Senast publicerat 03-11-2021 14:04

Regeringens proposition RP 320/2018 rd Regeringens proposition till riksdagen med förslag till lag om ändring av självstyrelselagen för Åland

PROPOSITIONENS HUVUDSAKLIGA INNEHÅLL

I propositionen föreslås det att självstyrelselagen för Åland ändras så, att lagens bestämmelser om landskapet Ålands ekonomi i huvudsak förnyas. Dessutom föreslås det i bestämmelserna vissa lagtekniska och mindre terminologiska förändringar. Förslaget bygger på den överenskommelse för den föreslagna regleringen om landskapet Ålands ekonomi som nåddes vid beredningen av totalrevisonen av en ny Ålands självstyrelselag. Enligt den samsyn som råder mellan regeringen och Ålands landskapsregering är totalrevisionen avsedd att slutföras under de valperioder som närmast följer på denna valperiod. 

Det ekonomiska systemet för finansiering av självstyrelsens utgifter bygger på det nuvarande avräkningssystemet, men görs flexiblare. Enligt den behörighetsfördelning som föreskrivs mellan landskapet och riket i självstyrelselagen, hör statsbeskattningen på Åland till rikets lagstiftningsbehörighet, dvs. till riksdagens befogenheter, medan bland annat kommunalbeskattningen utgör ett behörighetsområde som hör till landskapets behörighet, dvs. till Ålands lagting. De statsskatter som uppbärs på Åland tas in i statsbokslutet. Det föreslås i propositionen att till landskapet Åland för finansiering av utgifter som hänför sig till självstyrelsen återförs statsmedel genom ett avräkningssystem som påminner om det nuvarande, men som ska kunna ändras smidigare. Vid dimensioneringen av det nya avräkningssystemet har i jämförelse med nuläget beaktats ett tillägg för att höja nivån på grundfinansieringen för landskapet Åland för att trygga att landskapet kan genomföra sina uppgifter.  

Det nuvarande systemet för skattegottgörelsen föreslås ersatt med ett system med skatteavräkning. Den föreslagna systemändringen har två syften. Dels är avsikten med skatteavräkningen att den ska fungera som ett effektivare incitament för att utveckla skattekraften på Åland än den nuvarande skattegottgörelsen. Dels ska skatteavräkningen fungera neutralt i förhållande till planerade och kommande statliga förvaltningsreformer. I den skatteavräkning som föreslås har beaktats de effekter som ikraftträdandet av landskaps- och vårdreformen har på tillämpningen av skattegottgörelsen sådan denna föreskrivs i självstyrelselagen (GrUU 26/2017 rd). 

Genom reformen finansieras utgifterna för självstyrelsen i huvudsak genom det årliga avräkningsbeloppet som grundar sig på statsbokslutet samt på den föreslagna skatteavräkningen. Dessutom föreslås det att möjligheten till extra anslag enligt prövning och tillskott för exceptionella förhållanden bibehålls. 

Den föreslagna lagen avses träda i kraft den 1 januari 2021. 

ALLMÄN MOTIVERING

Nuläge och föreslagna ändringar

1.1  Nuläge

1.1.1  Finansieringen av landskapet Ålands utgifter för självstyrelsen

Landskapet Åland har enligt 18 § 5 punkten i självstyrelselagen lagstiftningsbehörighet i fråga om landskapet tillkommande tilläggsskatt på inkomst och tillfällig extra inkomstskatt, landskapet tillkommande närings- och nöjesskatter, grunderna för avgifter till landskapet och kommunerna tillkommande skatter. Statsbeskattningen hör enligt 27 § 36 punkten i självstyrelselagen till rikets lagstiftningsbehörighet. 

Det ekonomiska systemet för landskapet Åland, avräkningssystemet, är uppbyggt så att de skattskyldiga betalar skatt till staten enligt samma grunder som de skattskyldiga i övriga delar av landet. Via statsbudgeten överförs medel till landskapet för att finansiera de offentliga förvaltningsuppgifter som landskapets myndigheter inom ramen för självstyrelsen sköter på Åland i stället för staten. Detta sker enligt självstyrelselagen huvudsakligen genom avräkning, skattegottgörelse och extra anslag. Landskapet har fri budgeteringsrätt, dvs. skattemedlen kan användas på det sätt Ålands lagting beslutar. 

Det penningbelopp som landskapet årligen får genom avräkningssystemet, avräkningsbeloppet, beräknas så att de i statsbokslutet för respektive år redovisade inkomsterna med undantag för upptagna nya statslån multipliceras med ett visst relationstal (avräkningsgrunden). Enligt 47 § i självstyrelselagen är avräkningsgrunden 0,45 procent. Avräkningen verkställs årligen i efterhand för varje kalenderår, och på avräkningsbeloppet betalas ett årligt förskott som beaktas vid uträkningen av det slutliga avräkningsbeloppet. I statsbokslutet har inkomsternas totalbelopp efter avdrag för nettoupplåningen vanligen avvikit från beloppet i budgetpropositionen inklusive tilläggsbudgetpropositionerna. Detta betyder att det slutliga avräkningsbeloppet kan vara större eller mindre än förskottsbeloppet, om detta inte justerats i tillräcklig utsträckning under budgetåret.  

I 47 § 2—4 mom. anges grunderna för ändring av avräkningsgrunden. Enligt det nuvarande systemet ska avräkningsgrunden ändras (höjas eller sänkas från 0,45 procent) efter att det prövats, om det gjorts sådana ändringar av statsbokslutet som enligt bestämmelserna i självstyrelselagen ska anses påverka storleken på avräkningsgrunden. Avräkningsgrunden kan enligt 3 och 4 mom. även höjas eller sänkas av andra särskilt i nämnda moment angivna orsaker än sådana som följer av 2 mom. Avräkningsgrunden kan enligt 47 § 5 punkten i självstyrelselagen ändras genom rikslag med lagtingets samtycke.  

Landskapets uppgifter finansieras för närvarande till ca 65 procent med avräkningsbeloppet. Avräkningsbeloppet har åren 2007—2016 i genomsnitt uppgått till cirka 201 miljoner euro per år. Enligt statsbokslutet 2017 betalades cirka 234 miljoner euro som avräkning. Man uppskattar att avräkningsbeloppet uppgår till cirka 246,8 miljoner euro i bokslutet 2018 och för år 2019 till cirka 242,3 miljoner euro.  

Sedan år 1992 har statsbudgeten inkluderat ett anslag för återföring av lotteriskatt till landskapet Åland. Statens skyldighet att återföra den inbetalda skatten till landskapet grundar sig på riksdagens svar på regeringens proposition med förslag till lotteriskattelag (RP 15/1992 rd—RSV 54/1992 rd). Riksdagen förutsatte att regeringen årligen tar in detta anslag i budgeten. Åren 2008—2017 återfördes i genomsnitt 9,3 miljoner euro. Enligt bokslutet 2017 var beloppet cirka 11,4 miljoner euro. År 2017 betalade Ålands Penningautomatförening (PAF) cirka 12,4 miljoner euro i lotteriskatt. Skatten återfördes till landskapet våren 2018. 

Om den i landskapet för ett skatteår debiterade inkomst- och förmögenhetsskatten överstiger 0,5 procent av motsvarande skatt i hela riket, tillkommer enligt 49 § i självstyrelselagen det överstigande beloppet landskapet som skattegottgörelse. Skattegottgörelsen fastställs och utbetalas efter det att beskattningen har slutförts, dvs. två år i efterskott. Systemet med skattegottgörelse infördes genom nuvarande självstyrelselag. I förarbetena till självstyrelselagen (RP 73/1990 s. 56 och 90) konstateras det bl.a. att det har ansetts vara skäligt att landskapet ska få ett förhöjt anslag (skattegottgörelse), om skattenivån i landskapet överstiger ett angivet relationstal. Enligt motiveringarna kompenserar skattegottgörelsen i viss mån det åländska önskemålet om en egen skattelagstiftning. Den utgör enligt förarbetena samtidigt ett incitament för landskapsmyndigheterna att föra en näringspolitik som möjliggör ökade skatteintäkter. Skattegottgörelse har utfallit under varje år sedan den nuvarande självstyrelselagen trädde i kraft och uppgick skatteåren 2007—2016 i genomsnitt till 13,5 miljoner euro. De utbetalades under åren 2009—2018. 

1.1.2  Sammanfattning av årliga överföringar till landskapet Åland

De årliga överföringarna dvs. avräkningen, skattegottgörelsen och återföring av lotteriskatten har varit följande: 

 

2007—2016 

genomsnitt 

2017 

bokslut 

2018 

uppskattning 

2019 

uppskattning 

Överföringar 

totalt, M€ 

222,9 

269,0 

274,4 

272,3 

På framställning av lagtinget kan enligt 48 § i självstyrelselagen extra anslag beviljas för osedvanligt stora engångsutgifter som inte rimligen kan finansieras med landskapets budget. Extra anslag har beviljats tre gånger sedan 1993. De extra anslagen har med stöd av självstyrelselagen disponerats för att trygga elförsörjningen med elkabelbyggen mellan Sverige och Åland (7,2 miljoner euro) samt mellan fasta Finland och Åland (50 miljoner euro). Dessutom har extra anslag beviljats för utbyggnad av reservkraftförsörjningen i form av en gasturbinanläggning (6,2 miljoner euro). Lagtinget har i september 2018 gjort en ny framställning till Ålandsdelegationen. 

Särskilda bidrag kan enligt 51 § i självstyrelselagen utgå vid exceptionella situationer, såsom naturkatastrofer och allvarliga störningar i samhällsekonomin. Sådant har dock inte varit aktuellt under den tid som 1991 års självstyrelselag varit i kraft. 

Ålandsdelegationen verkställer avräkningen, fastställer skattegottgörelsen samt beviljar extra anslag och särskilda bidrag och beslutar om de villkor som möjligen förenas med dem. De två första uppgifterna är tekniska till sin natur medan uppgiften beträffande de extra anslagen är att avgöra om de ska beviljas eller inte. I samtliga ekonomiska frågor ska delegationens beslut stadfästas av republikens president.  

1.1.3  Behov av att utveckla avräkningssystemet

Det nuvarande avräkningssystemet i 45—49 § i självstyrelselagen fick sin slutliga utformning i ett sent skede av beredningen av lagen (RP 73/1990 rd s. 88—91, GrUB nr 15/1990 rd, statsutskottets utlåtande; bilaga 3 till GrUB). 

