntalailla annettaisiin tarkempia säännöksiä maakunnan talousarviosta. Maakuntapäivillä on oikeus laatia talousarvio vapaasti. Maakuntapäivien nykyisten toimivaltuuksien mukaisesti sillä on myös toimivalta perustaa rahastoja, joita ei sisällytetä talousarvioon.
Ahvenanmaan maakunnalla on myös entiseen tapaan oikeus ottaa lainaa ja antaa obligaatiolainoja. Viimeksi mainitusta oikeudesta ehdotetaan selventävässä tarkoituksessa 3 momenttiin sisällytettäväksi säännös tästä. Säännös vastaa nykyistä 50 §:ä maakunnan lainanotosta.
45 §.Vuotuiset siirrot Ahvenanmaan maakunnalle. Pykälän 1 momentin sisältö vastaa tasoitusmäärän osalta nykyistä 45 §:ää. Lisäksi lakiehdotuksen 49 §:n mukaista verotasoitusta ehdotetaan nimenomaisesti mainittavaksi momentissa, koska tämän on tarkoitus olla toisena tärkeänä tasoitusjärjestelmän rahoituslähteenä itsehallinnon kulujen kattamiseksi. Tasoitusmäärän tulee yhdessä verotasoituksen kanssa normaalioloissa kattaa itsehallinnon rahoitustarpeet. Pykälän otsikossa ehdotetaan huomioitavaksi yhteinen nimike pääasiallisten rahoituslähteiden osalta.
Valtionverotus Ahvenanmaalla on valtakunnan lainsäädäntövaltaan kuuluva asia, kunnallisverotuksen sekä Ahvenanmaan maakunnalle tulevien verojen ja maksujen kuuluessa maakunnan lainsäädäntövaltaan. Ne valtionverot, jotka kannetaan Ahvenanmaalla, sisällytetään valtion tilinpäätökseen. Ahvenanmaalle suoritetaan jatkossakin vuosittain valtion varoista tasoitusmäärä, joka vahvistetaan erityisessä tasoituksessa. Kuten edellä on mainittu, maakunnalle ehdotetaan palautettavaksi valtion varoista myös 49 §:ssä säädetty verotasoitus. Maakunnan menojen kattamiseksi tarkoitettua talousjärjestelmää ehdotetaan rakennettavaksi siten, että kaikki valtiolle tulevat tulot ja verot on huomioitava joko tasoituksessa (46 §) tai verotasoituksessa (49 §). Poikkeuksen muodostavat yleisradiovero sekä uudet valtion lainat, jotka ovat ainoat valtion budjettitulot, joita ei ehdoteta talousjärjestelmässä huomioitaviksi (vrt. 46 ja 49 §). Ahvenanmaan valtuuskunnan tehtävistä tasoitukseen ja verotasoitukseen liittyen ehdotetaan jatkossakin säädettäväksi itsehallintolain 56 §:n 3 ja 4 momentissa.
46 §.Tasoitus. Tasoitusmäärä ehdotetaan laskettavaksi 1 momentin mukaan käyttäen perusteena valtion tilinpäätöksen mukaisia asianomaisen vuoden tuloja, toisin sanoen tasoituksen toimittamisvuonna tarkoitetut tulot, lukuun ottamatta ansio- ja pääomatuloveroa, yleisradioveroa ja rajoitetusti verovelvollisten maksamaa lähdeveroa (valtion talousarvion nykyinen momentti 11.01.01), yhteisöveroa ja tonnistovero (valtion talousarvion nykyinen momentti 11.01.02), arpajaisveroa (valtion talousarvion nykyinen momentti 11.10.06) sekä uusia valtion lainoja. Tätä laskentapohjaa ehdotetaan kutsuttavaksi lakiehdotuksessa tasoituspohjaksi. Valtion vuoden 2017 tilinpäätöksen mukaan tasoituspohja kohosi ehdotetussa järjestelmässä 37 822 miljoonaan euroon.