Det har under 2000-talet konstaterats finnas ett behov av att möjliggöra en precisering av kriterierna för förändring av avräkningsgrunden och skattegottgörelsen och att skapa större flexibilitet i avräkningssystemet (Se ”Det skattefinansiella utjämningssystemet mellan landskapet Åland och staten: 1990-talets erfarenheter”, finansministeriets arbetsgruppsbetänkande år 2004 och ”Förändringsbehov av avräkningsgrunden”, finansministeriets publikationer 13b/2013). Den ursprungliga avsikten med förändringen i det finansieringssystem för självstyrelsens utgifter som infördes genom 1991-års självstyrelselag, anses ha uppnåtts. Självstyrelselagen har ökat landskapets ekonomiska självständighet samtidigt som det har blivit administrativt enklare att genomföra de årliga besluten om anslag till landskapet Åland. Det nuvarande avräkningssystemet är administrativt enkelt och tydligt och kräver inga större resurser att bestämma det årliga avräkningsbeloppet och skattegottgörelsen. Systemet har sett över tid gett ett för både Åland och riket relativt skäligt resultat gällande de totala anslagsöverföringarna. Men eftersom anslagen är bundna till statsinkomsterna påverkas de av finanspolitiken och ekonomiska fluktuationer.  

I avräkningssystemet saknas emellertid en koppling mellan Ålands befolkningsandel och avräkningsgrunden. När befolkningen ökar på Åland så stiger utgifterna för sådan offentlig service som hör till landskapets lagstiftningsbehörighet. När befolkningen minskat så minskar inte utgifterna i motsvarande grad. Avräkningssystemet behöver ändras så att det bättre tar hänsyn till befolkningsförändringar. 

Avräkningsgrunden och skattegottgörelsen har på en årlig nivå fungerat som helhet på ett ändamålsenligt sätt, där skattegottgörelsen har inverkat dämpande på fluktuationerna i de totala överföringarna till landskapet. Det är dock befogat att se avräkningsgrunden och skattegottgörelsen som en helhet utan att förändra syftet att skattegottgörelsen ska utgöra incitament för landskapsmyndigheterna att föra en näringspolitik som möjliggör större skatteintäkter i jämförelse med Ålands befolkningsandel.  

Det finns därtill ett behov av att ersätta det nuvarande systemet för skattegottgörelsen enligt 49 § i självstyrelselagen med ett system som, dels mot bakgrund av landskapets önskemål om en utökad beskattningsbehörighet fungerar som ett ännu effektivare incitament för att utveckla skattekraften på Åland än den nuvarande skattegottgörelsen, dels fungerar neutralt i förhållande till planerade och kommande statliga förvaltningsreformer (se GrUU 26/2017 rd).  

De nuvarande grunderna i 47 § 2—4 mom. i självstyrelselagen för ändring av avräkningsgrunden behöver kompletteras. För närvarande saknas i självstyrelselagen bestämmelser över vilka förändringar av statsbokslutet som ska anses utgöra en sådan ändring av grunderna för statsbokslutet som utgör orsak för ändring av avräkningsgrunden. Väsentlighetskravet i nuvarande 47 § 2 mom. i lagen har även vållat onödiga tolkningssvårigheter. Nuvarande bestämmelser för ändring av avräkningsgrunden beaktar inte uttryckligen att till landskapets lagstiftningsbehörighet kan enligt nuvarande 29 § 1 och 2 mom. i självstyrelselagen med rikslag som stiftas i vanlig lagstiftningsordning och lagtingets samtycke överföras vissa behörighetsområden som för närvarande hör till rikets lagstiftningsbehörighet. 

I och med att den nuvarande lagstiftningen är översiktligt formulerad kan den bli föremål för olika tolkningar. Myndigheterna i landskapet och i riket har som nämnts haft olika åsikt exempelvis i fråga om vilka förändringar i statsbokslutet som ska påverka avräkningsgrunden. Om det råder oenighet om behovet av att ändra avräkningsgrunden, är denna mycket svår att ändra, eftersom en ändring förutsätter samstämmiga beslut av riksdagen och lagtinget. Förfarandet om att ändra avräkningsgrunden, vilket innebär att avräkningsgrunden ändras genom rikslag och med samtycke av lagtinget, har i praktiken aldrig tillämpats.  

1.2  Föreslagna ändringar

I lagförslaget föreslås ett ekonomiskt system för landskapet Åland, som fortsättningsvis bygger på det att de skattskyldiga på Åland betalar skatt till staten enligt samma grunder som de skattskyldiga i övriga delar i landet. Via statsbudgeten överförs medel till landskapet för att finansiera självstyrelsens uppgifter. Detta sker enligt lagförslaget huvudsakligen genom avräkning och skatteavräkning samt fortsättningsvis vid vissa särskilda situationer även genom extra anslag.  

Det belopp som Åland årligen får genom avräkningen, avräkningsbeloppet, föreslås bli beräknat så att de i statsbokslutet för respektive år redovisade inkomsterna med undantag för förvärvsinkomstskatt och källskatt som betalas av begränsat skattskyldiga samt rundradioskatt, kapitalinkomstskatt, samfundsskatt och tonnageskatt, lotteriskatt samt nya statslån (avräkningsbasen) multipliceras med ett visst relationstal (avräkningsgrunden). Enligt 47 § 1 mom. i lagförslaget är avräkningsgrunden 0,45 procent.  

I 46 § 2 mom. i lagförslaget föreslås en ny bestämmelse där förändringen i befolkningstalet för Åland i förhållande till hela Finlands befolkningstal beaktas vid verkställandet av avräkningsbeloppet. Avräkningen verkställs årligen i efterhand för varje kalenderår, men på avräkningsbeloppet föreslås bli betalat ett månatligt förskott som beaktas vid uträkningen av det slutliga avräkningsbeloppet. I statsbokslutet har inkomsternas belopp vanligen avvikit från beloppen i budgetpropositionen inklusive tilläggsbudgetpropositionerna. Detta betyder att det slutliga avräkningsbeloppet kan vara större eller mindre än förskottsbeloppet.  

I lagförslagets 47 § 2—4 mom. anges grunderna för ändring av avräkningsgrunden. Enligt 47 § 2 mom. i lagförslaget ska avräkningsgrunden ändras (höjas eller sänkas från det föreslagna 0,45 procent) efter att det prövats, om det gjorts sådana ändringar av statsbokslutet som enligt bestämmelserna i självstyrelselagen ska anses påverka storleken på avräkningsgrunden. Avräkningsgrunden ska enligt 47 § 3 och 4 mom. även höjas eller sänkas av andra särskilt i nämnda moment angivna orsaker än sådana som följer av 2 mom.  

Enligt 48 § 2 mom. i lagförslaget gör finansministeriet och Ålands landskapsregering minst vart tredje år en bedömning av om det enligt 47 § 2—4 mom. finns orsak att ändra avräkningsgrunden. Ålandsdelegationens roll föreslås utökad med uppgifter i denna process där den både mottar parternas förslag och därefter ger sitt förslag till statsrådet. Om ändring av avräkningsgrunden bestäms fortsättningsvis genom rikslag med samtycke av lagtinget.  

I 49 § i lagförslaget föreslås en ny bestämmelse om en så kallad skatteavräkning som ersätter nuvarande bestämmelsen om skattegottgörelse i självstyrelselagen. Skatteavräkningen bygger på att de på Åland debiterade beloppen för de statliga förvärvs- och kapitalinkomstskatterna, den källskatt som betalas av begränsat skattskyldiga, samfundsskatten och tonnageskatten samt för den på Åland betalda lotteriskatten som årligen återförs till Åland. Skatteavräkningen liksom avräkningen verkställs årligen i efterhand för varje kalenderår. Månatliga förskott betalas ut beräknat med utfallet av tidigare beskattning som grund samt i övrigt utgående från finansministeriets prognoser.  

Eftersom några av de skatter som ingår i skatteavräkningen kan fluktuera kraftigt, föreslås i systemet ingå en säkerhetsmekanism. I 49 § 2 mom. föreslås att om utfallet av samfundsskattens och kapitalinkomstskattens sammanlagda belopp, med mer än 10 procent, understiger det respektive belopp som landskapet Åland skulle ha erhållit på basis av motsvarande skatt genom avräkningen, erhåller landskapet mellanskillnaden. 

I förarbetena till självstyrelselagen konstateras det bland annat att det har ansetts vara skäligt att landskapet ska få ett förhöjt anslag (skattegottgörelse), om skattenivån i landskapet överstiger ett angivet relationstal. Enligt motiveringarna kompenserar skattegottgörelsen i viss mån det åländska önskemålet om en egen skattelagstiftning. Den utgör enligt förarbetena samtidigt ett incitament för landskapsmyndigheterna att föra en näringspolitik som möjliggör ökade skatteintäkter (RP 73/1990 vp, s. 56). Skatteavräkningen avses fungera som ett effektivare incitament för utveckling av Ålands skattekraft än den nuvarande skattegottgörelsen. Den centrala skillnaden jämfört med nuvarande system skulle vara att då det belopp som nu överförs till Åland är rent kalkylmässigt till den del av skatterna som överstiger en viss gräns, så skulle Åland enligt lagförslaget i sin helhet erhålla respektive skatteintäkter av de i skatteavräkningen avsedda skatterna. När det gäller en utökning av Ålands finansiella självstyre skulle förslaget i stort innebära en ställning jämförbar med den som skattetagare i fråga om det finansiella utfallet. Det nya ekonomiska systemet har konstruerats så att en övergång till det ökar, på det sätt som närmare framgår av avsnitt 2, den finansiering som överförs till Åland. Avräkningsbeloppet tillsammans med skatteavräkningen ska under normala förhållanden täcka självstyrelsens finansieringsbehov. 

Landskapets uppgifter finansierades år 2016—2018 i genomsnitt till cirka 65 procent med avräkningsbeloppet till cirka 4,5 procent med skattegottgörelsen och till cirka 3,5 procent med återbäring av lotteriskatten. Enligt en preliminär uppskattning baserad på 2016—2018 års uppgifter innebär lagförslaget att uppgifterna för Ålands självstyrelse skulle finansieras till cirka 48 procent med avräkningsbeloppet till cirka 23 procent med skatteavräkningen och till cirka 3,5 procent med återbäring av lotteriskatten.  

På framställning av lagtinget kan enligt 50 § i lagförslaget fortsättningsvis extra anslag beviljas för osedvanligt stora engångsutgifter som inte rimligen kan finansieras med landskapets budget. I september 2018 har lagtinget anhållit om extra anslag för genomförande av investeringar i infrastrukturella funktioner uppgående till totalt 45 miljoner euro. 

Tillskott under exceptionella förhållanden kan enligt 51 § i lagförslaget fortsättningsvis utgå vid exceptionella situationer, såsom naturkatastrofer och allvarliga störningar i samhällsekonomin. 

Ålandsdelegationen verkställer avräkningen, verkställer skatteavräkningen samt beviljar extra anslag och tillskott under exceptionella förhållanden och beslutar om de villkor som möjligen förenas med dem. De två första uppgifterna är tekniska till sin natur medan uppgiften beträffande de extra understöden är att avgöra om de ska beviljas eller inte. Republikens president stadfäster enligt 56 § 5 mom. i självstyrelselagen samtliga Ålandsdelegationens beslut som gäller landskapets ekonomi. 

Propositionens konsekvenser

Landskapet Åland har enligt vad som föreskrivs i 18 § 5 punkten i självstyrelselagen lagstiftningsbehörighet att genom lag lagstifta om vissa skatter och avgifter. Bestämmelsen innebär att lagtinget är behörigt att genom landskapslag lagstifta om skatter som direkt tillkommer landskapet Åland eller dess kommuner. Genom reformen regleras utgifterna för den självstyrelse som hör till landskapet Åland liksom hittills i huvudsak genom det årliga avräkningsbeloppet som grundar sig på statsbokslutet samt på den föreslagna skatteavräkningen. Dessutom föreslås den nuvarande möjligheten till extra anslag enligt prövning och tillskott för exceptionella förhållanden bibehållen. 

En för statsbudgeten kostnadsneutral övergång från det nuvarande avräkningssystemet till ett avräkningssystem som innefattar en s.k. skatteavräkning, hade inneburit att avräkningsgrundens storlek hade varit 0,42 procent. För att höja och samtidigt trygga grundfinansieringen för landskapet Åland har man stannat för att föreslå avräkningsgrundens storlek till 0,45 procent. Detta innebär på 2021 års nivå ett årligt tillägg för Åland om cirka 12 miljoner euro. Dessutom för en övergång från skattegottgörelse till skatteavräkning med sig en årlig ökning för Åland om 1—6 miljoner euro i jämförelse med det nuvarande systemet. Att den relativa befolkningsutveck-lingen på Åland beaktas i det föreslagna ekonomiska systemet innebär framöver att en ökad eller minskad befolkningsmängd på Åland i förhållande till befolkningsmängden i Finland kommer att synas som en ökning eller minskning av det årliga avräkningsbeloppet. Med de senaste årens befolkningsutveckling som grund uppskattas bestämmelsen höja avräkningsbeloppet med cirka 0,5 miljoner euro årligen.  

De föreslagna ändringarna uppskattas höja budgetutgifterna för staten med totalt ungefär 17 miljoner euro på 2021 års nivå. Av ökningen avses cirka 14 miljoner direkt stärka landskapets ekonomi och 3 miljoner euro kompensera de åländska kommunerna för det samfundsskatteinkomstbortfall som uppstår i samband med sänkningen av samfundsskatteandelen vid landskaps- och vårdreformen. I slutet av den allmänna motiveringen till propositionen finns redogjort för vad det nämnda kompensationsbehovet grundar sig på. Ålands landskapsregering har under beredningen av propositionen framhållit att då en jämförelse görs på basis av det år för vilket avräkningen respektive skatteavräkningen verkställs, är utfallet mellan det nuvarande ekonomiska systemet och det avräkningssystem som föreslås det att landskapets grundfinansiering ökar med cirka 10 miljoner euro per år, beräknat på 2021 års nivå. 

I och med en övergång från det nuvarande ekonomiska systemet, där avräkningsbeloppet betalas i förskott medan skattegottgörelsen betalas i efterskott, till ett system där förskott föreslås betalas på både avräkningsbeloppet och skatteavräkningen, kommer utfallet för år 2021 och 2022 att öka mer än den föreslagna ökningen av grundfinansieringen. Enligt den föreslagna övergångsbestämmelsen betalas till landskapet Åland det år ändringslagen träder i kraft och det därpå följande året på grund av systemändringen större prestationer än vanligt. År 2021 betalas till landskapet Åland enligt de nya bestämmelserna både förskotten på avräkningen och skatteavräkningen. År 2021 regleras därtill enligt nuvarande avräkningssystem i efterskott till landskapet Åland och slutreglering av avräkningen för år 2020 och skattegottgörelsen för år 2019 samt lotteriskatten för år 2020, vilken uppskattas till cirka 14 miljoner euro. Betalningarnas sammanlagda belopp uppskattas till ungefär 34 miljoner euro. År 2022 betalas till Åland förutom förskotten på den nya avräkningen och skatteavräkningen även skattegottgörelsen i efterskott för år 2020, vars storlek enligt prognos uppskattas till ungefär 20 miljoner euro. Skattegottgörelse har utfallit under varje år sedan den nuvarande självstyrelselagen trädde i kraft och uppgick skatteåren 2007—2016 i genomsnitt till 13,5 miljoner euro. 

Det gällande avräkningssystemet motsvarar i fråga om sina förvaltningskostnader cirka 0,2 årsverken vid finansministeriet. I förhållande till nuvarande årliga förvaltningskostnader kan upprätthållandet av det föreslagna avräkningssystemet bedömas vara i stort sett kostnadsneutralt.  

Genom lagförslaget ändras Ålandsdelegationens uppgifter i någon mån då på såväl avräkningsbeloppet som skatteavräkningen utgår förskott. Dessutom föreslås för delegationen en med tre års mellanrum återkommande uppgift att utvärdera förutsättningarna för att ändra avräkningsgrunden. Av förslagen föranleds inga nya kostnader för justitieministeriets förvaltningsområde. 

Beredningen av propositionen

Propositionen har beretts vid justitieministeriet i samarbete med finansministeriet och Ålands landskapsregering. Förslaget bygger på den överenskommelse för den föreslagna regleringen om landskapet Ålands ekonomi som nåddes vid beredningen av totalrevisonen av en ny Ålands självstyrelselag. Enligt den samsyn som råder mellan regeringen och Ålands landskapsregering är totalrevisionen avsedd att slutföras under de valperioder som närmast följer på denna valperiod. 

Över propositionsförslaget har begärts utlåtande av finansministeriet, Ålands landskapsregering och Ålandsdelegationen. Eftersom ärenden i statsrådet som gäller landskapets ekonomi enligt 34 § 2 mom. i självstyrelagen föredras från finansministeriet, begärde justitieministeriet enligt 32 § i reglementet för statsrådet (262/2003) även föredragningstillstånd av finansministeriet. I finansministeriets och Ålandsdelegationens utlåtanden anfördes inte anmärkningar mot propositionsutkastet, i vilket som avräkningsgrund föreslogs 0,44 procent, förutom att Ålandsdelegationen ansåg att kriterierna för beviljande av extra anslag inte behandlas tillräckligt utförligt. I slutskedet av ärendets beredning har finansministeriet inte gett föredragningstillstånd till ett förslag enligt propositionen. Oenigheten mellan parterna har i huvudsak hänfört sig till storleken på avräkningsgrunden. 

Samband med andra propositioner

4.1.1  Landskaps- och vårdreformens förhållande till skattegottgörelsen enligt 49 § i självstyrelselagen

Landskaps- och vårdreformen, föreslås finansierad genom att förvärvsinkomstbeskattningen höjs och kommunalbeskattningen samtidigt sänks (RP 15/2017 rd). Reformen är inte avsedd att träda i kraft på Åland, eftersom hälso- och sjukvården samt socialvården på Åland enligt 18 § 12 och 13 punkten i självstyrelselagen hör till landskapets lagstiftningsbehörighet. Av denna orsak ordnar landskapet själv med stöd av sin landskapslagstiftning hälsovården och socialvården på Åland. Eftersom landskapet också enligt 18 § 5 punkten i nuvarande självstyrelselag har behörighet på kommunalbeskattningens område, hör en sänkning av kommunalskatten på Åland till landskapets lagstiftningsbehörighet och till de åländska kommunernas befogenheter. I och med att statsbeskattningen enligt 27 § 36 punkten i självstyrelselagen är ett lagstiftningsområde som riksdagen ansvarar för även på Åland, blir den skattemässiga effekten av landskaps- och vårdreformen på Åland att förvärvsinkomstbeskattningen höjs utan att kommunalbeskattningen samtidigt kan sänkas.  

Eftersom förhållandena på Åland i fråga om hälsovården och socialvården avviker från förhållandena i övriga landet och för att säkerställa att de skattskyldiga på Åland behandlas jämlikt inom ramen för förvärvsinkomstbeskattningen, har regeringen i sin proposition om landskaps- och vårdreformen föreslagit att till inkomstskattelagen (1535/1992) fogas en ny 125 a §. I paragrafen föreslås ett avdrag som endast gäller fysiska personer och dödsbon på Åland (Åländsktlandskapsavdrag). Syftet med avdraget är att neutralisera effekterna för de skatteskyldiga på Åland av den föreslagna höjningen av den statliga förvärvsinkomstbeskattningen.  

Vid en förhandling den 5 juli 2017 beslutade regeringen att landskaps- och vårdreformen ska fortsätta så att den träder i kraft den 1 januari 2020. I början av år 2018 lämnade regeringen en ny proposition om valfrihetslagen (RP 18/2018 rd). De lagförslag som riksdagen behandlar, lagen om ordnande av social- och hälsovård och landskapslagen, kommer att ändras i enlighet med det som förutsattes den 29 juni 2017 i grundlagsutskottets utlåtande (GrUU 26/2017 rd—RP 15/2017 rd, RP 47/2017 rd, RP 52/2017 rd, RP 57/2017 rd, RP 71/2017 rd). Detta sker i riksdagsutskotten via förfarandet för ministeriernas bemötanden. Övriga delar av landskaps- och vårdreformens lagförslag är fastslagna. Enligt statsministerns meddelande 27.6.2018 flyttas ikraftträdandet av landskaps- och vårdreformen fram till ingången av år 2021.  

Grundlagsutskottet behandlade i sitt utlåtande (GrUU 26/2017 rd) skattegottgörelsen: ”Grundlagsutskottet konstaterar att det inte kan föreskrivas om landskapsavdraget på det föreslagna sättet såvida det inte sörjs för att bortfallet av skattegottgörelsen kompenseras. Enligt grundlagsutskottet kan bortfallet av skattegottgörelsen temporärt ersättas genom rikets egna kompenseringsåtgärder på det sätt som det föreslås i propositionen. Enligt propositionsmotiven har Ålandsdelegationen lyft fram den möjligheten att delegationen i anslutning till beslutet om skattegottgörelse konstaterar hur stor skattegottgörelsen skulle vara om man vid uträkningen inte skulle beakta den av social- och hälsovårdsreformen föranledda förhöjningen av inkomstskatten. Ett sådant förfarande kan trots dess inofficiella natur i praktiken fungera som grund för kompenseringsåtgärderna till landskapet. 

Grundlagsutskottet understryker att bortfallet av skattegottgörelsen inte utgör en verkning som hör till de normala variationerna i rikets skattepolitik och att de ekonomiska relationerna mellan landskapet och riket ska ordnas genom reglering i självstyrelselagen för Åland. Det ovan beskrivna arrangemanget kan sålunda endast under viss, kort tid kompensera för bortfallet av skattegottgörelsen. Frågan måste regleras på korrekt sätt så snabbt som möjligt.” 

Till följd av att landskaps- och vårdreformens ikraftträdande flyttats till början av år 2021 och att ändringlagen av självstyrelselagen föreslås träda i kraft vid samma tidpunkt, kommer det ovan nämnda bortfallet av skattegottgörelsen inte att inträffa.  