Pykälän 2 momentissa ehdotetaan säädettäväksi, että tasoitusmäärää laskettaessa on otettava huomioon myös puolet muutoksesta, joka on tapahtunut Ahvenanmaan väestömäärän suhteessa koko Suomen väestömäärään. Säännös on uusi. Ahvenanmaan väestöosuuden muutoksen puolen arvon huomioiminen tässä laskentaperusteessa pohjautuu seuraaviin perusteisiin. Talousjärjestelmän täytyy turvata itsehallinnon tarpeet. Tästä itsehallinnolle aiheutuvat kustannukset määräytyvät volyymin mukaan niin, että Ahvenanmaan maakunnan kustannukset nousevat silloin, kun Ahvenanmaan asukkaiden määrä kasvaa. Useampien yksilöiden täytyy saada sairaanhoitoa, oppilaiden määrä koululaitoksessa kasvaa jne. Kustannukset eivät kuitenkaan nouse suorassa suhteessa yksilöiden määrään, koska kiinteät ja yhteiset kustannukset voivat jakautua useiden kannettaviksi. Samasta syystä itsehallinnon kustannukset eivät myöskään alene suhteessa väestömäärän pienenemiseen, koska kiinteät kustannukset täytyy jakaa pienemmälle määrälle yksilöitä. Yleensä voidaan myös olettaa, etteivät myöskään verotulot nouse tai laske suorassa suhteessa väestömäärän muutokseen.
Väestömäärän muutoksen laskemista varten ehdotetaan sen vuoksi 2 momentin mukaan kerrointa, joka korottaa tai alentaa tasoitusmäärää. Kerroin annetaan ja laskemisessa sitä käytetään viiden desimaalin tarkkuudella.
Tasoitusmäärä lasketaan seuraavasti:
Tasoitusmäärä = (tasoituspohja*tasoitusperuste)*väestöosuuden muutoskerroin.
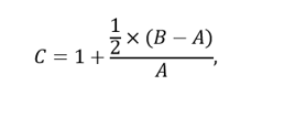
Väestösuhdemuutoksen kerroin lasketaan seuraavasti:
jossa A on Ahvenanmaan väestön osuus valtakunnan väestöstä vuonna t, B on vuoden t+n väestön osuus ja C on kerroin, jolla säädetään tasoitusmäärää.
Jos oletetaan, että tasoitusmäärä olisi ilman väestöosuuden muutosta 180 miljoonaa euroa ja Ahvenanmaan väestöosuus olisi 0,534 prosenttia vuonna t ja 0,538 vuonna t+1, tasoitusmäärä olisi vuonna t+1 seuraava:
Väestöosuutta verrataan aina lain 46 §:ssä säädetyn ajankohdan väestösuhteeseen.
Tasoitus ehdotetaan 3 momentin mukaan toimitettavaksi vuosittain jälkikäteen kultakin kalenterivuodelta. Säännös vastaa nykyistä 45 §:n 2 momenttia. Tasoitusmäärästä maksetaan ennakkoa. Uutta on ehdotus siitä, että ennakkoa maksetaan kuukausittain. Ahvenanmaan valtuuskunta on edelleen tarkoitettu lakiehdotuksen 56 §:n 3 ja 4 momentin mukaan vastaamaan tasoituksen vahvistamisesta ja tasoitusmäärän suuruudesta päättämisestä. Noudattamansa käytännön mukaan valtuuskunta päättää vuotuisen tasoituksen ennakon määrästä valtion talousarvioesityksen tietojen perusteella. Valtion tuloarviot muuttuvat talousarviovuoden aikana ja tämän perusteella tehdään lisätalousarvioissa muutoksia talousarvioihin. Ahvenanmaan valtuuskunta voi edellä mainittujen tietojen perusteella muuttaa aiempaa ennakon määrää koskevaa päätöstään. Valtuuskunnan käytännön mukaisesti valtion talousarvioista tasoitusmäärässä huomioitavien muutosten on oltava olennaisia ennen kuin muutos tehdään ennakkoon.
47 §.Tasoitusperuste ja sen muuttaminen. Tasoitusperusteeksi ehdotetaan 1 momentissa 0,45 prosenttia muutoslain tullessa voimaan. Tasoitusperuste ilmoitetaan jatkossakin kahden desimaalin tarkkuudella. Tasoitusperustetta muutettaessa käytetään tavallisia pyöristyssääntöjä, ja kolmas desimaali määrää lopullisen luvun. Talousjärjestelmän täytyy turvata itsehallinnon tarpeet.
Pykälän 2 momentti sääntelee tilanteet, joissa valtion tilinpäätöksen perusteet muuttuvat tasoitusmäärän suuruuteen vaikuttavalla tavalla. Jokainen tällainen valtion talousarvion muutos arvioidaan sen perusteella, miten se vaikuttaa Ahvenanmaan talouteen. Jotta muutos olisi 2 momentin mukainen, jonkin tilinpäätöksen rakennetta koskevan perusteen on muututtava. Tarkoituksena on, etteivät valtion tilinpäätöksen tekniset muutokset vaikuta tasoitusmäärään.