4.1.2  Landskaps- och vårdreformens förhållande till den avräkningsgrund som föreslås i 47 § 1 mom. i lagförslaget

Till följd av landskaps- och vårdreformen föreslås det att statens skatteinkomster ökas och kommunernas skatteinkomster minskas genom en omarbetning av statens inkomstskatteskala och parametrarna för vissa avdrag i inkomstbeskattningen och genom en sänkning av samtliga kommuners i riket kommunalskattesatser med cirka 11,5 procentenheter. Förändringen innebär att statens förvärvsinkomstskatteintäkter skulle stiga med uppskattningsvis 11,8 miljarder euro på 2021 års nivå. 

En sänkning av kommunalskatteintäkterna och statsandelarna skulle leda till att samfundsskatteintäkternas relativa andel av kommunernas finansiering skulle öka. Samfundsskatten lämpar sig på grund av sin konjunkturkänslighet inte speciellt väl som finansieringskälla för kommunernas uppgifter, och därför föreslås att kommunernas andel av samfundsskatteintäkterna sänks så att sänkningen enligt nivån år 2016 skulle vara 500 miljoner euro. Kommunernas samfundsskatteandel sänks med 9,02 procentenheter och denna procentandel ändras inte senare. Därmed skulle effekten för kommunernas samfundsskatteintäkter av sänkningen av samfundsskatteandelen enligt nivån år 2021 vara cirka 630 miljoner euro, sänkningens relativa andel skulle dock inte förändras. 

Till följd av reformen minskar de kommunala uppgifterna och anskaffningarna i anslutning till dem i riket, då en del av uppgifterna överförs på landskapens organiseringsansvar. Inom området för valfriheten görs tjänsteproduktionen mångsidigare så att verksamhetsförutsättningarna för landskapens tjänsteproducenter och privata tjänsteproducenter jämställs. På landskapens verksamhet tillämpas inte samma system för återbäring av den skatt som ingår i anskaffningarna som inom den kommunala sektorn, utan anskaffningsneutraliteten förbättras med hjälp av ett budgetförfarande.  

Mervärdesskatteåterbäringarna minskar inom den kommunala sektorn så att beloppet av återbäringarna uppgår till något över en miljard euro. De uppgifter som överförs till landskapen beräknas år 2021 på års nivå innefatta cirka 1,6 miljarder euro sådan skatt som ingår i anskaffningar. Beloppet motsvarar minskningen av mervärdesskatteåterbäringarna inom den kommunala sektorn.  

Ovan nämnda ändring ökar transparensen i statsbudgeten beträffande den verksamhet som överförs från den kommunala sektorn till landskapssektorn, eftersom den mervärdesskatt som ingår i anskaffningar inom landskapens verksamhet skulle synas som mervärdesskatteinkomster i statsbudgeten till skillnad från den skatt som ingår i anskaffningarna och återbärs till den kommunala sektorn och i nuläget syns som en kostnad. Till följd av ändringen ökar intäkterna av mervärdesskatten i statsbudgeten med cirka 1,4 miljarder euro. Statens utgifter ökar med motsvarande belopp. Den sammantagna effekten av ändringen är neutral med tanke på statens finansiella ställning. 

En ändring av avräkningsgrunden enligt 47 § 5 mom. självstyrelselagen har blivit aktuell i och med landskaps- och vårdreformen. Statens inkomster ökar kraftigt från och med år 2021 som en följd av reformen. Enligt självstyrelselagens 47 § 2 moment ska avräkningsgrunden ändras om grunderna för statsbokslutet genomgår ändringar som väsentligt inverkar på avräkningsbeloppets storlek. Inkomstökningen beräknas vara över 14 miljarder euro per år. Med nuvarande självstyrelselag och där avsedd avräkningsgrund på 0,45 procent skulle avräkningen år 2021 växa med ungefär 60 miljoner euro på grund av reformen i riket. Målsättningen är att finansieringsreformens effekt på Ålands ekonomiska ställning skulle vara så neutral som möjligt.  

Med beaktande av Ålandspropositionen (RP 71/2017), som kompletterar landskapsvårdpropositionen, grundlagsutskottets utlåtande (GrUU 26/2017 rd) och regeringens beslut om framflyttande av ikraftträdelsen för reformen, utgår statsrådet från att beräkningarna gällande vårdreformen kommer att uppdateras år 2020 med de senaste uppgifterna innan reformen träder i kraft år 2021.  

Med beaktande av ovannämnda ändringar skulle en budgetneutral övergång till det här föreslagna nya ekonomiska systemet för Åland innebära en avräkningsgrund på 0,42 procent. 

DETALJMOTIVERING

Lagförslag

1.1  Lag om ändring av självstyrelselagen för Åland

7 kap. Landskapet Ålands ekonomi 

Kapitlets rubrik föreslås i förtydligande syfte ändrat från ”Landskapets ekonomi” till ”Landskapet Ålands ekonomi”. 

44 §. Ekonomisk självstyrelse. I 1 mom. föreslås en allmän intentionsbestämmelse om den ekonomiska självstyrelsen för landskapet Åland. Med den ekonomiska självstyrelsen följer ett kostnadsansvar för självstyrelsens uppgifter. Det ekonomiska systemet som föreskrivs i det föreslagna kapitlet ska ge landskapet ekonomisk trygghet att sköta självstyrelsens uppgifter.  

Landskapet har enligt vad som föreskrivs i 18 § 5 punkten i självstyrelselagen lagstiftningsbehörighet i fråga om vissa skatter samt om grunderna för avgifter som uppbärs av landskapsförvaltningen. Bestämmelsen innebär att det är lagtinget som är behörigt att genom landskapslag lagstifta om de skatter som direkt tillfaller landskapet Åland och dess kommuner. Genom reformen regleras utgifterna för den självstyrelse som hör till landskapet Åland i huvudsak genom det årliga avräkningsbeloppet (45 §) som grundar sig på statsbokslutet samt på den föreslagna skatteavräkningen (49 §). Dessutom föreslås i 50 och 51 § i lagförslaget att den nuvarande möjligheten till att bevilja extra anslag enligt prövning och tillskott för exceptionella förhållanden ur statens medel till landskapet bibehålls. 

I paragrafens 2 mom. föreslås i likhet med 44 § 1 mom. i nuvarande självstyrelselag, att lagtinget antar den årliga budgeten för landskapet Åland. Här föreslås en smärre terminologisk ändring från ”fastställa” budgeten till att ”anta” den. Liksom i nuläget ska närmare bestämmelser om budgeten för landskapet utfärdas genom landskapslag. Lagtinget har fri budgeteringsrätt. I likhet med lagtingets nuvarande befogenheter innefattar behörigheten även rätten att bilda fonder, som inte redovisas i budgeten.  

Landskapet Åland har liksom tidigare rätt att uppta lån samt emittera obligationslån. I fråga om sistnämnda rätt föreslås i förtydligande syfte en uttrycklig bestämmelse om detta i paragrafens 3 mom. Bestämmelsen motsvarar nuvarande 50 § om landskapets upptagande av lån. 

45 §.Årliga återföringar till landskapet Åland. Innehållet i paragrafens 1 mom. motsvarar beträffande avräkningsbeloppet nuvarande 45 §. Därtill föreslås det att skatteavräkningen enligt 49 § i lagförslaget uttryckligen omnämns i momentet, eftersom denna är avsedd att utgöra den andra viktiga finansieringskällan i avräkningssystemet för självstyrelsens utgifter. Avräkningsbeloppet ska tillsammans med skatteavräkningen under normala förhållanden täcka självstyrelsens finansieringsbehov. I paragrafens rubrik föreslås beaktat ett samlingsnamn för de huvudsakliga finansieringskällorna. 

Statsbeskattningen på Åland hör till rikets lagstiftningsbehörighet, medan kommunalbeskattningen tillsammans med landskapet Åland tillkommande skatter och avgifter hör till landskapets lagstiftningsbehörighet. De statsskatter som uppbärs på Åland tas in i statsbokslutet. Till Åland återförs av statsmedel fortsättningsvis ett årligt avräkningsbelopp som fastställs vid en särskild avräkning. Som ovan nämnts föreslås det också att till landskapet årligen återförs av statsmedel en skatteavräkning enligt 49 §. Det ekonomiska systemet för finansiering av självstyrelsens utgifter föreslås vara konstruerat så att alla statliga inkomster antingen ska omfattas av avräkningen (46 §) eller av skatteavräkningen (49 §). Undantaget är rundradioskatten och nya statslån som är de enda statliga inkomsterna som inte föreslås bli beaktade i det ekonomiska systemet (jfr. 46 och 49 §). Bestämmelser om Ålandsdelegationens uppgifter i anslutning till avräkningen och skatteavräkningen föreslås fortsättningsvis ingå i 56 § 3 mom. och 4 mom. i självstyrelselagen. 

46 §.Avräkningen. Avräkningsbeloppet föreslås enligt 1 mom. i paragrafen beräknas utifrån de i statsbokslutet för respektive år, dvs. det år för vilket avräkningen verkställs, redovisade inkomsterna med undantag för skatt på förvärvs- och kapitalinkomster, rundradioskatt och källskatt som betalas av begränsat skattskyldiga (statens nuvarande budgetmoment 11.01.01), samfundsskatt och tonnageskatt (statens nuvarande budgetmoment 11.01.02), lotteriskatt (statens nuvarande budgetmoment 11.10.06) samt nya statslån. Det föreslås att denna beräkningsgrund i lagförslaget kallas avräkningsbas. Enligt statsbokslutet år 2017 uppgick avräkningsbasen enligt det föreslagna systemet till 37 822 miljoner euro.  

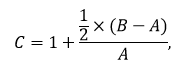
I 2 mom. föreslås det att vid beräkning av avräkningsbeloppet ska dessutom hälften av förändringen i befolkningstalet för Åland i förhållande till hela Finlands befolkningstal beaktas. Bestämmelsen är ny. Övervägandena om denna beräkningsgrund om att beakta värdet av hälften av förändringen i Ålands befolkningsandel, bygger på följande grunder. Det ekonomiska systemet ska säkerställa självstyrelsens behov. Vilka kostnader detta medför för självstyrelsen är volymberoende så att landskapet Ålands kostnader stiger då antalet invånare på Åland ökar. Fler individer ska få sjukvård, antalet elever i utbildningsväsendet ökar o.s.v. Kostnaderna stiger dock inte i direkt proportion till antalet individer, eftersom de fasta och gemensamma kostnaderna kan bäras av flera. Av motsvarande skäl minskar inte heller självstyrelsens kostnader i proportion till befolkningsminskningen, eftersom de fasta kostnaderna ska fördelas på färre individer. I regel kan man även anta att skatteintäkterna inte heller stiger eller sjunker i direkt proportion till befolkningsändringen.  

För beräkning av befolkningsförändringen föreslås i 2 mom. därför en koefficient som höjer eller sänker avräkningsbeloppet. Koefficienten anges och räknas ut med fem decimalers noggrannhet.  

Avräkningsbeloppet räknas enligt följande:  

Avräkningsbelopp = (avräkningsbas*avräkningsgrund)*koefficient för befolkningsförändring. 