Koska valtion tilinpäätökseen otetut tulot riippuvat voimassa olevista budjetti- ja kirjanpitosäännöistä, 2 momentissa ehdotetaan säädettäväksi, että tasoitusperustetta on muutettava, jos valtion tilinpäätöksen perusteet muuttuvat tasoitusmäärän suuruuteen tasoitusperusteen toisen desimaalin yhtä yksikköä vastaavasti. Pienemmätkin pykälän mukaiset muutokset on otettava huomioon, jos nämä erikseen tai yhdessä johtavat pidemmän ajan kuluessa muutoksiin niihin olosuhteisiin nähden, jotka vallitsivat lain voimaan tullessa tai silloin, kun tasoitusperustetta viimeksi muutettiin.
Sellaisia säännöksessä tarkoitettuja rakennemuutoksia voivat olla esimerkiksi alakohtaiset siirrot valtion talousarviosta ulkopuolisiin rahastoihin, valtion ja julkistalouden muiden osien välisen tehtävänjaon muutokset, joilla ei ole vastaavaa vaikutusta Ahvenanmaalla, valtion toiminnan yhtiöittäminen sekä muutokset tavassa, jolla tulot valtion tilinpäätöksessä tilitetään (brutto-nettoperiaate). Valtion tilinpäätöksen rakennemuutos voi olla myös järjestely, jonka seurauksena aiemmin budjettituloina olleita tuloja kanavoidaan budjettitalouden ohi ja sijoitetaan uudelleen tai käytetään velvoitteisiin, jotka aiemmin ovat kuormittaneet budjettitaloutta. Arvioitaessa sitä, onko muutos rakenteellinen, otetaan huomioon, että tasoitusperuste on tekninen suhdeluku.
Pelkästään eri tuloryhmien keskinäisten suhteiden vaihtelu ei aiheuta 2 momentissa tarkoitettua muutosta. Kyseessä on valtion tulojen keskinäinen muutos esimerkiksi silloin, kun välittömien verojen kertymä alenee ja välillisten verojen vastaavasti kasvaa. Eri tuloerien suuruudessa tapahtuu aika ajoin luonnollista vaihtelua. Tasoitusperustetta ei ole syytä muuttaa tällaisen vaihtelun johdosta. Tasoitusperustetta ei ole syytä muuttaa myöskään silloin, kun eri verolajien tai valtion talousarvion tuloerien kesken tapahtuu siirtymiä. Tasoitusperusteen muutoksessa on kuitenkin otettava huomioon verotasoitukseen ja tasoitusperusteeseen sisältyvien verojen keskinäiset siirtymät, joiden taloudelliset vaikutukset ovat olennaisia.
Pykälän 3 momentti sääntelee tilanteet, joissa tasoitusperustetta on korotettava Ahvenanmaan maakunnan tosiasiallisten menojen lisääntymisen vuoksi. Perustetta korotetaan 2 momentin 1 kohdan mukaan, jos menojen taso on noussut sen vuoksi, että maakuntapäiville on 29 §:n 1 momentin mukaisesti siirretty uutta lainsäädäntövaltaa. Ehdotettu kohta on uusi ja se seuraa siitä, että maakunnan lainsäädäntövaltaan voidaan nykytilassa eduskunnan ja Ahvenanmaan maakuntapäivien yhtäpitävin päätöksin kokonaan tai osittain siirtää eräitä toimivallan aloja, joista säädetään itsehallintolain nykyisessä 29 §:n 1 momentissa. Tilanteessa, jossa pykälässä säädetty toimivallan alan siirto ajankohtaistuu, tulee siirron kaikkia vaikutuksia, mukaan lukien esimerkiksi siirrosta valtionhallinnolle Ahvenanmaalla ja maakunnalle johtuvia hallinnollisia vaikutuksia, samoin kuin muita taloudellisia vaikutuksia valtakunnalle ja maakunnalle, selvittää siinä järjestyksessä, jota noudatetaan hallituksen esityksiä valmisteltaessa. Vaikutusten arvioinnista huolehditaan siten valmisteltaessa itsehallintolain 29 §:n 2 momentissa säädettyä valtakunnan lakia toimivallan alan siirtämiseksi. Arvioitaessa lakiehdotuksen vaikutuksia Ahvenanmaalla on syytä huomioida Ahvenanmaan vallitseva hintataso, maakunnan syrjäinen sijainti ja erityisolosuhteet sekä väestön erityiset elinolosuhteet. Eduskunnan ja maakuntapäivien yhtäpitävästä päätöksestä toimivallan alan tai tämän osan siirrosta johtuvat mahdolliset menolisäykset maakunnalle, ovat sitten lakiehdotuksen 48 §:ssä ehdotetun menettelyn kohteena sen arvioimiseksi, onko syytä muuttaa tasoitusperustetta.
Momentin 2 kohdan mukaan tasoitusperustetta korotetaan, jos Ahvenanmaan maakunnan hallitus tai tämän alainen viranomainen ottaa valtakunnan viranomaisilta hallintotehtäviä. Kun tietty hallintotehtävä siirretään, korotuksen vahvistamisen perusteeksi on otettava kyseisten tehtävien kustannukset valtiolle siirron ajankohtana. Yleisenä edellytyksenä kohdassa mainitulle korotukselle on, että Ahvenanmaan maakunnan hallitus voi viitata sellaisiin lisääntyneisiin menoihin, joiden ei ole edellytetty sisältyvän normaaliin tasoitusmäärään. Kokonaan uudet yhteiskunnalliset sitoumukset eivät yleensä voi aiheuttaa tasoitusperusteen muuttamista, koska sellaiset uudet tehtävät on rahoitettava lisätuloilla sikäli kuin niistä aiheutuu valtiolle kustannuksia, ja ne korottavat siten tasoitusmäärää. Jos uusia hallintotehtäviä siirretään sopimusasetuksella valtionhallinnolta maakunnan viranomaiselle tai päinvastoin, tapana on ottaa sopimusasetukseen säännös hallintotehtävistään luopuvan viranomaisen kustannusvastuusta siirron kohteena olevista tehtävistä johtuvista kustannuksista. Tämän menettelyn kautta sopimusasetusasioissa on vältytty tarpeelta tarkistaa tasoitusperusteen muuttamisedellytyksiä.
Tasoitusperustetta on 2 momentin 3 kohdan mukaan korotettava, jos itsehallinnon tehtävien hoitaminen ja siten itsehallinnon tarkoitusten toteuttaminen aiheuttaa olennaisia lisäkustannuksia. Säännöksen lähtökohtana ovat ne perusvelvoitteet, joihin Suomi on sitoutunut Ahvenanmaan sopimuksella, nimittäin väestön ruotsin kielen, kulttuurin ja paikallisten perinteiden säilyttäminen. Tästä seuraa valtiovallan velvollisuus kustantaa tai ottaa suorittaakseen tarvittavat toimenpiteet itsehallinnon keskeisten tavoitteiden vaarantuessa.
Tasoitusperustetta on 2 momentin 4 kohdan mukaan korotettava, jos maakuntaa rasitetaan sellaisilla uusilla menoilla tai menojen kasvulla, joita ei ole voitu ennakoida vuoden 1991 itsehallintolakia säädettäessä. Tehtävät, joilla on laajemmassa mielessä merkitystä myös Ahvenanmaan ulkopuolella ja jotka siis kytkeytyvät tiettyihin valtakunnallisiin tavoitteisiin, voivat sen sijaan tulla kysymykseen tapauksissa, joihin 2 momentin 2 kohta ei sovellu. Esimerkkinä voidaan mainita menot, jotka perustuvat valtakunnalliseen velvoitteeseen, joka on seurausta siitä, että Ahvenanmaan maakunnan viranomaiset hoitavat itsehallintolain nojalla eräitä valtakunnan toimivaltaan kuuluvia hallintotehtäviä. Kyse voi olla myös menoista, joihin maakuntaa velvoittaa kansainvälinen tai EU-oikeudellinen velvoite ja joita ei säännellä muuten. Tarkoituksena on, että tässä kohdassa tarkoitetaan myös sellaisia velvoitteita ja kuluja, joita ei rahoiteta muulla tavalla. Kohta koskee niin ikään valtakunnan sellaisia rakenteellisia uudistuksia, joiden kautta valtakunnan lainsäädäntövaltaan myös Ahvenanmaalla kuuluvat tietyn toimivalta-alan hallintotehtävät muuttavat muotoaan merkittävästi siten, että nämä on uudistuksen jälkeen katsottava itsehallintolaissa säädetyn maakunnan ja valtakunnan lainsäädäntövallan jaon nojalla maakuntapäivien toimivaltaan ja siten myös tämän kustannusvastuuseen kuuluviksi. Tämä voi koskea esimerkiksi tilannetta, jossa sosiaalivakuutukseen kuuluvia yksilöille tulevia maksuja siirrettäisiin sosiaalitoiminnan alaisuuteen hallinnoitaviksi. Säännöksen nojalla ei sen sijaan voida kattaa muita kuluja, jotka syntyvät sellaisista yhteiskunnallisista tehtävistä, joita Ahvenanmaan maakunta on päättänyt hoitaa ja jotka eivät valtakunnassa saa valtion rahoitusta. Pelkkä hallinnon lisääntyminen ei myöskään anna aihetta tasoitusperusteen korottamiselle, vaikka se aiheuttaisi huomattavia kuluja maakunnalle.