Koefficienten för befolkningsförändringen räknas enligt följande:  

där A är den andel som Ålands befolkning utgör av rikets befolkning år t, B är befolkningsandelen år t+n och C är koefficienten med vilken avräkningsbeloppet justeras. 

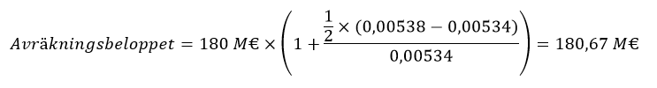
Anta att avräkningsbeloppet utan att förändringen i befolkningsandelen beaktas är 180 miljoner euro och Ålands befolkningsandel är 0,534 procent år t och 0,538 procent år t+1, då skulle avräkningsbeloppet år t+1 vara följande: 

Befolkningsandelen jämförs alltid med befolkningsförhållandet vid den tidpunkt som anges i lagens 46 §. 

I 3 mom. föreslås det att avräkningen verkställs årligen i efterskott för varje kalenderår. Bestämmelsen motsvarar nuvarande 45 § 2 mom. På avräkningsbeloppet betalas förskott. Nytt är att det i bestämmelsen föreslås inskrivet att förskotten är månatliga. Ålandsdelegationen avses fortsättningsvis enligt 56 § 3 och 4 mom. i lagförslaget verkställa avräkningen och fatta beslut om storleken på förskotten på avräkningsbeloppet. Enligt sin praxis bestämmer delegationen det årliga förskottet på avräkningsbeloppet på basen av förslaget till statsbudget. Statens intäktsprognoser ändrar under budgetåret och på basen av detta görs tilläggsbudgeter för ändring av statsbudgeten. På basen av sistnämnda uppgifter kan delegationen ändra sitt tidigare beslut om förskottet. Enligt delegationens praxis ska ändringar som sker i statsbudgeten med verkan på avräkningsbeloppet vara väsentliga innan en ändring görs av förskottet. 

47 §.Avräkningsgrunden och ändring av den. Avräkningsgrunden föreslås i 1 mom. vara 0,45 procent då ändringslagen träder ikraft. Avräkningsgrunden anges fortsättningsvis med två decimaler. Vid ändringar av avräkningsgrunden används normala avrundningsregler och den tredje decimalen bestämmer vad talet blir. Det ekonomiska systemet ska säkerställa självstyrelsens behov. 

Paragrafens 2 mom. reglerar de situationer då grunderna för statsbokslutet genomgår ändringar som inverkar på avräkningsbeloppets storlek. Varje sådan ändring i statsbudgeten prövas utifrån vilken påverkan den medför på Ålands ekonomi. För att ändringen enligt 2 mom. ska vara befogad, bör någon av grunderna för bokslutets struktur förändras. Avsikten är att avräkningsbeloppet inte ska påverkas av tekniska förändringar av statsbokslutet. 

Då de inkomster som bokförts i statsbokslutet kommer sig av gällande budget- och bokföringsbestämmelser, föreslås det att det i 2 mom. ska föreskrivas att avräkningsgrunden ska ändras, om grunderna för statsbokslutet ändras på ett sätt som påverkar avräkningsbeloppets storlek motsvarande en enhets förändring av avräkningsgrundens andra decimal. Även mindre ändringar enligt paragrafen bör beaktas, om dessa under en längre tid var för sig eller sammantaget lett till förändringar i jämförelse med de förhållanden som var rådande då lagen antogs eller då avräkningsgrunden senast ändrades. 

Sådana strukturella ändringar som avses i bestämmelsen kan exempelvis vara sektoriella överföringar mellan statsbudgeten och externa fonder, förändringar i uppgiftsfördelningen mellan staten och övriga delar av den offentliga ekonomin som inte har motsvarande effekt på Åland, bolagisering av statlig verksamhet samt förändringar i det sätt på vilket inkomsterna i statsbokslutet redovisas (brutto—nettoprincipen). En strukturell ändring av statsbokslutet kan även vara arrangemang som innebär att inkomster vilka tidigare utgjort budgetinkomster kanaliseras förbi budgetekonomin för att återinvesteras eller användas för åtaganden som tidigare belastat budgetekonomin. Bedömningen av huruvida en ändring är strukturell görs med beaktande av att avräkningsgrunden är ett tekniskt relationstal.  

Variationen mellan olika inkomstgruppers inbördes relationer föranleder inte i sig den ändring som avses i 2 mom. Det handlar om en inbördes ändring i statsinkomsterna till exempel då beloppet av de influtna direkta skatterna minskar och de indirekta skatterna på motsvarande sätt ökar. Det är naturligt att olika inkomstposters storlek varierar från tid till annan utan att sådana variationer i sig innebär att avräkningsgrunden ska ändras. Avräkningsgrunden ska inte heller ändras då det sker förskjutningar mellan olika skatteslag eller inkomstposter i statsbudgeten. Väsentliga ekonomiska effekter av förskjutningar mellan de skatter som ingår i skatteavräkningen och de som ingår i avräkningsbasen utgör däremot grund för ändring av avräkningsgrunden.  

Paragrafens 3 mom. reglerar de situationer där avräkningsgrunden ska höjas på grund av att landskapet Ålands faktiska utgifter ökar. Grunden höjs enligt 3 mom. 1 punkten om utgiftsnivån har höjts för att ny lagstiftningsbehörighet som avses i 29 § 1 mom. har överförts till landskapet. Den föreslagna punkten är ny och föranleds av att till landskapets lagstiftningsbehörighet i nuläget enligt riksdagens och Ålands lagtings överensstämmande beslut helt eller delvis kan överföras vissa behörighetsområden som anges i nuvarande 29 § 1 mom. i självstyrelselagen. I en situation där en överföring av ett behörighetsområde som upptagits i paragrafen aktualiseras, ska samtliga konsekvenser av överföringen, inklusive exempelvis administrativa effekter av överföringen på den statliga förvaltningen på Åland och för landskapsförvaltningen, liksom andra finansiella effekter av överföringen för riket och landskapet, bedömas i den ordning som gäller för beredningen av regeringens propositioner. Konsekvensbedömningen görs således under beredningen av den rikslag för överföring av behörighetsområdet som avses i 29 § i 2 mom. i självstyrelselagen. Vid bedömningen av effekterna på Åland av lagförslaget är det skäl att beakta den rådande prisnivån på Åland, landskapets avskilda läge och särförhållanden samt befolkningens särskilda levnadsbetingelser. Eventuella kostnadsökningar för landskapet till följd av ett överensstämmande beslut av riksdagen och lagtinget om överföring av behörighetsområdet eller en del av detta, blir sedan föremål för det förfarande för bedömning av behovet av att ändra avräkningsgrunden som föreslås i 48 § i lagförslaget.  

Enligt 2 punkten i momentet ska avräkningsgrunden höjas, om Ålands landskapsregering eller en myndighet som lyder under den, övertar förvaltningsuppgifter av rikets myndigheter. Då en viss förvaltningsuppgift överförs ska som utgångspunkt för fastställandet av höjningen tas kostnaderna för staten för respektive uppgifter vid tidpunkten för överföring. En allmän förutsättning för den höjning som nämns i punkten är att Ålands landskapsregering kan hänvisa till sådana höjda utgifter som inte förutsätts ingå i ett normalt avräkningsbelopp. Helt och hållet nya samhälleliga förbindelser kan i allmänhet inte föranleda ändringar i avräkningsgrunden, då sådana nya uppgifter ska finansieras med tilläggsinkomster i det fall att de orsakar kostnader för staten och således höjer avräkningsbeloppet. Överförs nya förvaltningsuppgifter från statsförvaltningen till landskapsmyndigheterna eller omvänt enligt en överenskommelseförordning, är det brukligt att i överenskommelseförordningen införa en bestämmelse om kostnader som härrör från de uppgifter som är föremål för den överlåtande myndighetens kostnadsansvar. Genom detta förfarande har man i ärenden som gäller överenskommelseförordningar undgått behovet att se över förutsättningarna för ändring av avräkningsgrunden.  

Avräkningsgrunden ska enligt 2 mom. 3 punkten höjas, om skötseln av självstyrelsens uppgifter och därmed förverkligandet av självstyrelsens syften föranleder väsentliga tilläggskostnader. Utgångspunkten för bestämmelsen är de grundförpliktelser till vilka Finland har förbundit sig i Ålandsöverenskommelsen, nämligen bevarandet av befolkningens språk, kultur och lokala traditioner. Av detta följer statsmaktens skyldighet att bekosta eller vidta nödvändiga åtgärder i den händelse att självstyrelsens centrala målsättning äventyras. 

Avräkningsgrunden ska enligt 2 mom. 4 punkten höjas, om landskapet belastas med sådana nya utgifter eller utgiftsökningar som inte har förutsetts vid ikraftträdandet för 1991 års självstyrelselag. Uppgifter som i vidare bemärkelse är av betydelse även utanför Åland och på så sätt har en anknytning till vissa intressen på riksplanet kan komma i fråga i de fall där 2 mom. 2 punkten inte är tillämplig. Som exempel kan nämnas utgifter som grundar sig på en riksomfattande förpliktelse till följd av att landskapets myndigheter med stöd av självstyrelselagen sköter vissa förvaltningsuppgifter som hör till rikets behörighet. Dessutom kan det röra sig om utgifter till vilka Åland förpliktas av en internationell eller EU-rättslig förpliktelse och vilka inte regleras på annat sätt. Avsikten är att punkten även ska avse förpliktelser och utgifter vilka inte bekostas på annat sätt. Punkten gäller även sådana strukturella reformer i riket genom vilka förvaltningsuppgifter inom ett visst behörighetsområde som hör till riksdagens lagstiftningsbehörighet på Åland, ändrar karaktär så till den grad att dessa med stöd av behörighetsfördelningen mellan riket och landskapet enligt självstyrelselagen blir att hänföra till landskapets behörighet och därmed dess kostnadsansvar. Detta kunde gälla till exempel i en situation där utbetalningen av vissa ersättningar till enskilda inom socialförsäkringen flyttas över till att administreras av socialvården. Bestämmelsen kan däremot inte åberopas för täckande av andra utgifter som uppkommer genom att landskapet Åland väljer att sköta sådana samhällsuppgifter som i riket inte bekostas av staten. En ökad förvaltning som sådan föranleder inte heller en höjning av avräkningsgrunden, även om ökningen innebär betydande utgifter för landskapet.  

Avräkningsgrunden ska enligt 3 mom. sänkas, om förvaltningsuppgifter som ankommer på landskapsmyndigheterna har överförts till riket och landskapets utgifter av denna anledning har minskat. Detta kan vara fallet exempelvis då en nationell myndighet med stöd av överenskommelseförordning sköter förvaltningsuppdrag som enligt lagen ankommer på någon av landskapet Ålands myndigheter och ingenting har genom överenskommelseförordning föreskrivits separat om landskapets kostnadsansvar. Nedsättningen beräknas utifrån samma grunder som i de fall som avses i 2 mom. 1 punkten. 