Tasoitusperustetta on 3 momentin mukaan alennettava, jos valtakunnalle on siirtynyt Ahvenanmaan maakunnan viranomaisille kuuluvia hallintotehtäviä ja maakunnan menot ovat tämän johdosta pienentyneet. Näin voi käydä esimerkiksi silloin, kun valtakunnan viranomainen hoitaa sopimusasetuksen nojalla lain mukaan jollekin Ahvenanmaan viranomaiselle kuuluvia hallintotehtäviä eikä Ahvenanmaan maakunnan kustannusvastuusta ole säädetty erikseen sopimusasetuksella. Alennus lasketaan samoin perustein kuin 2 momentin 1 kohdassa tarkoitetuissa tapauksissa.
48 §.Menettely tasoitusperusteen muuttamisessa. Pykälän 1 momentissa ehdotetaan nykyisen 47 §:n 5 momentin perusajatuksen mukaisesti säädettäväksi, että tasoitusperusteen muuttamisesta säädetään valtakunnan lailla, johon maakuntapäivät on antanut suostumuksensa. Ehdotettu säätämisjärjestys on poikkeus itsehallintolain muutoksiin sovellettavasta 69 §:n mukaisesta perustuslainsäätämisjärjestyksestä.
Ahvenanmaan valtuuskunnan asemaa ehdotetaan pykälässä laajennettavan sellaisen prosessin tehtävillä, joka toistuu pääsääntöisesti kolmen vuoden välein ja jossa arvioidaan, tuleeko toisaalta Ahvenanmaan maakunnan ja valtion välisen vastuunjaon ja toisaalta valtion tilinpäätöksen perusteiden muutokset ottaa huomioon tasoitusperusteessa. Tasoitusperustetta on muutettava esimerkiksi, jos edellisten kolmen vuoden tapahtumien vaikutus tasoitusmäärään on riittävän suuri. Jos kustannukset on tarpeen tarkistaa esimerkiksi 29 §:n 1 momentissa säädetyn lainsäädäntövallan muutoksen johdosta, Ahvenanmaan maakunnan hallitus tai valtiovarainministeriö voi pyytää valtuuskuntaa arvioimaan kustannukset jo aiemmin.
Pykälän 2 momentissa ehdotetaan uutena asiana säädettäväksi, että valtiovarainministeriö ja Ahvenanmaan maakunnan hallitus arvioivat vähintään joka kolmantena vuotena, onko 47 §:n 2—4 momentin mukaan perusteita muuttaa tasoitusperustetta ja antavat ehdotuksensa tästä Ahvenanmaan valtuuskunnalle. Jos toinen osapuolista pyytää arvioinnin tekemistä aiemmin kuin kolmen vuoden kuluttua, toisen osapuolen on osaltaan myötävaikutettava siihen, että ehdotus luovutetaan Ahvenanmaan valtuuskunnalle ”kohtuullisessa ajassa”. Käsite ”kohtuullisessa ajassa tähtää menettelyyn, joka on sopusoinnussa perustuslain 21 §:ssä säädetyn hyvän hallinnon periaatteen kanssa. Muussa tapauksessa valtuuskunta käsittelee asian toisen osapuolen ehdotuksen perusteella kuultuaan toista osapuolta. Tämä tarkoittaa sitä, että ehdotus on esitettävä valtuuskunnalle myös siinä tapauksessa, etteivät osapuolet katso tasoitusperusteen muuttamista tarpeelliseksi, ja siinäkin tapauksessa, että osapuolet ovat eri mieltä muuttamisen tarpeellisuudesta.
Pykälän 3 momentin mukaan valtuuskunta antaa ehdotuksensa valtioneuvostolle, joka antaa lakiehdotuksen eduskunnalle. Kuten 1 momentista käy ilmi eduskunta päättää jatkossakin tasoitusperusteen muuttamisesta maakuntapäivien suostumuksella. Valtioneuvoston yleisistunto tekee valtiovarainministeriön esityksestä viipymättä päätöksen valtuuskunnan ehdotukseen pohjautuvan lakiehdotuksensa luovuttamisesta eduskunnalle. Koska päätöksen voimaantulo edellyttää maakuntapäivien suostumusta, valtioneuvoston on pyrittävä siihen, että hallituksen esitys tasoitusperusteen muuttamiseksi valmistellaan yhteistyössä Ahvenanmaan maakunnan hallituksen kanssa.
49 §.Verotasoitus. Pykälän 1 momentissa ehdotetaan säädettäväksi, että Ahvenanmaan maakunnalle palautetaan vuosittain valtion varoista Ahvenanmaalla maksuun pannut valtion ansiotulo- ja pääomatuloverot, rajoitetusti verovelvollisten maksamat lähdeverot, yhteisöverot ja tonnistoveron, sekä Ahvenanmaalla maksetun arpajaisveron rahamäärät. Momentin 3—5 virkkeessä ehdotetaan säädettäväksi, että verotasoitus suoritetaan vuosittain jälkikäteen jokaiselle verovuodelle. Verotasoitusmäärästä ehdotetaan vastaavasti maksettavaksi kuukausittain ennakkoa. Ennakkomäärä lasketaan käyttämällä perustana aikaisemman verotuksen toteumaa ja asianmukaisia ennusteita. Valtuuskunnan tehtävänä on ehdotetun 56 §:n 3 ja 4 momentin mukaan vastaavasti kuten tasoitusmäärän osalta toimittaa verotasoitus sekä päättää verotasoituksen ennakkojen suuruudesta.
Ehdotettu verotasoitus korvaisi nykyisen verohyvityksen. Verohyvitys sisällytettiin nykyiseen itsehallintolakiin, jotta se kannustaisi ahvenanmaalaisia viranomaisia harjoittamaan sellaista elinkeinopolitiikkaa, joka mahdollistaa verotulojen kasvun. Verohyvitys korvaisi hallituksen esityksen mukaan tietyllä tavalla ahvenanmaalaisten toivetta omasta verolainsäädännöstä ja -hallinnosta (HE 73/1990 vp., s. 58). Sama peruste pätee nyt ehdotettavaan verotasoitukseen.
Verohyvityksen perusteena on nykyisen 49 §:n mukaan maksuun pannut verot. Vastaavaa järjestelmää ehdotetaan käytettäväksi verotasoituksessa huomioitavien veromäärien laskemiseen niin, että ne lasketaan erikseen. Mahdollisten oikaisujen, valitusten tai myöhempien maksuunpanojen vaikutuksia ei siten oteta huomioon. Verojen todellista kertymää ei myöskään tarkastella. Perusteena on se, että järjestelmän tulee olla helposti hallinnoitavissa. Verohallinnosta saatujen tietojen mukaan maksuun pannuista tuloveroista kertyy noin 99,7 prosenttia. Tietoja ei ole saatavissa alueittain valtionveron osalta, mutta Ahvenanmaan kuntien osalta kertymäprosentti on hieman parempi kuin edellä mainittu. Lisäksi on hallinnollisista syistä perusteltua käyttää verotasoitusennakon laskentaperusteena maksuun pantujen verojen määrää ja asianmukaisia ennusteita. Arpajaisvero maksetaan omasta aloitteesta. Verotasoitusta varten arpajaisvero lasketaan Ahvenanmaalla maksetun veron pohjalta.
Pykälän 2 momentissa ehdotetaan säädettäväksi, että jos 1 momentissa tarkoitettu yhteisöveron ja pääomatuloveron yhteenlaskettu toteuma alittaa yli 10 prosentilla vastaavan summan, joka olisi kohdistettu Ahvenanmaan maakunnalle tasoituksen kautta, jos kyseiset verot olisivat sisältyneet tasoituspohjaan, kuuluu erotus maakunnalle. Ehdotetaan säädettäväksi, että arviointi perustuisi sekä 46 §:n 1 momentissa säädettyyn tasoituspohjaan, että saman pykälän 2 momentissa säädettyyn väestönmääräkertoimeen, jotka pätevät tasoitusmäärän laskentaan. Ehdotettu säännös viittaa tilanteeseen, jossa yhteisöverotulojen ja pääomatuloverojen taso vaihtelee voimakkaasti, eikä voida katsoa olevan perusteltua, että maakunta kantaisi siihen liittyvän taloudellisen riskin kokonaisuudessaan yksin. Säännöksen 10 prosentin laukaisumekanismin on tarkoitus toimia järjestelmässä eräänlaisena omavastuuna.
2 momentti lasketaan seuraavasti:
jossa A on 1 momentissa tarkoitettu yhteisöveron ja pääomatuloveron yhteenlaskettu määrä ja B on ((tasoitusperuste * (yhteisövero + pääomatulovero))* väestömäärämuutoksen kerroin) *0,9.