48 §.Förfarande för ändring av avräkningsgrunden. I paragrafens 1 mom. föreslås enligt grundtanken i nuvarande 47 § 5 mom. att bestämmelser om ändring av avräkningsgrunden utfärdas genom rikslag med lagtingets samtycke. Den föreslagna lagstiftningsordningen avviker från den grundlagsordning som enligt 69 § tillämpas vid ändring av självstyrelselagen. 

Ålandsdelegationens roll föreslås i paragrafen utökad med uppgifter i en process, som enligt huvudregeln återkommer med tre års intervall, för bedömning av om ändringar dels i ansvarsfördelningen mellan landskapet Åland och staten, dels av grunderna för statsbokslutet ska beaktas i avräkningsgrunden. Avräkningsgrunden ska ändras till exempel om återverkningarna på avräkningsbeloppet av de tre senaste årens händelser är tillräckligt stora. Påkallas en översyn av kostnadsbilden exempelvis p.g.a. en ändring av lagstiftningsbehörigheten enligt 29 § 1 mom., kan Ålands landskapsregering eller finansministeriet begära att delegationen bedömer kostnaderna vid en tidigare tidpunkt. 

I paragrafens 2 mom. föreslås det som ny sak föreskrivet att finansministeriet och Ålands landskapsregering bedömer minst vart tredje år om det enligt 47 § 2—4 mom. föreligger grunder för ändring av avräkningsgrunden och lämnar sitt gemensamma förslag om detta till Ålandsdelegationen. Om den ena parten begär att en bedömning ska göras tidigare än efter tre år, ska den andra parten inom skälig tid medverka till att ett förslag lämnas till Ålandsdelegationen. Begreppet ”inom skälig tid” tar sikte på ett förfarande som är förenligt med principerna för en god förvaltning sådan denna föreskrivs i 21 § i grundlagen. I annat fall behandlar delegationen frågan på basen av den ena partens förslag och efter att ha hört den andra parten. Detta innebär att ett förslag ska föreläggas delegationen även i det fall att parterna inte anser att det finns orsak att ändra avräkningsgrunden, och också i det fall att parterna är av olika åsikt om behovet.  

Enligt paragrafens 3 mom. ger delegationen sitt förslag till statsrådet, som vid sitt allmänna sammanträde ger ett lagförslag till riksdagen. Så som det av 1 mom. framgår fattas beslutet om ändring av avräkningsgrunden fortsättningsvis av riksdagen med lagtingets samtycke. Statsrådets allmänna sammanträde beslutar på finansministeriets föredragning utan dröjsmål att lämna sitt lagförslag, som baserar sig på delegationens förslag, till riksdagen. Eftersom ett ikraftträdande av beslutet förutsätter lagtingets samtycke ska statsrådet vid beredningen av regeringens proposition för ändring av avräkningsgrunden vinnlägga sig om att den sker i samarbete med Ålands landskapsregering. 

49 §. Skatteavräkningen. Det föreslås i 1 mom. att till landskapet Åland årligen av statsmedel återförs de på Åland debiterade statliga förvärvs- och kapitalinkomstskatternas och källskattens som betalas av begränsat skattskyldiga, samfundsskattens, tonnageskattens samt därtill den på Åland betalda lotteriskattens belopp. I momentets 3—5 mening föreslås det att skatteavräkningen verkställs årligen i efterskott för varje skatteår. På skatteavräkningen föreslås likaså utgå förskott som utbetalas månadsvis. Förskottsbeloppet beräknas med utfallet av tidigare beskattning och relevanta prognoser som grund. Ålandsdelegationen föreslås enligt 56 § 3 mom. 1 mom. och 4 mom. på motsvarande sätt som för avräkningsbeloppet inneha de uppgifter som gäller verkställigheten av skatteavräkningen och fattande av beslut om storleken på förskotten på skatteavräkningen. 

Den föreslagna skatteavräkningen föreslås ersätta den nuvarande skattegottgörelsen. Skattegottgörelsen infördes i nuvarande självstyrelselag som ett incitament för de åländska myndigheterna att föra en näringspolitik som möjliggör ökade skatteintäkter. Skattegottgörelsen skulle enligt regeringens proposition i viss mån kompensera det åländska önskemålet om en egen skattelagstiftning och -förvaltning (RP 73/1990 rd, s. 56). Samma argument gäller den skatteavräkning som nu föreslås. 

Enligt nuvarande 49 § utgör grunden för skattegottgörelsen debiterade skatter. Motsvarande systematik föreslås för skatteavräkningen för beräkning av skattebeloppen som ingår i den, så att dessa beräknas för sig. Eventuella rättelser, besvär eller konsekvenser av senare debiteringar beaktas således inte. Inte heller kontrolleras det hur skatterna de facto inflyter. Grunden är att systemet måste vara lätt att administrera. Enligt uppgifter från Skatteförvaltningen inflyter cirka 99,7 procent av de debiterade inkomstskatterna. Det finns inte uppgifter om statsskatten tillgängliga områdesvis, men för de åländska kommunernas del är procenttalet för influtna skatter något högre än det ovan nämnda. Det är även av administrativa skäl motiverat att som grund för beräkningen av förskottet på skatteavräkningen utgå från utfallet av tidigare beskattning och relevanta prognoser. Lotteriskatt är en skatt som betalas på eget initiativ. För skatteavräkningen beräknas lotteriskatten på basen av på Åland inbetald skatt. 

I 2 mom. föreslås att om det sammanlagda beloppet av den i 1 mom. avsedda debiterade samfundsskatten och kapitalinkomstskatten, med mer än 10 procent, understiger motsvarande belopp som skulle ha allokerats till landskapet Åland via avräkningen, tillkommer mellanskillnaden landskapet. Beräkningen föreslås grunda sig på både avräkningsbasen enligt 46 § 1 mom. och befolkningskoefficienten enligt 2 mom. i samma paragraf, vilka gäller vid beräkningen av avräkningsbeloppet Den föreslagna bestämmelsen refererar till en situation där nivån på samfundsskatteintäkten och kapitalinkomstskatteintäkten fluktuerar kraftigt och det inte kan anses motiverat att landskapet ensam står för hela den där tillhörande finansiella risken. Utlösningsmekanismen på 10 procent för bestämmelsen syftar till att fungera som en form av självrisk i systemet.  

2 mom. räknas enligt följande:  

där A är det i 1 mom. avsedda samfundsskattens och kapitalinkomstskattens sammanlagda belopp och B är ((avräkningsgrunden * (samfundsskatt + kapitalinkomstskatt)) * koefficient för befolkningsförändring)* 0,9. 

Anta att avräkningsgrunden är 0,44 %, samfundsskattens och kapitalinkomstskattens sammanlagda belopp är 9 000 miljoner euro varav Ålands andel enligt 1 mom. är 30 miljoner euro och att koefficienten för befolkningsförändringen är 1,00383, då skulle 3 mom. beräknas enligt följande:  

I exemplet ovan skulle den på Åland debiterade samfundsskattens och kapitalinkomstskattens sammanlagda belopp om 30 miljoner euro höjas med 5,8 miljoner euro till 35,8 miljoner euro. 

Sedan år 1992 har statsbudgeten inkluderat ett anslag för återföring av lotteriskatt till landskapet Åland. Statens skyldighet att återföra den inbetalda skatten till självstyrelsen grundar sig på en politisk överenskommelse och riksdagens svar på regeringens proposition med förslag till lotteriskattelag (RP 15/1992 rd—RSV 54/1992 rd). Riksdagen förutsatte att regeringen årligen tar in detta anslag i budgeten. Åren 2006—2017 återfördes i genomsnitt 9,3 miljoner euro. 

Med den i 1 mom. nämnda på Åland betalda lotteriskatten avses i nuläget de medel som Ålands penningautomatförening betalar i form av lotteriskatt. Paragrafen är avsedd att kodifiera nuvarande praxis och motsvarar således dagens arrangemang. Behörighetsfördelningen i fråga om lotteriskatten på Åland har aldrig prövats slutligt exempelvis i samband med lagstiftningskontrollen av landskapslagar. 

50 §.Extra anslag. Bestämmelsen motsvarar nuvarande 48 §. Den ingick redan i 1951 års självstyrelselag, men då var benämningen extraordinarieanslag.  

Av lagtekniska skäl föreslås det att det av paragrafen framgår att framställning om extra anslag görs hos Ålandsdelegationen. Ålandsdelegationen föreslås ha kvar sin nuvarande uppgift, sådan den föreskrivs i 56 § 3 mom. 3 punkten, att bevilja extra anslag och besluta om de villkor som ska vara förenade med dem.  

Möjligheten att bevilja extra anslag för exceptionella utgifter och engångsinvesteringar föreslås således bibehållen och oförändrad i sak. Extra anslag ska också i framtiden kunna beviljas för sådana uppgifter inom ramen för Ålands självstyrelse som på grund av de osedvanligt stora utgifter de medför rimligen inte kan anses behöva finansieras genom Ålands budget. Projekt som bekostas på detta sätt kan vara både flerårigt såväl som ettårigt. Det ska vara fråga om sådana uppgifter som faller inom landskapets lagstiftningsbehörighet. 

51 §. Tillskott under exceptionella förhållanden. Paragrafens innehåll motsvarar nuvarande 51 § i vilken det föreskrivs om särskilda bidrag. I paragrafen är det fråga om statsbidrag som i vissa fall beviljas landskapet Åland. Tillskottet är vanligtvis av engångskaraktär. Namnet på detta föreslås därför ändrat. De fall i vilka tillskott beviljas regleras i 1 mom. Grunderna är desamma som i nuvarande bestämmelse. I bestämmelsen föreslås av lagtekniska skäl att Ålandsdelegationens nuvarande uppgift i sammanhanget ska beaktas. Enligt 56 § 3 mom. 3 punkten i självstyrelselagen ska Ålandsdelegationen fortsättningsvis bevilja tillskott och besluta om de villkor som ska vara förenade med dem.  

Enligt 1 mom. 1 punkten i paragrafen ska landskapet Åland beviljas tillskott av statsmedel i synnerhet till förhindrande eller undanröjande av sådana väsentliga rubbningar i samhällsekonomin som särskilt drabbar landskapet. Här handlar det till exempel om en ekonomisk recession som hotar landskapet Ålands vitala intressen. En sådan situation kan uppstå exempelvis inom konjunkturkänsliga branscher som är synnerligen viktiga för Ålands ekonomi, såsom vid en kraftig recession inom servicenäringar som är beroende av sjöfarten eller turismen. Bestämmelsen förutsätter att störningarna inte orsakats av självstyrelseorganen. Därför är det motiverat att landskapet Åland får ersättning för detta i form av statsbidrag.  

I 1 mom. 2 punkten i paragrafen föreslås att landskapet Åland ska ha rätt till tillskott för täckande av kostnader för en naturkatastrof, kärnkraftsolycka, oljeutsläpp eller med dessa jämförbara händelser. En förutsättning för detta är att det inte är rimligt att landskapet ensamt ska stå för kostnaderna. Till exempel är det inte rimligt att landskapet Åland ensamt ska stå för de kostnader som orsakas av en större oljeolycka. Tillskott ska beviljas i synnerhet i situationer där skadeverkningarna genom landskapsmyndigheternas åtgärder har hindrats från att nå övriga delar av landet. Bestämmelsen förutsätter att statsmakten bevakar landskapets intressen i internationella sammanhang, exempelvis i en oljeskyddsfond. 