Jos oletetaan, että tasoitusperuste on 0,44 % ja että yhteisöveron ja pääomatuloveron yhteenlaskettu määrä on 9 000 miljoonaa euroa, josta Ahvenanmaan osuus on 1 momentin mukaan 30 miljoonaa euroa ja josta väestönmuutosten kerroin on 1,00383, 3 momentti lasketaan seuraavasti:
Edellä olevassa esimerkissä Ahvenanmaan tuloutetun yhteisöveron ja pääomatuloveron yhteenlaskettua määrää eli 30 miljoonaa euroa korotettaisiin 5,8 miljoonalla eurolla 35,8 miljoonaan euroon.
Valtion talousarvioon on vuodesta 1992 alkaen sisältynyt määräraha arpajaisveron palauttamiseksi Ahvenanmaan maakunnalle. Valtion velvollisuus palauttaa maksettu vero itsehallinnolle perustuu poliittiseen sopimukseen ja eduskunnan vastaukseen hallituksen esitykseen ehdotuksesta arpajaisverolaiksi (HE 15/1992 vp—EV 54/1992 vp). Eduskunta edellytti, että hallitus sisällyttää tämän määrärahan vuosittain talousarvioon. Vuosina 2006—2017 palautettiin keskimäärin 9,3 miljoonaa euroa.
Pykälän 1 momentissa mainitulla Ahvenanmaalla maksetulla arpajaisverolla tarkoitetaan nykytilanteessa varoja, jotka Ålands penningautomatförening-niminen raha-automaattiyhdistys (PAF) maksaa arpajaisverona. Pykälän on tarkoitus kodifioida nykyinen käytäntö ja se vastaa siten nykyistä järjestelyä. Lainsäädäntövallan jakoa Ahvenanmaalla arpajaisveron suhteen ei koskaan ole ratkaistu lopullisesti esimerkiksi maakuntalakien lainsäädäntövalvonnan yhteydessä.
50 §.Ylimääräinen määräraha. Pykälä vastaa nykyistä 48 §:ää. Tämä sisältyi jo vuoden 1951 itsehallintolakiin, mutta ruotsinkielinen nimike oli tuolloin ”extraordinarieanslag” (ylimääräinen määräraha).
Pykälässä ehdotetaan lakiteknisistä syistä huomioitavaksi, että esitys tehdään Ahvenanmaan valtuuskunnalle. Ehdotetaan, että valtuuskunnalla säilyisi tämän nykyinen tehtävä, sellaisena kuin siitä säädetään itsehallintolain 56 §:n 3 momentin 3 kohdassa, myöntää ylimääräinen määräraha ja päättää siihen mahdollisesti liittyvistä ehdoista.
Mahdollisuus myöntää ylimääräinen määräraha poikkeuksellisille menoille ja kertainvestoinnille ehdotetaan siten säilytettäväksi asiallisesti muuttamattomana. Ylimääräinen määräraha voidaan myös jatkossa myöntää sellaisiin Ahvenanmaan itsehallinnon puitteisiin kuuluviin tehtäviin, joita ei niiden aiheuttamien poikkeuksellisen suurten kustannusten perusteella voida kohtuudella katsoa kuuluvan rahoitettavaksi Ahvenanmaan talousarviosta. Tällä tavalla rahoitettavat hankkeet voivat olla sekä monivuotisia että yksivuotisia. Kyseessä on oltava maakunnan lainsäädäntövaltaan kuuluvat tehtävät.
51 §.Lisäavustus poikkeuksellisissa olosuhteissa. Pykälän sisältö vastaa nykyistä 51 §:ää, jossa säädetään erityisistä avustuksista. Pykälässä on kyse Ahvenanmaan maakunnalle tietyissä tapauksissa myönnettävistä valtion avustuksista. Lisäavustus on yleensä kertaluonteinen. Sen vuoksi ehdotetaan nimikkeen muutosta. Niistä tapauksista, joissa lisäavustus on myönnettävä, säädetään 1 momentissa. Perusteet ovat samat kuin nykyisessä pykälässä. Säännöksessä ehdotetaan lakiteknisistä syistä Ahvenanmaan valtuuskunnan nykyisen asianyhteyteen kuuluvan tehtävän huomioimista. Itsehallintolain 56 §:n 3 momentin 3 kohdan mukaan Ahvenanmaan valtuuskunnan kuuluu jatkossakin myöntää lisäavustus poikkeuksellisissa olosuhteissa sekä päättää näihin mahdollisesti liittyvistä ehdoista.