Ålands landskapsregering gör till Ålandsdelegationen en framställning om ansökan om tillskott. Framställningen ska enligt 2 mom. göras senast året efter det att kostnaderna har uppkommit. I bestämmelsen föreslås beaktad Ålandsdelegationens nuvarande uppgift, sådan den föreskrivs i 56 § 3 mom. 3 punkten, att bevilja tillskott och besluta om de villkor som ska vara förenade med dem. Det föreslås av momentet framgå att framställning görs hos Ålandsdelegationen. 

Enligt samma moment föreslås det att ärendet, om möjligt, ska avgöras inom sex månader efter att det har väckts. Bestämmelsen motsvarar nuvarande 51 § 2 mom.I bestämmelsen har ingen absolut tidsgräns tagits med, då det exempelvis vid större oljeutsläpp kan vara svårt att inom nämnda tidsfrist framlägga en behövlig redogörelse. Innan Ålandsdelegationen fattar sitt beslut inhämtar den utlåtande av behöriga statliga myndigheter.  

56 §. Ålandsdelegationens uppgifter. Det föreslås att Ålandsdelegationens nya uppgifter fogas till 3 mom., så som de framgår av 48 § 2 och 3 mom. i fråga om ändring av avräkningsgrunden, samt att uppgiften att besluta om skatteavräkningen och storleken på förskott på skatteavräkningen i enlighet med 49 § 1 mom. fogas till paragrafens 3 mom. 1 punkten och 4 mom. Delegationens uppgifter enligt 48 § 3 mom. föreslås endast i förtydligande syfte omnämnda i 3 mom. 3 punkten. Skötseln av Ålandsdelegationens uppgifter i avräkningssystemet förutsätter fortsättningsvis att finansiella grundunderlag som är korrekta görs tillgängliga för delegationen. Nödvändiga uppgifter ska fortlöpande tillställas Ålandsdelegationen i form av tillförlitliga siffer- och därmed jämförbara basfakta. Framförallt handlar det om uppgifter som finansministeriet och Skatteförvaltningen innehar. För att exempelvis kunna fastställa det årliga avräkningsbeloppet behöver delegationen förutom såväl preliminära som slutliga uppgifter från statsbokslutet om de aktuella inkomsterna, även uppgifter om förändringarna i befolkningstalet för Åland i förhållande till hela Finland. Avräkningsbeloppet uträknas sedan i enlighet med den ekvation som framgår av detaljmotiveringen till 46 § 2 mom.  

Ikraftträdande och övergångsbestämmelser för landskapet Ålands ekonomi

Lagen föreslås träda i kraft den 1 januari 2021. 

I ikraftträdelsebestämmelsen föreslås ingå en bestämmelse i 1 mom. om lagens ikraftträdelse samt bestämmelser som möjliggör beaktande av ändringar i grunderna för statsbokslutet innan lagen träder ikraft. Avsikten med sistnämnda bestämmelser är att tydligt reglera övergången mellan de nuvarande och de nya ekonomibestämmelserna i 7 kap. om landskapet Ålands ekonomi.  

I paragrafens 2 mom. föreslås att avräkning enligt bestämmelserna i 45 § i den lag som gällde vid denna lags ikraftträdande verkställs sista gången för året innan denna lag träder i kraft, varvid den avräkning som baserar sig på år 2020 års bokslut verkställs i slutet av år 2021.  

I 3 mom. föreslås att avräkningsgrunden enligt 47 § 1 mom. ska ändras, om grunderna för statsbokslutet genomgår ändringar enligt 47 § 2—4 mom. i den lag som gällde vid denna lags ikraftträdande eller om det annars finns vägande skäl vilka uppstått därtill innan denna lag har trätt ikraft. Bestämmelsen om vägande skäl är avsedd att bli tillämplig i en situation där den till följd av landskaps- och vårdreformen uppskattade ökningen av mervärdesskatteintäkten i statsbudgeten på cirka 1,6 miljarder euro inte skulle realiseras eller om väsentliga avvikelser skett som påverkar avräkningsbeloppet och som inte beror på konjunkturläget. Bestämmelsen avser även och i vidare bemärkelse att garantera att den samsyn som råder mellan regeringen och Ålands landskapsregering angående nivån på grundfinansieringen för självstyrelsens utgifter, uppnås i enlighet med beskrivningen under rubriken ”2 Propositionens konsekvenser” stycke 3. Eftersom avsikten med momentet i första hand är att avräkningsgrunden justeras innan lagens ikraftträdande, ska ändringen ske enligt förfarandet 47 § 5 mom. i den lag som gällde vid denna lags ikraftträdande i form av en vanlig rikslag med lagtingets bifall. I det fall en ovan avsedd situation inträffat innan ändringslagen trätt ikraft, men i de fall det inte tidsmässigt varit möjligt att ändra avräkningsgrunden innan lagens ikraftträdande, ska bestämmelserna i denna lag tillämpas så att 48 § även omfattar ovan angivna omständigheter så, att en höjning som berott på landskaps- och vårdreformen och som uteblivit, anses utgöra en i sistnämnda bestämmelse avsedd ändring av statsbokslutets grunder. Avsikten är att säkra att en ändring av avräkningsgrunden inte av tidsskäl blir omöjlig att göra. På sådana ändringar av grunderna för statsbokslutet som inträffar den dag den föreslagna lagen träder i kraft eller därefter tillämpas de föreslagna bestämmelserna i 47 § 2 mom. och 48 §. 

I paragrafens 4 mom. föreslås reglerad frågan om att extra anslag som anhängiggjorts innan lagen träder ikraft, beviljas med stöd av den nuvarande självstyrelselagen.  

Av paragrafens 5 mom. följer att skattegottgörelserna för åren 2019 och 2020 verkställs efter att ändringslagen trätt ikraft på basen av 49 § i den lag som gällde vid denna lags ikraftträdande.  

Det föreslås i 6 mom. att särskilda bidrag som hänför sig till åren innan ändringslagen trädde ikraft verkställs i enlighet med nuvarande 51 §.  

I 7 mom. föreslås att beslut om förskott på avräkningsbelopp och skatteavräkning för det året lagen träder ikraft fattas innan denna lag träder ikraft. 

Av 8 mom. föreslås i förtydligande syfte framgå Ålandsdelegationens befogenheter att fastställa skattegottgörelserna för skatteåren 2019 och 2020 enligt 49 § i den lag som gällde vid denna lags ikraftträdande, vilka verkställs åren 2021 och 2022. Detsamma gäller den slutliga avräkningen för år 2020 enligt 45 § 2 mom. i den lag som gällde vid denna lags ikraftträdande. 

Lagförslagets förhållande till grundlagen och lagstiftningsordning

I grundlagens 120 § anges att landskapet Åland har självstyrelse enligt vad som särskilt bestäms i självstyrelselagen för Åland. Landskapet Åland intar en särställning i Finlands statsskick. Det har också ställts internationella garantier för landskapets självstyrelse (se RP 1/1998 rd, s. 177/II). Landskapets särställning framgår speciellt av dess omfattande självstyrelse, som befästs av internationella utfästelser, framför allt den så kallade Ålandsöverenskommelsen från år 1921 (GrUB 10/1998 rd, s. 32—33). 

I grundlagens 75 § 1 mom. ingår en bestämmelse av vilken det framgår att angående lagstiftningsordningen för självstyrelselagen gäller det som särskilt bestäms om detta i självstyrelselagen. Den kompletterar den allmänna bestämmelsen om självstyrelsen i 120 § i grundlagen. Självstyrelselagen är i formellt hänseende inte en grundlag, men till följd av den kvalificerade lagstiftningsordning som den förutsätter, är den jämförbar med grundlagen (se RP 1/1998 rd, s. 127).  

Enligt 69 § 1 mom. i självstyrelselagen för Åland kan självstyrelselagen ändras enbart genom överensstämmande beslut av riksdagen och lagtinget. Beslutet ska i riksdagen fattas i den ordning som gäller vid ändring av grundlag. I lagtinget ska beslutet fattas med en majoritet om minst två tredjedelar av de avgivna rösterna.  

I 29 § 2 mom. och 47 § 5 mom. i självstyrelselagen föreskrivs om undantag från denna lagstiftningsordning, som det dock inte nu är fråga om. Denna undantagsordning i enlighet med 29 § 2 mom. respektive 47 § 5 mom. har antagits och införts genom den kvalificerade ordning som gäller för ändring och upphävande av självstyrelselagen enligt 69 § 1 mom. i lagen. Vid stiftandet av nuvarande självstyrelselag ansågs undantagsordningen inte problematisk i förhållande till självstyrelselagen eller den dåvarande regeringsformen. 

Förfarandet för ändring av avräkningsgrunden sådant detta föreslås enligt 48 § 1 mom. i lagförslaget, bygger fortsättningsvis på motsvarande vanliga lagstiftningsordning. Med hänsyn till sakens betydelse för landskapet Åland föreslås det fortsättningsvis att en sådan lag kan stiftas endast med lagtingets samtycke. Eftersom lagförslaget ska godkännas i grundlagsordning, till vilket tillkommer att ikraftträdandet av lagen förutsätter lagtingets samtycke, är, med beaktande av den lagstiftningsordning som gäller för antagande av självstyrelselagen, det föreslagna 47 § 1 mom. i lagförslaget inte problematiskt. 

I 73 § i grundlagen föreskrivs om grundlagsordning.  

Under den tid grundlagen har varit i kraft, har riksdagen vid fem tillfällen behandlat regeringens propositioner med förslag till lagar om ändring av självstyrelselagen. Vid tre tillfällen (GrUB 7/2002 rd, GrUB 4/2010 rd och GrUB 5/2014 rd) lämnades lagförslaget av riksdagen att vila över nyval enlig 73 § 1 mom. i grundlagen. Vid två tillfällen (GrUB 6/2009 rd och GrUB 7/2009 rd), båda under år 2009, dvs. mitt i valperioden, behandlades och godkändes lagarna om ändring av självstyrelselagen i riksdagen i brådskande grundlagsordning enligt 73 § 2 mom. i grundlagen. Ändringsförslagen av självstyrelselagen har i huvudsak gällt bestämmelser i självstyrelselagen som till sitt innehåll i högre grad motsvarar vanlig materiell lagstiftning än bestämmelser av konstitutionell natur. De två fall som gjordes till föremål för brådskande grundlagsordning avsåg en avgränsad ändring av självstyrelselagen. I det ena fallet var det ifråga om en materiell ändring av en paragraf (59 c § enligt lag 847/2009) och i det andra fallet av en lagteknisk ändring av två paragrafer (30 § 11 punkten och 39 § enligt lag 1176/2009).  