Pykälän 1 momentin 1 kohdan mukaan Ahvenanmaan maakunnalle myönnetään valtion varoista lisäavustus erityisesti maakuntaan kohdistuvien olennaisten kansantaloudellisten häiriöiden ehkäisemiseksi tai poistamiseksi. Tässä on kysymys Ahvenanmaan maakunnan elintärkeitä etuja uhkaavasta taloudellisesta taantumasta. Tällainen tilanne saattaa syntyä esimerkiksi Ahvenanmaan taloudelle erittäin tärkeiden suhdanneherkkien alojen kuten merenkulun tai matkailusta riippuvaisten palveluelinkeinojen taantuessa voimakkaasti. Säännös edellyttää häiriöiden aiheutuneen Ahvenanmaan ulkopuolisista toimenpiteistä. Näin ollen on perusteltua, että Ahvenanmaan maakunta saa tästä korvausta valtionavustuksen muodossa.
Pykälän 1 momentin 2 kohdassa ehdotetaan, että Ahvenanmaan maakunnalla on oikeus saada lisäraha luonnonkatastrofista, ydinvoimaonnettomuudesta, öljypäästöstä tai niihin rinnastettavasta tapahtumasta aiheutuvien kustannusten kattamiseksi. Edellytyksenä on, ettei kustannusten jääminen yksin maakunnan kannettavaksi ole kohtuullista. Ei ole esimerkiksi kohtuullista, että Ahvenanmaan maakunta yksin vastaisi suurehkon öljyonnettomuuden kustannuksista. Lisäavustus olisi myönnettävä etenkin sellaisissa tilanteissa, jolloin maakunnan viranomaisten toimin on estetty vahingon seuraamusten ulottuminen maan muihin osiin. Säännös edellyttää valtiovallan valvovan maakunnan etuja kansainvälisissä yhteyksissä, esimerkiksi öljysuojarahastossa.
Ahvenanmaan maakunnan hallitus tekee esityksen lisäavustuksen hakemisesta Ahvenanmaan valtuuskunnalle. Esitys on 2 momentin mukaan tehtävä viimeistään kustannusten syntymistä seuraavana vuonna. Pykälässä ehdotetaan lakiteknisistä syistä lisäksi huomioitavaksi Ahvenanmaan valtuuskunnan nykyinen tehtävä, sellaisena kuin siitä säädetään itsehallintolain 56 §:n 3 momentin 3 kohdassa, myöntää lisäavustusta ja päättää siihen mahdollisesti liittyvistä ehdoista. Momentissa ehdotetaan huomioitavaksi, että esitys tehdään Ahvenanmaan valtuuskunnalle.
Saman momentin mukaan asia on ratkaistava, jos mahdollista, kuuden kuukauden kuluessa sen vireille saattamisesta. Säännös vastaa nykyistä 51 §:n 2 momenttia. Säännökseen ei ole asetettu ehdotonta aikarajaa, koska esimerkiksi suurissa öljypäästöissä saattaa olla vaikea esittää tarpeellinen selvitys mainitussa ajassa. Ennen kuin Ahvenanmaan valtuuskunta tekee päätöksensä, sen on kuultava valtion toimivaltaisia viranomaisia.
56 §.Ahvenanmaan valtuuskunnan tehtävät. Ehdotetaan, että Ahvenanmaan valtuuskunnan uudet tehtävät lisätään 3 momenttiin, siten kuin ne tasoitusperusteen muuttamisesta käyvät ilmi 48 §:n 2 ja 3 momentista, sekä siten, että 49 §:n 1 momentissa säädetty tehtävä verotasoituksen sekä sen ennakon suuruuden vahvistamisesta lisätään pykälän 3 momentin 1 kohtaan ja 4 momenttiin. Valtuuskunnan 48 §:n momentissa tarkoitetusta tehtävästä ehdotetaan selkeyden vuoksi mainintaa 3 momentin 3 kohdassa. Ahvenanmaan valtuuskunnan tasoitusjärjestelmään kuuluvista tehtävistä huolehtiminen edellyttää jatkossakin, että oikeansisältöistä perustietopohjaa pidetään valtuuskunnan saatavilla. Välttämättömät tiedot, sisältäen luotettavia lukuja ja näihin verrattavissa oleva perustietoja, on jatkuvasti toimitettava Ahvenanmaan valtuuskunnalle. On etenkin kyse tiedoista, jotka ovat valtionvarainministeriön ja Verohallinnon hallussa. Esimerkiksi vuotuisen tasoitusmäärän vahvistamiseksi valtuuskunta tarvitsee valtion tilinpäätöksen alustavien ja lopullisten tietojen lisäksi tietoja Ahvenanmaan väestönmäärässä suhteessa koko Suomen väestömäärään tapahtuneista muutoksista. Tasoitusmäärä lasketaan sitten 46 §:n 2 momentin yksityiskohtaisissa perusteluissa olevan laskukaavan mukaisesti.