Som bakgrund är det skäl att beakta den diskussion som förts om brådskande grundlagsordning i samband med ändring av grundlag. Grundlagsutskottet har nyligen ånyo bedömt grunderna för iakttagande av brådskande grundlagsordning och ställt kriterier för detta (se GrUB 4/2018 rd—RP 198/2017 rd). Grundlagsutskottet har även i sitt betänkande över en föreslagen lag om ändring av 30 § självstyrelselagen (GrUB 6/2018 rd—RP 135/2018 rd) hänvisat till de kriterier som utskottet ställt för brådskande grundlagsordning vid ändring av grundlag. När ändringar görs i självstyrelselagen ska därmed, på samma sätt som när ändringar görs i grundlagen, normalförfarandet enligt grundlagens 73 § 1 mom. iakttas vid behandlingen i riksdagen, dvs en behandling av två riksdagar med ett mellanliggande val. Brådskande behandlingsordning ska således inte utnyttjas annat än i tvingande situationer.  

Detta lagförslag kan mot bakgrund av grundlagsutskottets kriterier, till sin omfattning eller dels med hänsyn till tidpunkten för stiftandet av lagen, dels den särskilda status som också grundlagen tillskriver självstyrelsen för Åland och självstyrelselagen, inte jämföras med sådana tidigare avgränsade eller tekniska självstyrelselagsändringar som enligt grundlagsutskottets tidigare utlåtandepraxis varit möjliga att behandla i brådskande grundlagsordning.  

Av nämnda orsaker föreslås det att lagförslaget behandlas på det sätt som föreskrivs i 73 § 1 mom. i grundlagen. 

Kläm 

Med stöd av vad som anförts ovan föreläggs riksdagen följande lagförslag: 

Lagförslag

Lag om ändring av självstyrelselagen för Åland 

I enlighet med riksdagens och Ålands lagtings beslut, tillkomna på det sätt som 69 § 1 mom. i självstyrelselagen för Åland (1144/1991) föreskriver, 
ändras rubriken till 7 kap. i självstyrelselagen för Åland, 44—51 § samt 56 § 3 och 4 mom., av dem 44 § sådan den lyder i lag 520/1996 och 51 § sådan den lyder delvis ändrad i lag 68/2004, som följer: 
7 kap. 
Landskapet Ålands ekonomi 
44 § Ekonomisk självstyrelse 
Landskapet Åland har ekonomisk självstyrelse på det sätt som anges i denna lag.  
Lagtinget antar budget för landskapet Åland. Närmare bestämmelser om landskapets budget utfärdas genom landskapslag. 
Landskapet Åland kan uppta lån samt emittera obligationslån för självstyrelsens behov. 
45 § Årliga återföringar till landskapet Åland 
För att täcka utgifterna för självstyrelsen, återförs till landskapet Åland årligen av statsmedel ett belopp enligt 46 § som fastställs vid en särskild avräkning (avräkningsbeloppet) samt en skatteavräkning enligt vad som föreskrivs i 49 §.  
46 § Avräkningen 
Avräkningsbeloppet beräknas så att de i statsbokslutet för respektive år redovisade inkomsterna med undantag för skatt på förvärvs- och kapitalinkomster, rundradioskatt, källskatt som betalas av begränsat skattskyldiga, samfundsskatt, tonnageskatt, lotteriskatt samt nya statslån (avräkningsbasen) multipliceras med ett visst relationstal (avräkningsgrunden).  
Vid beräkningen av avräkningsbeloppet beaktas dessutom hälften av förändringen i befolkningstalet för Åland i förhållande till hela Finlands befolkningstal (Ålands befolkningsandel) sedan den 31 december 2020. För att bestämma Ålands befolkningsandel används en koefficient som anges med fem decimalers noggrannhet. Ökar Ålands befolkningsandel höjs avräkningsbeloppet, minskar befolkningsandelen sänks avräkningsbeloppet. 
Avräkningen verkställs årligen i efterhand för varje kalenderår. På avräkningsbeloppet betalas månatliga förskott.  
47 §  Avräkningsgrunden och ändring av den 
Avräkningsgrunden är 0,45 procent. 
Avräkningsgrunden ska ändras, om grunderna för statsbokslutet genomgår ändringar som inverkar på avräkningsbeloppets storlek. Med ändring av grunderna för statsbokslutet avses förändringar i statens inkomst- och utgiftsstruktur, strukturella förändringar innefattande beskattning eller bolagisering, förändringar i fråga om nettobudgetering samt andra därmed jämförbara förändringar. 
Avräkningsgrunden ska höjas, om landskapet Ålands utgifter ökar och utgiftsökningen följer av att 
1) det till landskapet överförts ny lagstiftningsbehörighet i frågor som avses i 29 § 1 mom., 
2) landskapet Åland övertar förvaltningsuppgifter som ankommer på staten och kostnaderna inte regleras på annat sätt, eller landskapet, efter överenskommelse med staten, svarar för verksamhet som helt eller till betydande del tjänar riksintressen, 
3) uppnåendet av självstyrelsens syften orsakar väsentligt ökade kostnader, eller 
4) landskapets Ålands förvaltning annars belastas av betydande utgifter som inte förutsågs när denna lag stiftades. 
Avräkningsgrunden ska sänkas, om en statlig myndighet har övertagit förvaltningsuppgifter av landskapet Ålands myndigheter, och kostnaderna för uppgifterna inte regleras på annat sätt. 
48 §  Förfarandet för ändring av avräkningsgrunden 
Om ändring av avräkningsgrunden bestäms genom rikslag med lagtingets samtycke.  
Finansministeriet och Ålands landskapsregering gör minst vart tredje år en bedömning av om det finns grunder enligt 47 § 2—4 mom. att ändra avräkningsgrunden och ger sitt förslag till Ålandsdelegationen. Om den ena parten begär att en bedömning ska göras tidigare än efter tre år, ska den andra parten inom skälig tid medverka till att ett förslag lämnas till Ålandsdelegationen. I annat fall behandlar delegationen ärendet på basen av den ena partens förslag och efter att ha hört den andra parten. 
Delegationen ger sitt förslag för ändring av avräkningsgrunden till statsrådet. Statsrådet ger sitt lagförslag, som baserar sig på delegationens förslag, till riksdagen.  
49 § Skatteavräkningen 
I skatteavräkning återförs till landskapet Åland årligen av statsmedel beloppen för de på Åland för respektive skatteår debiterade statliga förvärvs- och kapitalinkomstskatterna, källskatten som betalas av begränsat skattskyldiga, samfundsskatten och tonnageskatten. Därtill återförs årligen av statsmedel den på Åland betalda lotteriskattens belopp. Skatteavräkningen verkställs årligen i efterhand för varje skatteår. På skatteavräkningsbeloppet betalas månatliga förskott. Förskottsbeloppet beräknas med utfallet av tidigare beskattning och prognoser som grund. 
Om utfallet av den i 1 mom. avsedda samfundsskattens och kapitalinkomstskattens sammanlagda belopp, med mer än 10 procent, understiger det respektive belopp som landskapet Åland skulle ha fått på basis av motsvarande skatt genom de i 46 § 1 och 2 mom. avsedda grunderna för beräkningen av avräkningsbeloppet, tillkommer mellanskillnaden landskapet Åland. 
50 § Extra anslag 
På framställning av lagtinget kan extra anslag beviljas för osedvanligt stora engångsutgifter som inte rimligen kan finansieras med budgeten för landskapet Åland. Extra anslag kan beviljas endast för uppgifter som faller inom landskapets lagstiftningsbehörighet. Framställning om extra anslag görs hos Ålandsdelegationen. 
51 § Tillskott under exceptionella förhållanden 
Landskapet Åland ska av statsmedel beviljas tillskott under exceptionella förhållanden 
1) för att förhindra eller undanröja sådana väsentliga rubbningar i samhällsekonomin som särskilt drabbar landskapet,  
2) för att täcka sådana kostnader som föranleds av en naturkatastrof, en kärnkraftsolycka, ett oljeutsläpp eller någon annan därmed jämförbar händelse, om inte landskapet skäligen bör bära kostnaderna. 
Ålands landskapsregering ska göra en framställning om tillskott hos Ålandsdelegationen senast under året efter det kalenderår till vilket utgifterna hänför sig. Ärendet ska om möjligt avgöras inom sex månader från det att det väcktes.  
56 § Ålandsdelegationens uppgifter 
Kläm 
Delegationen ska dessutom 
1) årligen i efterhand verkställa den avräkning och den skatteavräkning som avses i 46 och 49 §, 
2) ge förslag enligt 48 § 3 mom. till statsrådet om ändring av avräkningsgrunden,  
3) bevilja extra anslag enligt 50 § och tillskott under exceptionella förhållanden enligt 51 § samt fatta beslut om de villkor som möjligen förenas med dem. 
Delegationen fattar beslut om storleken på de förskott på avräkningsbeloppet som avses i 46 § 3 mom. och på skatteavräkningen som avses i 49 § 1 mom.  
Kläm 
 Paragraf eller bestämmelse om ikraftträdande börjar 
Denna lag träder i kraft den 20 .  
Avräkning enligt de bestämmelser i 45 § som gällde vid ikraftträdandet av denna lag verkställs sista gången för kalenderåret före ikraftträdandet av denna lag. 
Avräkningsgrunden enligt 47 § 1 mom. ska ändras, om grunderna för statsbokslutet genomgår ändringar enligt de bestämmelser i 47 § 2—4 mom. som gällde vid denna lags ikraftträdande eller om det annars finns vägande skäl för ändring innan lagen har trätt ikraft. På ändring av avräkningsgrunden tillämpas då de bestämmelser i 47 § 5 mom. som gällde vid ikraftträdandet av denna lag. 
En framställning om extra anslag enligt de bestämmelser i 48 § som gällde vid ikraftträdandet av denna lag och som gjorts före ikraftträdandet av denna lag, beviljas i enlighet med den bestämmelsen. 
Skattegottgörelse enligt de bestämmelser i 49 § som gällde vid ikraftträdandet av denna lag utbetalas ännu för skatteåren före ikraftträdandet av denna lag.  
Särskilda bidrag enligt de bestämmelser i 51 § som gällde vid ikraftträdandet av denna lag kan sökas för utgifter som hänför sig till året före ikraftträdandet av denna lag.  
Beslut om förskott på avräkningsbelopp och skatteavräkning som hänför sig till det år då lagen träder ikraft, kan fattas innan lagen träder ikraft. 
Ålandsdelegationen sköter också de uppgifter som enligt den bestämmelse i 56 § 3 mom. 2 punkten som gällde vid ikraftträdandet av denna lag ankom på delegationen och som avser fastställande av skattegottgörelsen för skatteåren 2019 och 2020. Detsamma gäller den slutliga avräkningen för år 2020 enligt 45 § 2 mom. i den lag som gällde vid denna lags ikraftträdande. 
 Slut på lagförslaget 
Helsingfors den 6 februari 2019 
Statsminister  Juha Sipilä 
Kommunikationsminister Anne Berner